86081 (589926), страница 3
Текст из файла (страница 3)
(2.2.17)
Формулы Коши
(2.2.18)
Условие пластичности
(2.2.19)
Закон Гука
(2.2.20)
Граничные условия:
,
,
при
; (2.2.21)
при
;
при
.
Решение будем искать в виде:
(2.2.22)
Уравнения равновесия (2.2.17) удовлетворяются, если ввести некоторую функцию
, называемую функцией напряжений. Это функция
связана с компонентами напряжения следующими зависимостями:
(2.2.23)
2.3 Решение задачи
Осесимметричное (невозмущенное) состояние
Пластичность
Определим компоненты напряжений в пластичной области
.
Так как материал трубы считается несжимаемым, то имеет место условие несжимаемости:
. (2.3.1)
Труба осесимметрическая, следовательно компоненты и напряжения, и перемещения от
не зависят:
,
,
,
.
Условие пластичности (2.2.19) в начальном состоянии имеет вид:
. (2.3.2)
Из условий равновесий (2.2.17) вытекает:
.
Получили дифференциальное уравнение:
.
Решим:
Из граничных условий (2.2.21) имеем
.
Тогда
(2.3.3)
Определим компоненты перемещений.
Из формул Коши (2.2.18) следует:
При
из граничных условий (2.2.21) следует
Упругость
Найдем компоненты деформации в упругой области
.
Из закона Гука (2.2.20) вытекает
(2.3.4)
Формулы Коши (2.2.18) примут вид:
Из уравнений равновесий (2.2.17):
Решим:
Из граничных условий (2.2.21)
при
Тогда
(2.3.5)
Радиус пластической зоны
При
и
(2.3.6)
Получили неявное уравнение для нахождения радиуса пластической зоны
.
Возмущенное состояние
Пластичность
Решение будем искать в виде:
где
(2.3.7)
Из условия пластичности (2.3.7) следует:
.
.
.
Формулы (2.2.23) примут вид:
(2.3.8)
Из условия пластичности (2.2.19) и формул (2.3.8) получим:
.
Функцию
будем искать в виде:
.
Подставим
Пусть
Тогда
Следовательно
Или
.
Тогда функция
примет вид:
. (2.3.9)
Найдем частные производные по
и по
.
По формулам (2.3.8) при подстановке имеем:
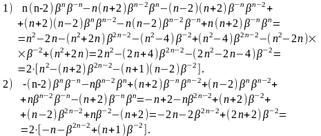
Из этих соотношений найдём
Составим систему уравнений и решим её.
Введём обозначения:
(2.3.11)
Упругость
Закон Гука:
(2.3.12)
Формулы Коши:
(2.3.13)
Уравнения равновесия:
(2.3.14)
Условие несжимаемости:
(2.3.15)
Закон Гука можно переписать в виде:
Сложим уравнения системы:
(2.3.12)
можно записать так:
(2.3.16)
Условие несжимаемости (2.3.15) в силу (2.3.13) примет вид:
Положим
Тогда (2.3.16) запишется в виде:
(2.3.17)
Подставим (2.3.17) в (2.3.14):
Первое выражение продифференцируем по
, второе - по
, вычтем из первого выражения второе и разделим на
. Тогда
Умножим на
.
Функцию
будем искать в виде:
Подставим в (2.3.18) и разделим на
.
Решение будем искать в виде
.
Или
Тогда
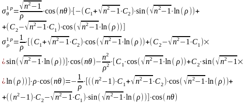
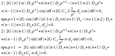
Тогда компоненты напряжений имеют вид:
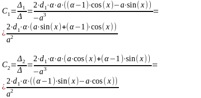
Получили систему уравнений для нахождения коэффициентов
Решим её методом Крамера.
Тогда
Тогда
Тогда
Тогда
Тогда
Найдём выражения для компонент деформации.
ВЫВОДЫ
Задача решена путём приведения к линеаризованному виду. На первом этапе получено решение осесимметричного (невозмущенного) состояния трубы в напряжениях, деформациях и перемещениях – формулы(2.3.3), (2.3.5), а также неоднородное нелинейное уравнение для нахождения радиуса пластической зоны (2.3.6).
Исследуя осесимметричную деформацию трубы, получено решение задачи в общем случае (n>1). Решение записано в виде (2.3.10), где коэффициенты имеют вид (2.3.11) – это в пластической зоне. В упругой зоне – это формулы (2.3.20), а коэффициенты – (2.3.21).
ЛИТЕРАТУРА
-
Александров А.В., Потапов В.Д. Основы теории упругости и пластичности. – М.: Высшая школа, 1990.– 400 с.
-
Бородин Н.А. Сопротивление материалов. – М.: Машиностроение, 1992. – 224 с.
-
Вульман С.А. О решении осесимметричных упругопластических задач методом малого параметра. – Изв. АН СССР, Механика твердого тела, 1969, №3.
-
Ершов Л.В., Ивлев Д.Д. Упругопластическое состояние конической трубы, находящейся под действием внутреннего давления. – Вестник МГУ, 1957, №2.
-
Ершов Л.В., Ивлев Д.Д. Упругопластическое состояние эллиптической трубы, находящейся под действием внутреннего давления. – Изв. АН СССР, 1957, №9.
-
Ивлев Д.Д. Метод возмущений в теории упругопластического тела. – М.:Наука, 1978. – 208 с.
-
Ивлев Д.Д. Приближенное решение упругопластических задач теории идеальной пластичности. – Докл. АН СССР, 1957, т.113, №2.
-
Ивлев Д.Д. Приближенное решение плоских упругопластических задач теории идеальной пластичности. – Вестник МГУ, 1957, №5.
-
Самуль В.И. Основы теории упругости и пластичности. – М.: Высшее образование, 1982. – 264 с.
-
Тимошенко С.П. , Гудгер Дж. Теория упругости. – М.: Наука, 1979. – 560 с.
















