10921 (600465)
Текст из файла
Содержание
Эйкозаноиды
Субстраты для синтеза эйкозаноидов
Структура, номенклатура и биосинтез эйкозаноидов
Биосинтез
Механизмы действия эйкозаноидов, основные биологические эффекты
Механизмы действия эйкозаноидов
Роль эйкозаноидов в тромбообразовании
Действие на сердечно-сосудистую систему
Действие на водно-электролитный обмен
Действие на нервную систему
Действие на желудочно-кишечный тракт
Влияние на репродуктивную систему
Воздействия на бронхи, трахею и гладкие мышцы
Воспалительное действие
Эффекты лейкотриенов
Иммунное действие
Воздействия на кожу
Инактивация эйкозаноидов
Эйкозаноиды
Эйкозаноиды - это общая группа физиологически и фармакологически активных соединений включающая в себя простаноиды (простагландины, простоциклины, тромбоксаны) и лейкотриены. Они имеют очень короткий Т1/2, поэтому оказывают эффекты как "гормоны местного действия".
История открытия
Еще в начале нашего века было известно, что водные и спиртовые экстракты, полученные из везикулярных (парных половых) желез многих видов животных и предстательной железы (простаты) человека, понижают кровяное давление у собак и кроликов. Тогда же было сделано предположение о существовании в предстательной железе "неизвестного сосудистого гормона". До 30-х годов это вещество оставалось загадочным; правда, никто из исследователей и не пытался выделить его из таких экстрактов и дать ему характеристику.
В 1930 г. два американских гинеколога, Курцрок и Либ, описали сокращение и расслабление изолированной полоски матки человека под действием человеческой спермы. Несколькими годами позже Гольдблатт в Англии и Ульф фон Эйлер в Швеции, независимо друг от друга, сообщили о том, что сперма, а также секреты семенных пузырьков предстательной железы вызывают сокращение гладких мышц.
Ульф фон Эйлер, шведский физиолог, с чьим именем связывают открытие простагландинов, обнаружил их (вернее, одно вещество) случайно в 1934 - 1936 гг., пытаясь изучить известную в то время субстанцию Р - вещество белковой природы, обладающее способностью понижать кровяное давление и стимулировать сокращение стенок кишечника. Однако, вопреки ожиданию, активное вещество экстрактов предстательной железы и семенной жидкости он обнаружил во фракции жирорастворимых кислот, а не в белковой фракции. У. Эйлер описал некоторые химические и фармакологические свойства активного экстракта, назвал его простагландином (от prostate glond), и предположил, что простагландин имеет широкое регуляторное значение в организме. Но ни выделить вещество в чистом виде, ни изучить химическую структуру в то время не позволял примитивный уровень аналитических способов исследования.
Работу над простагландинами продолжил ученик Эйлера С. Бергстрем, перед которым стояла задача выделить в кристаллическом виде активное начало, т.е. простагландин, из экстрактов простаты и семенной жидкости баранов. Вначале С. Бергстрему удалось сделать немногое: он выяснил только, что простагландин находится во фракциях вместе с ненасыщенными жирными оксикислотами, и вынужден был прервать дальнейшие исследования на несколько лет. Одной из главных причин, обусловивших этот перерыв, были затруднения с исходным материалом для выделения простагландинов - везикулярными железами барана, самым богатым простагландинами источником. Но поскольку уже к тому времени биохимики и фармакологи заинтересовались простагландинами, в 1956 г. в ряде стран северного полушария была организована специальная программа исследований простагландинов, в которую вошел и сбор замороженных везикулярных желез барана.
