164168 (595578), страница 9
Текст из файла (страница 9)
2. Фонд оплати праці (ФОП) на 1 кг хліба (середня заробітна плата на місяць х Квиплат до соцфонду * чисельність працюючих у зміну х кількість змін : (продуктивність пекарні х кількість робочих днів у місяці)) складає: 850 грн./мес. х 1,4 х 4 х 1 : (1300кг х 30) = 0,0832 грн./кг
3. Транспортні витрати на 1 кг хліба (транспортні витрати на місяць : (продуктивність пекарні х кількість робочих днів у місяці)) складають: 2400 грн. : (1300 х 30) = 0,0615 грн./кг
4. Витрати на комунальні послуги й орендну плату на 1 кг хліба (площа приміщення х (вартість комунальних послуг + орендна плата) : (продуктивність пекарні х кількість робочих днів у місяці)) складають: 120м2 х (20,0 +3,8) : (1300 х 30) = 0,0732 грн./кг
5. Амортизація устаткування на 1 кг хліба ((вартість пекарні + вартість додаткового електросилового устаткування) х річна норма амортизації (6,5 %) : (продуктивність пекарні х кількість робочих днів у році)) складає:
5.1. Пекарня «ВОСХОД-1300Р» (на дизельному паливі): (72313,33+916,67+5630+1875,5)грн. х 0,065 : (1300 х 345) = 0,012 грн./кг
5.2. Пекарня «ВОСХОД-1300Р» (на газі): (78841,67+916,67+5630+1875,5)грн. х 0,065 : (1300 х 345) = 0,013 грн./кг
6. Собівартість 1 кг хліба (матеріальні витрати + витрати на енергоносії + фонд оплати праці + транспортні витрати + витрати на комунальні послуги й орендну плату + амортизація устаткування ) складає(з обліком уплаченого ПДВ –20%):
6.1. Пекарня «ВОСХОД-1300Р» (на дизельному паливі): 1,22 + 0,1519 + 0,0832 + 0,0615 + 0,0732 + 0,012 = 1,6018 грн./кг
6.2. Пекарня «ВОСХОД-1300Р» (на газі):
1,22 + 0,048 +0,0832 + 0,0615 + 0,0732 + 0,013 = 1,4989 грн./кг
7. Чистий доход підприємства від реалізації 1 кг хліба (роздрібна ціна 1 кг хліба – собівартість), де роздрібна ціна 1 кг хліба це роздрібна ціна 1 буханця хліба : вага = 1,4 грн. : 0,75 = 1,867 грн. складає,при цьому з ціни реалізації стягується різниця полученого й уплаченого податку ПДВ (20%)[14].:
7.1. Пекарня «ВОСХОД-1300Р» (на дизельному паливі):
1,867 грн.*5/6 – 1,6018 грн.*5/6 = 0,221 грн./кг
7.2. Пекарня «ВОСХОД-1300Р» (на газі):
1,867грн.*5/6 – 1,4989 грн.*5/6 = 0,3067 грн./кг
8. Рентабельність виробництва по чистому прибутку підприємства складе ( як відношення чистого прибутку з 1 кг хліба до витрат на виробництво 1 кг хліба) :
8.1. Пекарня «ВОСХОД-1300Р» (на дизельному паливі):
0,221/(1,6018*5/6)*(1-0,25) * 100 % = 12,41 %
8.2. Пекарня «ВОСХОД-1300Р» (на газі):
0,3067/(1,4989*5/6)*(1-0,25) *100 % = 18,4 %
9. Основні витрати (вартість пекарні + додаткове електросилове устаткування + транспортні витрати по доставці + монтаж і пусконаладка устаткування) складають:
9.1. Пекарня «ВОСХОД-1300Р» (на дизельному паливі):
92313,33+916,67+5630,0+1875,5 = 100 735,5 грн.
9.2. Пекарня «ВОСХОД-1300Р» (на газі):
98841,67+916,67+5630,0+1875,5 = 107 263,84 грн.
10. Строк окупності, днів (основні витрати : (чистий прибуток з 1 кг хліба х продуктивність пекарні) складає:
10.1. Пекарня «ВОСХОД-1300Р» (на дизельному паливі):
100 735,5 грн. : (0,221 грн./кг х 1300кг/день) = 351 день чи 0,97 року.
