124376 (598600), страница 8
Текст из файла (страница 8)
Использование ВЭР - количество используемой у потребителя энергии, вырабатываемой за счет ВЭР, а также топлива, тепла, получаемых непосредственно как ВЭР; Также как и выработка, использование ВЭР может быть возможным, планируемым, фактическим. Коэффициент выработки за счет ВЭР - это отношение фактической (планируемой) выработки к возможной.
Экономия топлива за счет ВЭР - это количество первичного топлива, которое экономится за счет ВЭР. По этому показателю сравнивают эффективность применения разных ВЭР.
Коэффициент утилизации характеризуется отношением фактической (планируемой) экономии топлива за счет ВЭР к возможной.
Исходными данными для расчета выхода, использования ВЭР и экономии топлива за счет ВЭР являются материальные и тепловые балансы технологических процессов.
Прежде всего устанавливают виды ВЭР, их энергетический потенциал, агрегаты, дающие ВЭР. Для оценки направления расчета выхода ВЭР, выработки за счет ВЭР, использования ВЭР, экономии топлива за счет ВЭР составляют схему (рис. 1).
Удельный выход ВЭР определяют по выражению:
1вэр = твэр х"вэр'
где твэр - удельное количество энергоносителя в виде твердых, жидких, газообразных продуктов (берут из материального баланса процессов), кг(м3)/единица продукции (сырья);
69
Пвэр - энергетический потенциал энергоносителя, единица энер-
где rj - КПД замещаемой установки, с показателями которой сопоставляется эффективность использования ВЭР;
д - коэффициент использования выработки тепла потребителями.
Повышения этого коэффициента до единицы добиваются подбором потребителей и их кооперированием.
При силовом направлении использования ВЭР экономия первичного тепла находится по выражению:
3.2 Примеры выполнения заданий
Пример 1. Рассчитать производительность котла-утилизатора, установленного за мартеновской печью, емкостью 600 т. Объем дымовых газов перед котлом-утилизатором V1 - 23,6 м3/с. Температура дыма на входе в котел-утилизатор t1 = 650°С. Состав дымовых газов перед котлом-утилизатором (% объемн.): С02 - 12; Н20 - 10,5; 02 - 5,5; N2 - 72. Давление в пароперегревателе Р = 1800 кПа, tn = 376°С. Коэффициент сохранения тепла = 0,99. Температура дыма на выходе из котла-утилизатора t2 = 245°С.
Решение. Котлы-утилизаторы предназначены для получения водяного пара за счет физического тепла дымовых газов, побочных продуктов или промежуточных продуктов.
В зависимости от количества дымовых газов (тыс. м3/ч) котлы-утилизаторы классифицируются на следующие типы: КУ-50; КУ-60-2; КУ-80-3; КУ-100-1; КУ-125 (120 тыс. м3/ч). Расчетная температура дымовых газов перед котлом КУ-50 составляет 600°С, а перед остальными - 650°С.
Для расчета используют энтальпии дымовых газов, которые представлены в табл. 5.
Таблица 5 Энтальпии дымовых газов при различных температурах
| Энтальпия газов, кДж/м3 | Температура, С | |||
| 650 | 245 | 600 | 200 | |
| ЛНсо2 | 1306,0 | 462,0 | 1236,76 | 361,67 |
| ЛНн2о | 1058,0 | 381,4 | 964,68 | 303,47 |
| АНо2 | 925,0 | 337,3 | 851,64 | 267,38 |
| AHn2 | 865,0 | 322,4 | 805,06 | 260,60 |
Используя данные табл. 5, определяют энтальпии дымовых газов на входе и выходе котла-утилизатора.
Температура 650°С: ДНсо2 = 0,12X1306,0 = 156,9 кДж/м3; ЛНн,о = 0,105X1058 = 111 кДж/м3; ДНо2 = 0,055x925 = 51 кДж/м3; AHn2 = 0,72X865 = 623 кДж/м3.