Уже в следующем году С. Бергстрем и Дж. Шьевалл получили несколько миллиграммов индивидуального вещества в кристаллическом состоянии и назвали его простагландин F за его растворимость в фосфатном буфере. Полученного количества хватило лишь на то, чтобы установить, что простагландин F - это ненасыщенная жирная кислота, определить температуру его плавления и продемонстрировать способность в концентрации всего 5*10 - 9 г в 1 мл раствора давать хороший эффект по сокращению гладкой мышцы. Затем в кристаллическом же состоянии было получено еще одно вещество подобного типа - простагландин Е (обозначение возникло от слова ester - эфир, которым извлекался этот простагландин). Оба соединения были одинакового молекулярного веса и очень сходного строения, но в корне различались биологическими свойствами: простагландин Е понижал кровяное давление, а простагландин F сокращал гладкую мускулатуру.
Работы по простагландинам развивались быстрыми темпами, и за 1972 - 1976 годы С. Бергстрем, Б. Самуэльссон и Дж. Вейн получили в чистом виде еще 10 простагландинов, установили их структуру и определили биологические свойства. В 1979 г. Б. Самуэльссон с коллегами открыл еще один тип соединений - близкие простагландинам лейкотриены.
Выделение простагландинов, изучение структуры и свойств - работа чрезвычайно трудная: мало того что их концентрации в объектах выделения очень низки, вещества эти крайне неустойчивы, они теряют свою биологическую активность, по которой следят за веществом в ходе его выделения, в течение 1 - 2 мин. Недаром за исследования простагландинов С. Бергстрему, Б. Самуэльссону и Дж. Вейну в 1982 г. была присуждена Нобелевская премия.
Сейчас известно уже около 30 природных простаноидов. Они разделены на группы A, B, C, D, E, F, G, I. Краткое обозначение простаноидов складывается из двух букв английского prostaglandine и tromboxane или русского написания, третья буква в этом обозначении указывает на принадлежность к той или иной группе, например: PGF, ПГF - простагландин F; ТхА, ТксА - тромбоксан А.
Субстраты для синтеза эйкозаноидов
Главный субстрат для синтеза эйкозаноидов у человека - арахидоновая кислота, так как её содержание в организме человека значительно больше остальных полиеновых кислот - предшественников эйкозаноидов.
В образовании эйкозанондов принимают участие также и другие незаменимые жирные кислоты (линолевая и а-линоленовая), но только после элонгации на два углеродных атома и десатурацнн, т.е. после превращения в 20-углеродные тетраеновые кислоты. Арахидоновая, 8,11,14-эйкозатриеновая и 5,8,11,14,17-эйкозапентаеновая кислоты - предшественники эйкозаноидов.
Полиеновые кислоты с 18 и 20 атомами углерода поступают в организм человека с пищей или образуются из незаменимых (эссенциальных) жирных кислот с 18 атомами углерода. (Рис.1)
Рис.1. Синтез полиеновых жирных кислот с 20 углеродными атомами в организме человека.
Полиеновые жирные кислоты, которые могут служить субстратами для синтеза эйкозаноидов, входят в состав глицерофосфолипидов мембран. Под действием ассоциированной с мембраной фосфолипазы А2 жирная кислота отщепляется от глицерофосфолипида и используется для синтеза эйкозаноидов.
Структура, номенклатура и биосинтез эйкозаноидов
Хотя субстраты для синтеза эйкозаноидов имеют довольно простую структуру (полистовые жирные кислоты), из них образуется большая и разнообразная группа веществ. Наиболее распространены в организме человека простагландины, которые впервые были выделены из предстательной железы, откуда и получили свое название. Позже было показано, что и другие ткани организма синтезируют простагландины и другие эйкозаноиды.
Простагландины PG можно рассматривать как производные гипотетической С2о-кислоты, получившей тривиальное название простаноевой:
Простагландины обозначают символами, например PG А, где PG обозначает слово "простагландин", а буква А обозначает заместитель в пятичленном кольце в молекуле эйкозаноида.
