104592 (598211), страница 2
Текст из файла (страница 2)
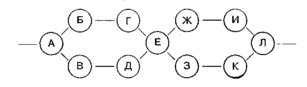
Творчеством, конечно, нельзя командовать, в условиях отсутствия координации оно развивается все же не достаточно эффективно. Такая координация обеспечивается с помощью коммуникационной сети типа "колесо" (схема 6.8), в которой имеется центральный субъект, облегчающий и ускоряющий процесс коммуникаций. Однако это не отдающий распоряжения администратор, а общепризнанный лидер, ведущий за собой остальных. В крупных организациях творческие группы могут быть связаны друг с другом, и тогда коммуникационная структура принимает вид "сот" (схема 6.9). Это — сеть комбинированная, в сущности, представляющая собой единство открытой "змеи" и замкнутого "колеса" или "круга". Процесс коммуникаций имеет уже здесь свои тупики, а связники легко превращаются в контролеров. Эти тупики при необходимости можно преодолеть замыканием самой "змеи" с использованием принципа "соединительного звена", о котором речь пойдет ниже.
Схема 6.9. Сеть типа "Соты"
Управленческие решения в менеджменте
В процессе управленческой деятельности решение занимает центральное, ключевое место. Практические любое действие руководителя начинается с принятие того или иного решения. От того, какое решение будет принято правильное или не правильное, зависят результаты деятельности организации и влияет как на весь коллектив, так и на отдельного работника.
Что собой представляет управленческое решение?
Под управленческим решением можно понимать обдуманный вывод о необходимости осуществить какие-то действия, прямо или косвенно связанные с достижением целей, стоящих перед организацией и ее членами, либо наоборот, воздержаться от них.
Проблемы как предпосылки принятия решений
Необходимость принятия решений обусловлена существованием связанных с ее деятельностью проблем, то есть сложных теоретических вопросов или практических ситуаций, характеризующихся разрывом между тем, что есть и, что должно быть, между необходимым (или желаемым) и существующим состоянием.
Например, такой разрыв может существовать между ожиданиями по отношению к организации со стороны ее членов, деловых партнеров, общества в целом и ее способностью эти ожидания удовлетворить.
Проблемы всегда имеют:
- определенное содержание (что?);
- связаны с каким-то конкретным местом (где?);
- временем возникновения и разрешения, частотой повторяемости (когда?);
- количественными параметрами (сколько?);
- кругом лиц, так или иначе причастных к ним (кто?). Эти лица могут быть виновниками возникновения проблем, инициаторами или участниками их разрешения, заинтересованными в их сохранении.
Обычно бывают, неясны:
- либо причины возникновения проблем,
- либо пути их преодоления,
- либо то и другое одновременно,
а поэтому поиск решения требует специальных исследований, на основе которых можно понять структуру самих проблем и внутренние взаимосвязи их отдельных элементов.
Наиболее важным видом таких взаимосвязей является причинна-следственная зависимость, при которой изменения в одном элементе порождают соответствующие изменения в другом.
Эта зависимость может быть:
- как строгой, так и не строгой.
- она может быть односторонней или двусторонней, если к прямой связи добавляется обратная: следствия не только порождаются причинами, но в свою очередь влияют на них.
- Зависимость между элементами может быть не только линейной, но и нелинейной, отражающей непропорциональные изменения взаимосвязанных переменных.
Поскольку зависимость между переменными далеко не всегда отчетливо видна, для выявления ее необходим причинно-следственный анализ. Он основывается на наличии очевидных нежелательных или отличающихся от запланированных результатов тех или иных действий. Анализ позволяет выявить и подтвердить наиболее вероятные причины, которые вызвали к жизни данную проблему.
Чаще всего речь может идти о следующих факторах.
Во-первых, о неверных принципах, на которых основывается де¬ятельность организации. Например, низкий уровень рентабельности, в результате чего получаемой прибыли не будет хватать даже для уплаты налогов.
Во-вторых, об ошибочных критериях оценки деятельности организации, подразделения, коллектива или отдельного работника. (Завышенные критерии покажут наличие проблемы там, где ее в действительности нет, а заниженные, наоборот, приуменьшат ее реальное значение).
В-третьих, о нарушениях в процессе достижения поставленных целей, которые могут иметь в качестве причины не только случайные, но и умышленно инспирированные ошибки, обусловленные стремлением нанести ущерб организации или отдельному лицу.
В-четвертых, о непредвиденных обстоятельствах, которые иногда сложно предвидеть, (например, стихийных бедствиях, техногенных катастрофах типа чернобыльской, политических и экономических катаклизмах).
Если, например, проблема существует изначально, и с первого дня функционирования организации, получаемые результаты отличаются от намеченных, необходимо начать с изучения обоснованности стандартов деятельности и соответствия реальных внешних условий ожидаемым. Если с той и другой стороны все в порядке, в поисках причины нужно двигаться вглубь или вовне организации.
Если проблема обнаружилась позже и о ее причинах сразу же можно сделать определенные предположения, в задачу анализа вхо¬дит проверка их истинности, подтверждение наличия связей между ними и следствиями, которые можно наблюдать в реальной жизни, В том случае, когда в результате произведенной корректировки ничего не меняется, осуществляется поиск факторов, нарушающих обычную причинно-следственную зависимость. К ним может, например, относиться попытка самостоятельного исправления положения не достаточно компетентными лицами. При проведении причинно-следственного анализа необходимо учитывать имеющийся опыт, для чего проблема обсуждается всеми людьми, кого она в той или иной степени касается, или кто прежде сталкивался с аналогичными ситуациями. Здесь, конечно, может иметь место определенный субъективизм и предвзятость оценок и суждений, но при достаточно большом круге лиц происходит усреднение мнений и формируется оценка, достаточно адекватно отражающая реальность.
