175433 (596048), страница 7
Текст из файла (страница 7)
е) график потребности в основных строительных машинах и транспортных средствах;
ж) график потребности в кадрах строителей;
з) пояснительную записку, в которой приводится характеристика района строительства, обоснование методов производства работ, расчеты потребности в трудовых и материальных ресурсах, основных жстроительных машинах и транспортных средствах, электроэнергии, воде, паре, кислороде, сжатом воздухе, временных зданиях и сооружениях; технико-экономические показатели: общая продолжительность строительства, в т.ч. подготовительного периода и монтажа оборудования; максимальная и средняя численность работающих, чел.; затраты труда на выполнение строительных и монтажных работ, чел.-дн.
ПОС является руководящим документом для заказчика и подрядной организации. Он используется при составлении сметной документации и плана финансирования строительства.
ППР разрабатывается для подрядной организации и оплачивается, как правило, за счет накладных расходов. В нем детализируются и конкретизируются организационно-технологические решения, принятые в ПОСе. Состав и степень детализации материалов ППР устанавливаются подрядной организацией исходя из специфики и объема выполняемых работ.
В составе ППР разрабатываются:
а) календарный план или комплексный сетевой график, в котором устанавливаются последовательность и сроки выполнения работ с максимальным их совмещением; подсчитываются трудовые затраты и потребность в машинах;
б) строительный генеральный план с указанием: границ строительной площадки и вида ее ограждения; действующих временных надземных, подземных и воздушных сетей и коммуникаций; постоянных и временных дорог, схем движения транспорта и механизмов; мест установки строительных машин, путей их перемещения и зон действия; размещения постоянных, строящихся и временных зданий и сооружений; мест расположения знаков геодезической разбивочной основы; опасных зон, проходов в здания и сооружения, средств подъема работающих на ярусы (этажи); размещение источников и средств энергоснабжения и освещения строительной площадки; расположения мест для складирования материалов и конструкций, площадок для укрупнительной сборки, устройств для удаления строительного мусора; расположения помещений для санитарно-бытового обслуживания строителей, питьевых установок, мест отдыха;
в) графики движения рабочих кадров и основных строительных машин;
г) графики поступления на объект строительных конструкций, изделий, материалов и оборудования;
д) технологические карты на отдельные виды работ с включением схем операционного контроля качества, описанием методов производства работ с указанием затрат труда, потребности в материалах, машинах, оснастке, приспособлениях и средствах защиты работающих;
е) решения по производству геодезических работ со схемами размещения знаков;
ж) решения по технике безопасности;
з) решения по прокладке временных сетей водо-, тепло- и энергоснабжения и освещению строительной площадки;
и) перечень технологического инвентаря и монтажной оснастки;
к) пояснительная записка, содержащая обоснования методов производства работ; мероприятия по охране труда, пожарной безопасности и охране окружающей среды; потребность в энергетических ресурсах; перечень временных зданий и сооружений; технико-экономические показатели: продолжительность возведения здания (сооружения), уровень механизации работ, численность рабочих максимальная и средняя, затраты труда на 1 м2 площади здания.
ППР утверждается руководителем подрядной организации. ППР на расширение, реконструкцию, техническое перевооружение действующих предприятий, зданий и сооружений должны быть согласованы с предприятием (организацией)-заказчиком.
ППР является одним из основных документов, необходимых для получения разрешения на производство строительных работ, им руководствуются при организации производства и труда при строительстве объектов и выполнении комплексов строительно-монтажных работ.
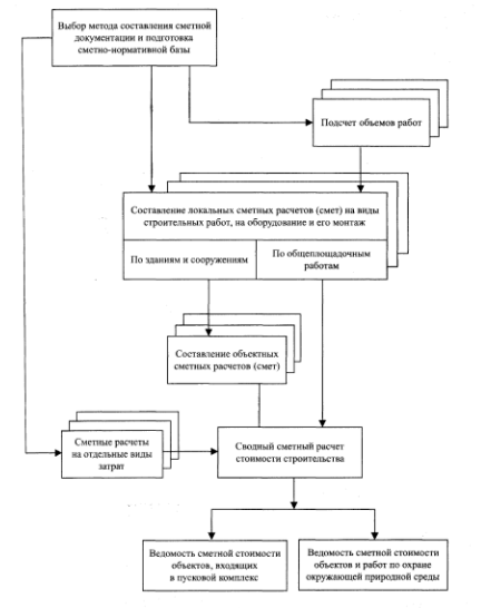
Для определения сметной стоимости проектируемых предприятий, зданий и сооружений составляется сметная документация. Состав ее позволяет определить сметную стоимость различных видов строительной продукции: строительных и монтажных работ, объектов строительства, стройки в целом и при необходимости, входящих в их состав пусковых комплексов и очередей строительства.