Обнаружено шесть первичных природных простагландинов, три из них серии Е (PGE1, PGE2, PGE3) и три - серии F (PGF1a, PGF2a, PGF3a). Простагландины серии Е содержат в положении 9 кетогруппу, а простагландины серии F - гидроксигруппу. (Рис.2)
Рис.2 Шесть главных природных простагландинов
В дополнение к вышеприведенным шести первичным простагландинам имеются несколько вторичных простагландинов, большинство из которых являются продуктами ферментативного или химического превращения PGE. Характерным свойством простагландинов серии Е является их способность к дегидратации в PGA в кислой среде; образовавшиеся PGA затем в присутствии оснований изомеризуются в PGB, имеющие максимум поглощения при длине волны 237 нм. Эта последовательность реакций превращения PGE в PGB часто используется для идентификации PGE.
Простагландины серии F не претерпевают подобного превращения в кислой среде.
В зависимости от исходной жирной кислоты все эйкозаноиды делят на три группы:
1) Первая группа образуется из эйкозотриеновой кислоты. Хотя в пищевых продуктах этой кислоты нет, она способна образовываться в клетках при удлинении линолевой кислоты (С18: 3), которой много в растительных маслах. Для этой группы в соответствии с числом двойных связей простагландинам и тромбоксанам присваивается индекс 1: например, PgE1, PgI1
Вторая группа синтезируется из арахидоновой кислоты (С20: 4), по тому же правилу эйкозаноидам этой группы присваивается индекс 2. PgE2, PgI2.
Третья группа эйкозаноидов происходит из тимнодоновой кислоты (С20: 5). Эйкозаноидам этой группы присваивается индекс 3. Например, PgE3, PgI3
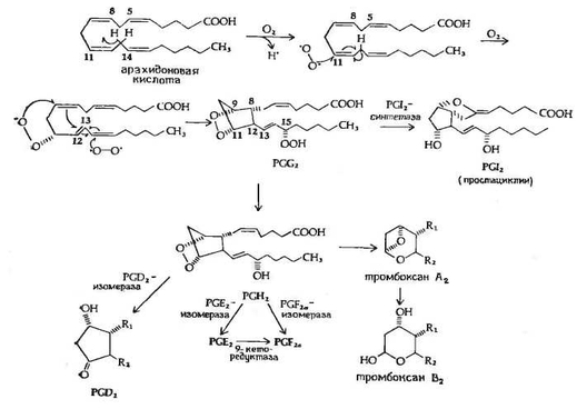
PG I - простациклины. Имеют 2 кольца в своей структуре: одно пятичленное, как и другие простагландины, а другое - с участием атома кислорода. Их также подразделяют в зависимости от количества двойных связей в радикалах (PG I2, PG I3).
Тромбоксаны. В отличие от простагландинов, тромбоксаны синтезируются только в тромбоцитах, откуда и происходит их название, и стимулируют их агрегацию при образовании тромба.
Тромбоксаны имеют шестичленное кольцо, включающее атом кислорода. Так же, как и другие эйкозаноиды, тромбоксаны могут содержать различное число двойных связей в боковых цепях и отличающиеся по активности. ТХ В2 - продукт катаболизма ТХ А2 и активностью не обладает.
Рис.3. Структура тромбоксанов.
Биосинтез
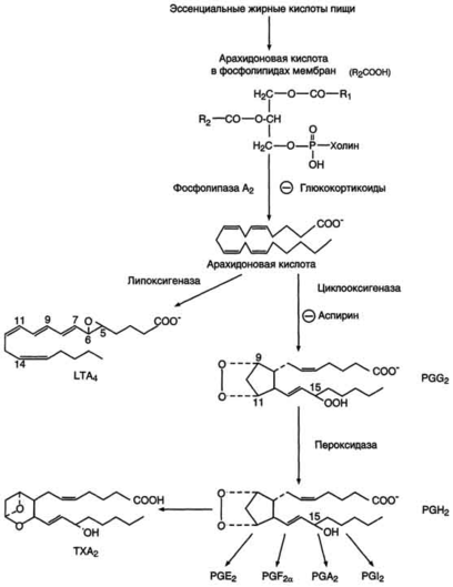
После отделения арахидоновой кислоты от фосфолипида она выходит в цитозоль и в различных типах клеток превращается в разные эйкозаноиды. В клетках имеется 2 основных пути превращения арахидоновой кислоты: циклооксигеназный, приводящий к синтезу простагландинов, простациклинов и тромбоксанов, и липоксигеназный, заканчивающийся образованием лейкотриенов. (Рис.4)
Рис.4 Синтез эйкозаноидов из арахидоновои кислоты.