Предпосылкой и результатом причинно-следственного анализа является классификация возникших проблем, которая может быть осуществлена по ряду признаков:
- одним из них является степень важности для организации. Так, важные проблемы, например, нехватка средств для инвестиций или устаревшая структура производственного аппарата, оказывают воздействие не только на текущее, но и на будущее положение организации. В то же время от малозначительных проблем, скажем, от отсутствия денег для своевременной выплаты премий, как говорится, не умирают.
- другим классификационным признаком проблем можно считать их масштабность, характеризующуюся числом членов организации, которых эти проблемы в той или иной степени затрагивают.
- проблемы можно различать по степени риска, связанного с их существованием. Он измеряется вероятностью нежелательных для организации последствий и проявляется, например, цепочкой новых проблем, порожденных прежними, крупного экономического или иного ущерба, подрывающего устойчивость организации или угрожающего ее существованию вообще.
Понятно, что проблемы, существование которых сопряжено с риском, необходимо решать как можно скорее, пока не произошло дальнейшего ухудшения ситуации. Иными словами они являются срочными, хотя обратное утверждение было бы не вполне верным — не все срочные проблемы связаны с большим риском.
Срочность проблемы чаще всего находится в обратном соотношении с ее важностью. В момент своего возникновения важные проблемы обычно не являются "горящими", что дает формальное основание отодвинуть их на некоторое время в сторону, а потом в суете и вовсе забыть. В итоге благоприятный момент для их решения может оказаться упущенным, а сами они превратятся в срочные, а возможно, и рискованные.
Управленческие проблемы можно различать также по степени структуризации и формализованности:
- одни проблемы легко формулируются, поддаются расчленению на отдельные элементы, между которыми хорошо просматриваются взаимосвязи. Их удобно выражать в количественных показателях, что открывает прямую дорогу для математического моделирования и решения с помощью формальных методов.
- другие проблемы структурируются только в основном, поэтому у них удается количественно описать и формализовать только главные элементы и взаимосвязи, что затрудняет использовать приемы моделирования.
- третьи вовсе не могут быть структурированы и поддаются только качественному описанию, не допускающему возможности формализации.
Наконец, проблемы можно классифицировать в зависимости от возможности их решения. Некоторые, хотя таких на самом деле не столь много, нельзя решить в принципе ни при каких обстоятельствах; другие не могут быть решены лишь в данных условиях, скажем, из-за нехватки средств; для решения третьих препятствий вообще не существует, и оно может быть реализовано в любой момент.
Однако проблемы лучше все же не решать, а предотвращать путем проведения профилактических мероприятий, позволяющих снизить вероятность появления нежелательных ситуаций.
Решение и его разновидности
Решение проблем, больших и малых, сложных и простых, важных и второстепенных, составляющее суть процесса управления, представляет собой волевое воздействие субъекта процесса управления на объект, ради достижения стоящих перед ним целей.
Результаты управленческих решений, особенно в рамках крупных организаций, затрагивают интересы множества людей, например:
- на подчиненных, можно влиять прямо и непосредственно;
- для других воздействие может быть лишь опосредованным, через смежные с ними факторы (скажем, снизить цены на свободном рынке удается, не регулируя их. напрямую, а создав избыточное предложение товаров и услуг);
- третьи факторы просто приходится "принимать к сведению" и стараться их нейтрализовать, либо застраховаться от их последствий.
Управленческие решения можно рассматривать с разных точек зрения. По степени влияния на будущее организации они делятся на: стратегические и тактические.
- Стратегические определяют основные пути ее развития;
- Тактические — конкретные способы продвижения по ним.
Так, решение организации выйти на внешний рынок будет в этом смысле стратегическим, а решение о проведении необходимых мероприятий с целью повышения конкурентоспособности выпускаемой продукции — тактическим. Обычно стратегические решения принимаются на высшем уровне управления организацией, а тактические на низших.
Стратегические решения чаще всего диктуются обстоятельствами, под влиянием которых высшее руководство берет на себя инициативу их принятия, поэтому они являются инициативными; тактические решения, конкретизирующие поступающие сверху указания, имеют характер предписанных.
В соответствии с временным горизонтом можно говорить о перспективных решениях, реализуемых в будущем, и текущих, ориентированных на нужды сегодняшнего дня. К разряду первых можно отнести решение об инвестировании средств в реконструкцию предприятия; ко вторым — о вложении временно свободных денег в краткосрочные ценные бумаги.
В зависимости от продолжительности периода реализации принято выделять:
- долгосрочные (свыше 5 лет) и имеют прогнозный характер; -- среднесрочные (от года до 5 лет) отражаются уже в обязательных для исполнения планах и программах, в соответствии с которыми осуществляются конкретные практические мероприятия.
- краткосрочные (до одного года) решения и отражаются в устных или письменных приказах или распоряжениях.
По степени обязательности исполнения решения подразделяются на: директивные, рекомендательные и ориентирующие.
Так, директивные решения обычно разрабатываются высшими органами управления в стабильных условиях по поводу наиболее важных текущих и перспективных проблем организации и предназначены для обязательного исполнения на ее низших уровнях.
Рекомендательные решения готовятся совещательными органами — различного рода комитетами или комиссиями. Их исполнение желательно, но не обязательно, поскольку те, к кому эти решения относятся, не подчиняются тем, кто их принимает.
Наконец, ориентирующие решения, как и директивные, предназначены для низших уровней управления, однако действующих в условиях значительной свободы от центра. Ориентирующими по сути можно считать прогнозные решения, являющиеся как бы "маяком" для плановых.
По функциональному назначению можно выделить:















