104592 (598211)
Текст из файла
ИНТЕГРАЦИОННЫЕ ПРОЦЕССЫ В МЕНЕДЖМЕНТЕ
Коммуникации в менеджменте
Основу процесса управления составляет взаимодействие между элементами управленческой структуры — подразделениями, должностями, отдельными лицами, осуществляемое с помощью соединяющих их коммуникационных каналов, создаваемых в процессе личных контактов, обмена документами, функционирования электронных средств связи и т.п. По содержанию такое взаимодействие может быть информационным, административным или техническим.
В рамках информационного взаимодействия субъекты управленческой деятельности обмениваются сведениями, необходимыми для принятия решений. Эти сведения бывают официальными, закрепленными юридически, и неофициальными, не обладающими никаким правовым статусом, но помогающими ориентироваться в ситуации.
В процессе административного взаимодействия вышестоящие звенья управленческой структуры передают нижестоящим управленческие полномочия и ответственность, различные распоряжения, инструкции, рекомендации, получают от них отчеты, осуществляют процесс контроля.
По своему назначению административное взаимодействие бывает координационным и интеграционным. С помощью первого, которые осуществляют межфункциональные органы — комитеты, специальные группы, стратегические хозяйствующие центры и т.п., обеспечивается добровольное согласование интересов отдельных звеньев управленческой структуры и поддерживается единство их автономных действий. С помощью вторых происходит объединение элементов управленческой структуры в единое целое и их подчинение руководящему центру организации — совету директоров, правлению, штаб-квартире.
Техническое взаимодействие между субъектами управленческой структуры реализуется в процессе их участия в практической деятельности, например, в подготовке и проведении совещаний, переговоров, обмене опытом, ведении делопроизводства, сборе, фиксации, хранении, выдаче различного рода документов и пр.
По характеру взаимодействие в организации может быть прямым или косвенным. Прямое основывается на контактах сторон. Косвенное подразумевает, что одна из сторон создает условия, при которых другая, несмотря на отсутствие каких бы то ни было команд, выполняет требующиеся от нее действия.
Если при контактах между элементами управленческой структуры отсутствует промежуточное звено, говорят о непосредственном взаимодействии. Однако сегодня в крупных организациях оно возможно в ограниченных масштабах, и в большинстве случаев субъекты взаимодействуют опосредованно, то есть через кого-то, скажем, через заместителей или руководителей низового уровня.
Совокупность каналов, с помощью которых осуществляется взаимодействие субъектов управления, образует его коммуникационную структуру, которая может быть глобальной, когда охватывает организацию в целом, и локальной, если относится только к одной ее части, например, подразделению.
Осуществление взаимодействия только через одно какое-то центральное звено означает, что коммуникационная структура является централизованной, а само это звено выступает в качестве не только посредника, но и источника и контролера коммуникаций, имеющих в основном форму вертикальных связей.
В то же время структура коммуникаций может быть полицентричной, предполагающей наличие нескольких равноправных субъектов, осуществляющих концентрацию и перераспределение информации, или децентрализованной, когда большая ее часть (обычно по содержанию второстепенная) минует центральное звено.
Наличие в коммуникационной структуре параллельных и пересекающихся каналов свидетельствует о ее сложности, дающей гарантию того, что желаемое взаимодействие состоится даже в условиях тех или иных сбоев и неполадок в ней. В то же время в сложной структуре заложена потенциальная возможность искажения обмениваемой информации.
Рассмотрим теперь более подробно сами коммуникационные каналы, связывающие отдельные элементы управленческой структуры, которые выступают в роли источников, получателей, посредников, контролеров управленческой информации.
Прежде всего, эти каналы различаются техническими возможностями, например, пропускной способностью, то есть реальной величиной информации, которая может проходить через них за единицу времени, скоростью ее движения и возможными потерями.
Другой характеристикой каналов является направленность коммуникации. Она может быть односторонней, когда, например, управленческая информация движется только в одном направлении — от источника к получателю (доска приказов в организации), или двусторонней, скажем при беседе, в процессе которой имеет место обратная связь и получатель информации может должным образом доводить свою реакцию до сведения отправителя.
Коммуникационные каналы внутри организации могут быть формальными и неформальными. Первые связывают между собой должности или подразделения, а вторые — частных лиц. По формальным каналам осуществляются передача только официальной информации; по неформальным — как официальной, так и личной.