Порядок разработки сметной документации установлен Инструкцией о порядке разработки, согласования, утверждения и составе проектной документации на строительство предприятий, зданий и сооружений.
При двустадийном проектировании полный состав сметной документации разрабатывается на первой стадии – ТЭО (проект) в виде сметных расчетов и может быть уточнен на стадии рабочей документации путем составления локальных и объектных смет, если это предусмотрено договором на проектные работы. На стадии рабочего проекта составляются локальные и объектные сметы и сводный сметный расчет стоимости строительства.
Состав сметной документации и последовательность ее разработки показаны в табл. 2.1 и на рис. 2.2.
Таблица 2.1
Состав и формы сметной документации
| Наименование сметного документа | Номер образца |
| Сводный сметный расчет стоимости строительства (капитального ремонта) | 1 |
| Сводка затрат | 2 |
| Объектный сметный расчет (объектная смета) | 3 |
| Локальный сметный расчет (локальная смета) | 4 |
| Локальная ресурсная ведомость | 5а |
| Локальный ресурсный сметный расчет (локальная ресурсная смета) | 5б |
| Ведомость сметной стоимости строительства объектов, входящих в пусковой комплекс | 6 |
| Ведомость сметной стоимости объектов и работ по охране окружающей природной среды | 7 |
Локальные сметы (сметные расчеты) являются первичными сметными документами и составляются на отдельные виды работ и затрат по зданиям и сооружениям или по общеплощадочным работам.
Объектные сметы (сметные расчеты) определяют сметную стоимость строительства объекта путем объединения в своем составе данных из локальных смет (сметных расчетов).
Сметные расчеты на отдельные виды затрат составляются, как правило, для определения прочих затрат, сопутствующих строительству и не учтенных сметными нормативами (компенсации в связи с изъятием земель под застройку, премии за ввод в действие объекта в срок и досрочно и др.).
Рис. 2.2 – Порядок разработки сметной документации на строительство
Сводные сметные расчеты стоимости строительства предприятий, зданий и сооружений (или их очередей) составляются на основе объектных смет (сметных расчетов), локальных смет на общеплощадочные работы и сметных расчетов на отдельные виды затрат.
Сводка затрат составляется в том случае, когда в состав стройки входят объекты производственного, жилищно-гражданского и другого назначения, стоимость которых определяется самостоятельными сводными сметными расчетами.
Если проектом предусматривается ввод предприятия (учреждения) пусковыми комплексами, то в составе сметной документации разрабатываются ведомости сметной стоимости строительства объектов, входящих в пусковые комплексы.
В тех случаях, когда при строительстве предприятия, здания и сооружения предусматривается осуществлять природоохранные мероприятия, составляется ведомость сметной стоимости объектов и работ по охране окружающей природной среды.
При составлении сметных расчетов (смет) могут использоваться следующие методы:
ресурсный – калькулирование в текущих (прогнозных) ценах и тарифах статей затрат по видам ресурсов;
ресурсно-индексный – использование системы текущих и прогнозных индексов по отношению к сметной стоимости, определенной в базисном уровне цен по единичным расценкам;
на основе укрупненных сметных нормативов, в т.ч. банка данных по аналогам – использование укрупненных показателей стоимости и стоимостных данных по зданиям и сооружениям, аналогичным проектируемым.
Результаты вычислений и итоговые данные в сметной документации рекомендуется приводить:
в локальных сметных расчетах (сметах) – с округлением до рубля;
в объектных сметных расчетах (сметах) и в сводном сметном расчете стоимости строительства – в тысячах рублей, с округлением до двух знаков после запятой.
3 Проектная разработка мероприятий на введении новой единицы сметного отдела
3.1 Обоснование необходимости введения сметного отдела
Активное развитие новостроя (нового строительства) приводит к тому, что строительные организации вынуждены непрерывно совершенствоваться, увеличение объемов производства обуславливает необходимость модификации старых методик управления производством и применения современных инструментов планирования деятельности.
Строительство, как немногие отрасли экономики, в силу длительного инвестиционного цикла, немыслимо без планирования. Планирование в строительстве - сложная вещь, т.к. необходимо учитывать многие факторы, такие как2:
Данные проектно-сметной документации;
Взаимосвязь между подразделениями;
Использование субподрядных организаций;
Ограниченность материальных и трудовых ресурсов;
Своевременность поставки сырья и материалов.