10.2. Пекарня «ВОСХОД-1300Р» (на газі):
107 263,84 грн. : (0,3067 грн./кг х 1300кг/день) = 269 днів чи 0,75 року
Таким чином, зростання реалізаційних цін на хліб до рівня травня 2006 року 1,50 грн. за буханець „Соціального хліба” з рівня 1,20 грн. за той же буханець у травні 2004 року (темп росту + 125%) пов”язане, як із збільшенням собівартості з рівня:
а) для печі на газі 1,4806 грн/кг (2004) та 1,4989 грн/кг(2006), збільшення виробничої собівартості на +1,23%
б) для печі на дизельному пальному 1,5176 грн./кг(2004) та 1,6018 грн./кг(2006) , збільшення виробничої собівартості + 5,54% так і з виходом хлібопекарних підприємств на рентабельну роботу:
а) для печі на газі виробнича рентабельність зросла з 5,04% (2004) до 18,4%(2006), темп росту виробничої рентабельності +365,0%
б) для печі на дизельному пальному виробнича рентабельність зросла з 3,9%(2004) до 12,41%(2006) , темп росту виробничої собівартості + 318,2%
Тобто підвищення ціни на хліб має двоїсту природу саморегуляції інвестиційного капіталу, який потребує нормального рівня прибутковості.
3.2 Бізнес-план зниження собівартості продукції у 2008 році за рахунок впровадження нових типів хлібопекарень «ВОСХОД»
В якості основних шляхів зниження собівартості продукції ВАТ „Дніпропетровський хлібокомбінат № 9” в дипломному проекті пропонуються наступні заходи технічного переобладнання виробництва більш продуктивним та економним обладнанням фірми ЗАТ НПП „Восход” (Росія) останніх серій:
1. Хлібопекарні пічі „Муссонротор” випускаються в трьох варіантах – з електричними нагрівачами, з газовими нагрівачами та нагрівачами на дизельному топливі. Зовнішній вид пічей „Муссон-Ротор” наведений в Додатку Ж.
Оскільки в останній рік зростання цін на газ та дизельне пальне перевищує зростання цін на електроенергію, в розрахунках по обґрунтуванню більш економічних печей були включені варіанти на всіх трьох видах пального.
2. Хлібопекарні пічі „Муссон-ротор” випускаються в декількох варіантах по обсягам змінної випічки хліба – 500 кг/зміну, 700 кг/зміну, 1300 кг/зміну, 2500 кг/зміну, 5000 кг/зміну.
При рості обсягів випуску хліба міняється співвідношення постійних та перемінних витрат, при цьому структурна доля постійних витрат падає, що підвищує рівень рентабельності виробництва.
В економічному обґрунтуванні бізнес-плану дипломного проекту проведені калькуляційні розрахунки собівартості для печей на одному виді палива та при різних обсягах продуктивності, а також на різних типах палива при одному обсягу продуктивності (типовий розрахунок наведений в табл.3.10).
Таблиця 3.10
Порівняльний калькуляційний розрахунок собівартості хліба та рентабельності його виробництва у 2008 році на нових печах “ВОСХОД”
Закінчення табл.3.10
В таблицях Додатку К наведені результати розрахунків показників бізнес-планів впровадження нових видів хлібопекарних роторних печей „Муссон-Ротор”, які працюють на електроенергії, на газі та на дизельному пальному. На рис. 3.2 наведені результати розрахунків собівартості 1 кг хліба на різних типах печей з різними рівнями продуктивності. Розраховувалися три види собівартості - виробнича, цехова та загальна по підприємству. Реалізаційна ціна 1 кг хліба у всіх варіантах приймалася на рівні 2008 року – 2,86 грн./кг.