Если коммуникационные каналы связывают элементы управленческой структуры, принадлежащие к различным ее уровням, они являются вертикальными, а если к одному — горизонтальными. Каналы, связывающие элементы, относящиеся не только к разным уровням, но и к различным частям структуры могут быть названы диагональными. Обычно они предназначены для осуществления не административных, а в основном информационных и технических связей между участниками различного рода комитетов, комиссий, специальных групп. Большинство горизонтальных и диагональных каналов сегодня еще относятся к разряду неофициальных или полуофициальных.
По вертикальным каналам сверху вниз передаются команды и инструкции, а в обратном направлении — отчеты о проделанной работе и, если позволяет сложившийся стиль управления — советы и рекомендации руководству. Поскольку работники разных уровней не всегда хорошо понимают и представляют себе работу друг друга, при обмене информацией между ними имеют место ее значительные потери. Исследования показывают, что в крупных организациях при переходе от одного уровня к другому теряется до 30% информации, а в целом по цепочке при движении сверху вниз ее потери достигают 80% , а снизу вверх — 90%.
Горизонтальные каналы непосредственно связывают равные по положению или статусу элементы организации, обеспечивают наиболее эффективное решение общих проблем за счет повышения оперативности этого процесса, возможности действовать инициативно и самостоятельно с учетом конкретной ситуации. Поскольку сотрудники одного уровня, даже работающие в разных подразделения лучше знают и понимают проблемы друг друга (не в последнюю очередь благодаря неформальным контактам), потери информации здесь не столь велики — обычно не более 10%.
Коммуникационные сети и их разновидности
В организациях, где занято более двух человек, коммуникационные каналы объединяются в так называемые сети, связывающие элементы управленческой структуры в единое целое, и столь же многоуровневые, как она сама. Они объединяют в себе формальные и неформальные коммуникационные каналы, как дублирующие, так и дополняющие друг друга. На практике можно выделить три вида коммуникационных сетей: открытые, замкнутые и комбинированные. В открытых движение команды или информации может быть остановлено, потому что оно попадает в тупик, то есть к элементу структуры управления, находящемуся в конце канала. Оно может также наткнуться на "посредника" или "контролера" (промежуточное звено в сети коммуникации), который по каким-то причинам этому движению препятствует (останавливает, искажает, направляет в другую сторону) и которого нельзя минуть. В замкнутых сетях тупики и контролеры либо отсутствуют, либо могут быть обойдены. Комбинированные сети сочетают в себе оба принципа построения и присущи больше крупным многоуровневым организациям.
Рассмотрим более обстоятельно каждый из видов сетей, их достоинства и недостатки, помня при этом, что речь идет об их принципиальных схемах, а не о "портретах" тех или иных реальных организаций или подразделений.
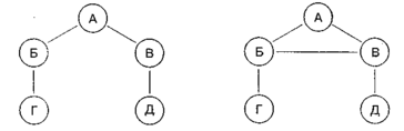
Наиболее простой вид открытой коммуникационной сети — линейная, называемая змеей (схема 6.1). Она характеризуется тем, что элементы структуры управления А и Б, которые она соединяет, находятся в тупиках, а В выполняет роль не только посредника коммуникаций, но может контролировать их. Такая сеть соединяет работников одного уровня управления, имея чаще всего неформальный характер, или является элементом более сложной сети.
Схема 6.1. Сеть типа "Змея"
Сети, состоящие из двух и более уровней, присущи, прежде всего, формальным иерархическим структурам и имеют центральное звено, служащее исходным пунктом вертикальных коммуникационных каналов.
Если число звеньев, принадлежащих к нижнему уровню иерархии управленческой структуры, не выходит за пределы диапазона контроля, наиболее подходящей для нее является коммуникационная сеть, которая носит название звезда (схема 6.2). Она позволяет оперативно получать информацию, концентрировать ее в центральном звене и в кратчайшие сроки направлять исполнителям Б, В, Г. Звену А легко поддерживать порядок в управлении, поскольку при коммуникациях отсутствуют посредники и неформальные каналы, что делает невозможным появление различного рода "возмущений".
Однако для крупных управленческих структур такая коммуникационная сеть непригодна. Центральное звено А уже не в состоянии вырабатывать самостоятельно все решения и доводить их до исполнителей. У него появляется помощник (посредник) Б, конкретизирующий команды и распределяющий информацию между исполнителями В, Г, Д.
Схема 6.2. Сеть типа "Звезда" Схема 6.3. Сеть типа "Шпора"
Являясь представителем среднего уровня управления и играя де-юре вторые роли, на деле он получает огромную власть, так как контролирует информацию и может навязывать свою волю первому лицу. Такая сеть получила название шпора (схема 6.3).
В сетях типа "звезда" и "шпора" число коммуникационных каналов, сходящихся к центральному элементу, на практике может бесконечно расти и в конце концов превысить возможности отдельного человека их контролировать. Это обстоятельство ставит естественный предел развитию управленческих структур, а, следовательно, препятствует расширению самих организаций, обусловленному ростом масштабов производства.
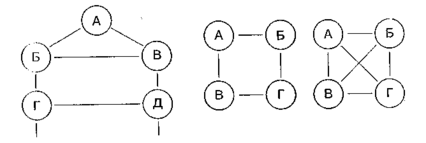
Поэтому для крупных многопрофильных функциональных структур свойственны иные коммуникационные сети, например, тент (схема 6.4) и его модификации. Суть этих модификаций, получивших название палатка и дом (схема 6.5 и 6.6), состоит в официальном допущении наряду с вертикальными горизонтальных коммуникационных каналов, посредством которых подчиненные могут напрямую самостоятельно решать многие второстепенные проблемы, что позволяет руководству не отвлекаться на них и сосредоточиться на главном.
Схема 6.4. Сеть типа "Тент" Схема 6.5. Сеть типа'"Палатка"
В "палатке" допускается один уровень горизонтальной коммуникации — между вторыми лицами; в "доме" же такие каналы возможны на всех уровнях управленческой структуры, что придает ему характер замкнутой сети. Практика показывает, однако, что вследствие относительно свободного пользования коммуникационными каналами здесь могут возникать определенные целенаправленные деформации, с помощью которых отдельные субъекты управленческой структуры могут быть сначала выключены пи системы коммуникаций, а затем удалены из нее.
Например, на основе предварительной договоренности субъект Д может направлять информацию для А через Б и Г, минуя В, что должен делать в соответствии с формальными предписаниями. Через некоторое время будет нетрудно доказать принципиальную ненужность В и возможность исключения его из управленческой структуры.
В целом открытые коммуникационные структуры присущи бюрократическим организациям, где имеет место жесткое подчинение одних звеньев другим, и преобладают формальные связи. Однако в рамках таких организаций могут существовать и гибкие структуры — консультационные и совещательные (комитеты, комиссии, специальные творческие группы), которые основаны преимущественно па неформальных или полуформальных внутренних связях м принципах, самоуправления.
Схема 6.6. Сеть типа "Дом" Схема 6.7. Сеть типа "Круг"
Одной замкнутых сетей является сеть типа «круг» (схема 6, 7). В крупной организации он может быть сложным, включающим дополнительные коммуникационные каналы, связывающие всех со всеми. "Круг" характерен для структур с благоприятным морально-психологическим климатом. Он помогает объединять людей, облегчать обмен информацией и идеями, стимулирует творческие процессы.
Схема 6.8.Сеть типа "Колесо"
Характеристики
Тип файла документ
Документы такого типа открываются такими программами, как Microsoft Office Word на компьютерах Windows, Apple Pages на компьютерах Mac, Open Office - бесплатная альтернатива на различных платформах, в том числе Linux. Наиболее простым и современным решением будут Google документы, так как открываются онлайн без скачивания прямо в браузере на любой платформе. Существуют российские качественные аналоги, например от Яндекса.
Будьте внимательны на мобильных устройствах, так как там используются упрощённый функционал даже в официальном приложении от Microsoft, поэтому для просмотра скачивайте PDF-версию. А если нужно редактировать файл, то используйте оригинальный файл.
Файлы такого типа обычно разбиты на страницы, а текст может быть форматированным (жирный, курсив, выбор шрифта, таблицы и т.п.), а также в него можно добавлять изображения. Формат идеально подходит для рефератов, докладов и РПЗ курсовых проектов, которые необходимо распечатать. Кстати перед печатью также сохраняйте файл в PDF, так как принтер может начудить со шрифтами.
