План должен охватывать все стороны деятельности строительной компании:
Производственную;
Хозяйственную;
Финансовую.
Одним из современных методов финансового планирования является бюджетирование. Под бюджетированием понимается управленческая технология финансового планирования, которая позволяет контролировать и анализировать планируемые и получаемые финансовые показатели3. Основным инструментом здесь является бюджет. Под бюджетом понимается финансовый план, в котором все показатели относятся либо к доходной, либо к расходной части.
Бюджет определяет для предприятия основные стратегические направления деятельности, в нём моделируются сценарии развития. Основное отличие системы бюджетирования от Техпромфинплана, применявшегося в бывшем СССР, это рыночная направленность деятельности (в основу положен современный маркетинговый принцип о направленности продукции на покупателя, оценка деятельности осуществляется не только в натуральных показателях, а обязательность применения натурально-стоимостных оценок), и использование современных компьютерных технологий.
При постановке бюджетирования строительной деятельности необходимо учитывать специфические особенности, присущие данной отрасли экономики.
Можно отметить следующие особенности:
Планирование затрагивает долгий инвестиционный период (большая продолжительность периода планирования);
Жесткая регламентация работ (проектно-сметная документация);
Необходимость применения календарных методов планирования;
Высокая эффективность применения аналогового планирования.
Обычно строительство крупного объекта может длиться довольно долго. Это накладывает свою специфику. Общеизвестно, что чем дольше период планирования, тем выше неопределенность и тем ниже точность плана. Для повышения достоверности планов, сделанных на долгосрочный период, в основном полагаются не на количественные методы, а применяют преимущественно качественные, привлекая авторитетных экспертов.
Решение этих задач возможно только комплексно с участием специалистов сметного отдела.
3.2 Проектные мероприятия по введению сметного отдела
В настоящее время стандарты менеджмента предполагают четкое определение организационной структуры предприятия и его бизнес-процессов. Согласно международному стандарту ИСО 9000, процесс — это «система деятельности, использующая ресурсы для преобразования входа в выход».
Понятие бизнес-процесса очень важно для современного предприятия. Его можно определить как совокупность взаимосвязанных операций, направленных на получение определенного результата с указанием начала и конца операций, точным определением входов, выходов, механизмов исполнения и управления.
Для проектных отделов организаций можно выделить несколько основных бизнес-процессов.
1. Основной производственный процесс, задачей которого является разработка проектной документации. В нем задействованы самые разные специалисты: архитекторы, конструкторы, проектировщики и др.
2. Процесс управления основным производством, который обеспечивают плановый отдел, сметно-договорная группа, ГИПы (главные инженеры проектов), диспетчеры и т. д.
3. Другие вспомогательные бизнес-процессы, протекающие в проектных отделах организаций (управление персоналом, материально-техническое обслуживание, бухгалтерия).
Одной из задач, стоящих перед проектными отделами организаций на пути повышения эффективности работы, является моделирование собственных бизнес-процессов. На это имеется несколько объективных причин. Во-первых, процессный подход является главным требованием внедрения системы менеджмента качества. Это основа, на которой она должна строиться. Во-вторых, результатом процесса описания очень часто бывает нахождение скрытых, известных ограниченному кругу специалистов «болячек». Стоит отметить важное влияние описания бизнес-процессов и на такие направления, как автоматизация рутинных процедур, сокращение потерь и разработка регламента. Таким образом, все эти причины указывают на формализацию бизнес-процессов проектных отделов как одну из актуальных проблем.
На сегодня существует самый широкий спектр различных методик (нотаций), позволяющих адекватно, с требуемой детализацией и точностью описать те или иные бизнес-процессы, например UML, IDEF, BMPL, BPEL и др. Многие из них предназначены для специфических целей, например только для описания организационных структур, описания алгоритма. Другие же, наоборот, являются более универсальным инструментом. Число этих нотаций растет с каждым годом и измеряется десятками, если не сотнями. Основная трудность в применении таких нотаций заключается в том, что понять результат их использования смогут лишь бизнес-аналитики, консалтеры, эксперты в системном анализе. Для большинства же руководителей, не знакомых с системным анализом, моделированием, разобраться в них без существенных как временных, так и материальных затрат будет непросто. Поэтому при выборе нотации стоит руководствоваться двумя соображениями. Во-первых, необходимо, чтобы она была максимально простой, понятной. А во-вторых, позволяя описывать бизнес-процессы, учитывала бы довольно строгие требования по точности, адекватности.
