Рис.3.2. Результати розрахунків собівартості для різних варіантів впроваджуємих роторних пічей „Муссон-Ротор” на трьох видах палива при варіації продуктивності від 500 до 5000 кг хліба в зміну
Рис.3.3. Результати розрахунків рівня рентабельності для різних варіантів впроваджуємих роторних пічей „Муссон-Ротор” на трьох видах палива при варіації продуктивності від 500 до 5000 кг хліба в зміну
Рис.3.4. Результати аналізу підвищення рівня рентабельності роботи на печях „Муссон-Ротор” на газі при рості продуктивності пічей від 2500 до 5000 кг хліба в зміну та відповідному зниженні рівня постійних витрат в собівартості
Рис.3.5. Розрахунковий строк окупності витрат на впровадження нових видів роторних пічей „Муссон – ротор”
Рис.3.6. Порівняльна ефективність впровадження різних видів палива при рівній продуктивності пічі „Муссон-Ротор -2500” (2500 кг хліба за зміну)
Таким чином, отримані результати калькуляційних розрахунків показників альтернативних бізнес-планів показали, що при рівнях вартості електроенергії, газу та дизельного пального для січня 2008 року рентабельність виробництва хліба для печей з сталим рівнем продуктивності 2500 кг хліба становить:
при використанні електроенергії - 3,21%;
при використанні дизельного пального – 11,96%
при використанні газу - 18,98%
Дисконтована «пренумерандо» чиста рентабельність інвестицій на придбання та монтаж обладнання при коефіцієнті дисконтування на рівні інфляції 2007 року – 17% та сроку окупності проекту 1 рік становитиме:
при використанні електроенергії – (-13,8)%;
при використанні дизельного пального – (-5,0%)%
при використанні газу - (+1,98)%
Отже, навіть при рості ціни на газ з 50 доларів(2004) до 180 доларів(2008) за 1000 м3 найбільш ефективним є використання роторних хлібопекарських печей на природному газі.
Розрахунковий аналіз впливу росту продуктивності роторної пічі на структурне співвідношення перемінних та постійних витрат на прикладі роторних печей „Муссон-Ротор” на природному газі з продуктивністю від 2500 до 5000 кг хліба в зміну показав, що:
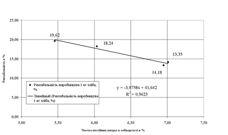
при продуктивності пічі 2500 кг/зміну рівень постійних витрат в собівартості становить 7,01%, відповідна загальна для підприємства собівартість 1 кг хліба становить 2,40 грн./кг, що при ціні продажу 2,86 грн./кг відповідає рівню рентабельності 14,18%;
при продуктивності пічі 3600 кг/зміну рівень постійних витрат в собівартості становить 6,95%, відповідна загальна для підприємства собівартість 1 кг хліба становить 2,43 грн./кг, що при ціні продажу 2,86 грн./кг відповідає рівню рентабельності 13,38%;
при продуктивності пічі 5000 кг/зміну рівень постійних витрат в собівартості становить 5,45%, відповідна загальна для підприємства собівартість 1 кг хліба становить 2,26 грн./кг, що при ціні продажу 2,86 грн./кг відповідає рівню рентабельності 19,62%;
ВИСНОВКИ
Основними особливостями роботи хлібопекарських підприємств є :
- ненадійність ринку зерна, який залежить від реалізації кліматичних умов та щорічного врожаю зерна не тільки на Україні, але і в зернових зонах світу;
- необхідність реалізації основного обсягу виробленої продукції на протязі 24 годин, що потребує оперативного керування територіальними ринками збуту продукції та цінами реалізації;
Досліджуємо в дипломному проекті підприємство - ВАТ “Дніпропетровський хлібозавод №9” за обсягами виробництва хлібобулочної продукції є третім в Дніпропетровській області (після ВАТ “Хліб” №8 та хлібозавода №10). У середньому добовий тонаж заводу складає близько 35 тон хлібобулочних виробів, продукція доставляється у власну мережу магазинів та хлібних кіосків реалізації у м.Дніпропетровську власним автотранспортом. Штат підприємства – 682 співробітників, що працюють у 1 – 3 зміни, середньоявочна чисельність зміни – 294 чоловік (коефіцієнт змінності – 2,13).
Аналіз результатів первинної статистичної обробки балансових звітів та звітів про фінансові результати діяльності ВАТ “Дніпропетровський хлібозавод №9” за 2005 – 2007 роки показав:
- валюта активів балансу у 2006 році зросла на + 12,1 % відносно рівня 2005 року, а у 2007 році ще зросла на + 1,4 % відносно рівня 2006 року, таким чином валюта балансу за два роки зросла з 14,9 млн.грн. до 16,9 млн.грн..;
- необоротний капітал (основні фонди) підприємства зросли за два роки з 9,47 млн.грн. до 10, 89 млн.грн., займаючи основну долю 80,0%(у 2005), 78,4% (у 2006), 73,2%(у 2007) % в валюті баланса, тобто підприємство – виробниче, а основні фонди – це основний потенціал виробництва.
- динаміка структурної долі грошових коштів характеризується падінням з рівня 3,1% (2005 рік) до рівня 1,8% у 2007 році;
- динаміка структурної долі виробничих запасів характеризується стабільним рівнем 9,6 %(2005), 10,2%(2006), 9,4%(2007);
