Суммарная энтальпия на входе ДНнд1/ = 942,0 кДж/м3. Температура 245°С: ДНсо, = 0,12 Х462 = 55,5 кДж/м3; ДНн2о = 0,105X381,4 = 40,0 кДж/м3; ДНо2 = 0,055X337,3 = 18,5 кДж/м3; ДНм2 - 0,72X322,4 = 232 кДж/м3.
Суммарная энтальпия на выходе ДНкон = 346,0 кДж/м3. Тогда количество теплоты, отданное дымовыми газами в котле-утилизаторе, будет равно:
Q = (ДН - ДН )xV = (942,0 - 346,0)х23,6 = 14065,6 кВт.
МП-"K(sM
Если учесть, что энтальпия поступающей в котел-утилизатор воды равна 421,0 кДж/кг (при 100°С), а энтальпия перегретого пара - 3198,0 кДж/кг (при 376°С), тогда количество тепла, воспринятое 1 кг воды, составляет:
Q' = 3198,0 - 421 = 2777 кДж/кг.
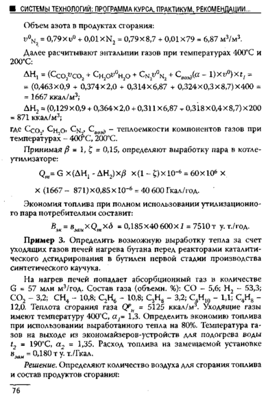
Взяв теплоемкости газов из справочной литературы, рассчитывают энтальпии газов при температурах 400"С и 190°С по ранее приведенным выражениям:
АН2 = (0,463X0,552 + 0,374X1,0147 + 0,314X4,80 + + 0,324X0,3X5,3) X 400 =
= (0,256 + 0,380 + 1,35 + 0,515) Х400 = 1000,4 ккал/м3;
Д#2 = (0,429X0,552 + 0,364x1,0147 + 0,311X4,3 + 0,318х
X 0,35X5,3) Х190 е (0,239 + 0,369 + 1,337 + 0,590) Х190 =
= 481,65 ккал/м3. Выработка тепла в экономайзере равна:
Qm= G х(ДЯ, - АЯ2) хД х (1 - £) хЮ-6. = 57Х106 х(1000,4- 481,65) Х1х0,85х10"6 = 25133,4 Гкал/год. Экономия топлива за счет ВЭР составляет:
Вэк = 0,180 X 25133,4X0,80 = 3619,2 т у. т./год.
3.3 Контрольные задания к практическим занятиям
1. Определить производительность котла-утилизатора -КУ-50, утилизирующего тепло дымовых газов; имеющих объем 22 м3/с. Состав дымовых газов перед котлом-утилизатором (96 объемн.): С02 - 11,0; Н20 - 9,5; 02 - 6,5; N2 - 73. Температура в пароперегревателе tn = 370°С. Коэффициент сохранения тепла / = 0,95. Температура дымовых газов на выходе из котла-утилизатора t2 = 200°С.
-
В печи для нагрева бутана производства синтетического каучука сжигают газ, состоящий из (% объемн.): СО - 5,6, Н2 - 53,3; С02 - 3,2; СН4 - 10,8; С2Н6 - 10,8; С3Н8 - 3,2; С4Н10 - 1,1; C4Hg - 12,0. Определить вид ВЭР. Составить схему расчета выхода ВЭР, выработки за счет ВЭР, экономии топлива.
-
Рассчитать возможную экономию топлива за счет ВЭР, которые образуются в печах пиролиза углеводородов при сгорании 18 млн м3/год газа, энтальпия дымовых газов равна 1500 Гкал/м3, а после пароперегревателя - 500 Гкал/м3.
-
В производстве синтетического каучука применяют печи для нагрева бутана, где сжигают газ в количестве 50 млн м3/год. Установить вид ВЭР, рассчитать экономию топлива за счет ВЭР, если ва„. = 0,19 т у. т./Гкал, АН. = 1053 Гкал/м3; АН, =3UM1*1£
= 493 Гкал/м3.