Циклооксигеназный путь: синтез простагландинов и тромбоксанов
С20-три-, тетра - и пентаеновая жирные кислоты, служащие предшественниками простагландинов, входят в состав внутриклеточных фосфоглицеридов, из которых они высвобождаются под действием фосфолипазы А2. Активация фосфолипаз, ассоциированных с мембранами, происходит под действием многих факторов: гормонов, гистамина, цитокинов, механического воздействия. Этот процесс высвобождения предшественника, вероятно, играет роль регулирующей стадии в биосинтезе простагландинов, с помощью которой варьирует количество субстрата, подвергающегося последующему действию простагландинсинтазы. Последняя представляет собой связанный в мембране мультиферментный комплекс, содержащийся в микросомальной фракции тканевых гомогенатов. Необходимо отметить, что ингибиторное действие кортикостероидов на биосинтез простагландинов, связанное с торможением активности фосфолипазы А2, может служить объяснением антивоспалительного действия этих стероидных гормонов.
Фермент, катализирующий первый этап синтеза простагландинов, называется PG Н2 синтазой и имеет 2 каталитических центра. Один из них называют циклооксигеназой, другой - пероксидазой. Этот фермент представляет собой димер гликопротеинов, состоящий из идентичных полипептидных цепей. Фермент имеет гидрофобный домен, погружённый в липидный слой мембран ЭР, и каталитический домен, обращённый в полость ЭР. В активном центре циклооксигеназы находится тирозин (385), в активном центре пероксидазы - простетическая группа - гем. В организме имеются 2 типа циклооксигеназ (PGН2 синтаз). Циклооксигеназа 1 - конститутивный фермент, синтезирующийся с постоянной скоростью. Синтез циклооксигеназы 2 увеличивается при воспалении и индуцируется соответствующими медиаторами - цитокинами. Оба типа циклооксигеназ катализируют включение 4 атомов кислорода в арахидоновую кислоту и формирование пятичленного кольца. В результате образуется нестабильное гидропероксидпроизводное, называемое PG G2. Гидропероксид у 15-го атома углерода быстро восстанавливается до гидроксильной группы пероксидазой с образованием PG Н2. До образования PG Н2 путь синтеза разных типов простагландинов одинаков. Дальнейшие превращения PG Н2 специфичны для каждого типа клеток.
Характеристики
Тип файла документ
Документы такого типа открываются такими программами, как Microsoft Office Word на компьютерах Windows, Apple Pages на компьютерах Mac, Open Office - бесплатная альтернатива на различных платформах, в том числе Linux. Наиболее простым и современным решением будут Google документы, так как открываются онлайн без скачивания прямо в браузере на любой платформе. Существуют российские качественные аналоги, например от Яндекса.
Будьте внимательны на мобильных устройствах, так как там используются упрощённый функционал даже в официальном приложении от Microsoft, поэтому для просмотра скачивайте PDF-версию. А если нужно редактировать файл, то используйте оригинальный файл.
Файлы такого типа обычно разбиты на страницы, а текст может быть форматированным (жирный, курсив, выбор шрифта, таблицы и т.п.), а также в него можно добавлять изображения. Формат идеально подходит для рефератов, докладов и РПЗ курсовых проектов, которые необходимо распечатать. Кстати перед печатью также сохраняйте файл в PDF, так как принтер может начудить со шрифтами.