-
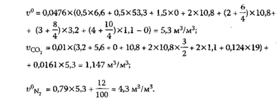
Определить возможную выработку тепла за счет ВЭР печей нагрева бутана в производстве синтетического каучука. На обогрев печей подают газ в количестве 45 млн м3/год. Объемы воздуха, углекислого газа, воды, азота соответственно равны (м3/м3): 5,3; 0,55; 1,4; 4,4. Температура на выходе из печи 400°С, а1 = 1,35, а на выходе из экономайзера 200°С, а2 = 1,4.
-
В печи для нагрева предельных углеводородов сжигают газ. Определить вид ВЭР, составить схему расчета выхода ВЭР, выработки за счет ВЭР, экономии топлива, если выработка тепла составила 25 000 Гкал/год, взим = = 0,16 т у. т./Гкал.
-
Определить возможную экономию топлива за счет ВЭР, образующихся при сгорании метан-водородной фракции в трубчатых печах пиролиза, если выработка теплоты за счет ВЭР составляет 30 000 Гкал/год, а 8 = 0,19 т у. т./Гкал. гп зам*
8.Определить объем дымовых газов, поступающих в экономайзер, если количество теплоты, идущее с газами, составляет 16 000 кВт, коэффициент сохранения тепла равен 0,96. Энтальпия дымовых газов до аппарата 950,6 кДж/м3, после -400 кДж/м3.
4. ТЕХНОЛОГИЧЕСКИЕ ПРОЦЕССЫ ПЕРЕРАБОТКИ ТОПЛИВ
-
Характеристика и классификация процессов переработки
топлив
Переработку твердого, жидкого и газообразного топлива осуществляют с помощью термических и каталитических процессов.
Термическая или пирогенная переработка топлива - это процесс переработки, идущий при высокой температуре.
Процессы термической переработки топлив делятся на три группы.
Первая группа охватывает процессы пиролиза (сухой перегонки). Сырье нагревают без доступа воздуха. В результате сложные вещества разлагаются на твердые (кокс, полукокс, древесный уголь) и летучие вещества (смесь паров и газов).
При пиролизе могут идти процессы двух типов:
-
Физические высокотемпературные процессы, например, разделение сырой нефти по фракциям по температуре кипения.
-
Химические (деструктивные) высокотемпературные превращения исходных веществ с образованием горючих газов, топлив, отдельных химических продуктов.
В зависимости от природы сырья условия процессов пиролиза различны. Например, сухая перегонка древесины идет при температуре 400 - 500°С, полукоксование бурых углей - 500 - 600°С, коксование каменного угля - 1000 - 1100°С.
Нефть и нефтепродукты перерабатывают следующими методами: первичной фракционной перегонкой; пиролизом при температуре 650 - 750°С, при этом из нефтепродуктов получают ароматические углеводороды, пиролиз-газ, содержащий этилен, пропилен; термическим крекингом мазута соляровых фракций, в результате чего получают бензин, дизельные топлива, крекинг-газ; термическим реформингом для получения высокооктановых бензинов.
Вторую группу термической обработки топлив образуют процессы газификации. Суть их состоит в превращении органической части малоценного, малозольного топлива в горючий газ путем неполного окисления воздухом, кислородом или водяным паром. Газификации в основном подвергают твердое топливо, реже жидкое. Продуктами газификации являются генераторные газы, резко отличающиеся по составу, теплотворной способности. Главный компонент этих газов - оксид углерода (II).
Третья группа включает процессы гидрирования топлив (гидрогенизация). В этих процессах под давлением в среде водорода при высокой температуре в присутствии катализаторов протекают химические превращения с обогащением исходных веществ водородом. Процессам гидрирования подвергают как твердые топлива, так и жидкие (гидрокрекинг).
Каталитические процессы широко используют для переработки нефти, нефтепродуктов. Эти процессы основаны на применении контактных катализаторов (платины, хрома, оксида молибдена) и комплексообразующих катализаторов (синтетических алюмосиликатов).
На контактных катализаторах идут реакции с отщеплением водорода, образованием ароматических соединений. Это позволяет получить бензины с высоким октановым числом.
















