82103 (589636), страница 12
Текст из файла (страница 12)
Рис.3.2. Логічний мережевий графік проекта ВАТ “Класс-Дизайн” у термінах робіт та подій
В табл.3.14 на основі логічних схем рис.3.2 наведені розрахунки ранніх та пізніх строків звершення події, тривалості критичного шляху та резервів часу виконання робіт (в календарних датах, якщо проект розпочався 01.04.2006).
Таблиця 3.14 Розрахунок часових параметрів мережевого графіка (розрахунок виконаний з врахуванням 40-часової робочої неділі та вихідних днів за допомогою Microsoft Project)
| Но-мер події | Ранній строк звершення події, тижнів | Пізній строк звершення події, тижнів | Ранній строк звершення події (дата) | Пізній строк звершення події (дата) | Події критичного путі | Резерв часу подій, тижнів |
| 1 | 0 | 0 | 03.04.2006 | 03.04.2006 | Крит.шлях | 0 |
| 2 | 2 | 2 | 20.04.2006 | 20.04.2006 | Крит.шлях | 0 |
| 3 | 3 | 4 | 01.05.2006 | 10.05.2006 | 1,0 | |
| 4 | 3 | 3 | 01.05.2006 | 01.05.2006 | Крит.шлях | 1,0 |
| 5 | 4 | 5 | 10.05.2006 | 19.05.2006 | 1,0 | |
| 6 | 4 | 5 | 10.05.2006 | 19.05.2006 | 1,0 | |
| 7 | 4 | 4 | 10.05.2006 | 10.05.2006 | Крит.шлях | 0 |
| 8 | 5 | 6 | 19.05.2006 | 30.05.2006 | 1,0 | |
| 9 | 6 | 7 | 30.05.2006 | 07.07.2006 | 1,0 | |
| 10 | 6 | 6 | 30.05.2006 | 30.05.2006 | Крит.шлях | 0,0 |
| 11 | 6 | 9 | 30.05.2006 | 28.06.2005 | 3,0 | |
| 12 | 6 | 7 | 30.05.2006 | 30.05.2006 | 1,0 | |
| 13 | 10 | 10 | 07.07.2006 | 07.07.2006 | Крит.шлях | 0 |
| 14 | 26 | 26 | 12.12.2006 | 12.12.2006 | Крит.шлях | 0 |
| 15 | 28 | 28 | 01.01.2007 | 01.01.2007 | Крит.шлях | 0 |
| 16 | 29 | 29 | 10.01.2007 | 10.01.2007 | Крит.шлях | 0 |
| 17 | 33 | 33 | 19.02.2007 | 19.02.2007 | Крит.шлях | 0 |
| 18 | 37 | 37 | 29.03.2007 | 29.03.2007 | Крит.шлях | 0 |
| 19 | 30 | 35 | 08.02.2007 | 29.03.2007 | 5,0 |
На основі мережевого графіка (рис.3.2) будується діаграма Ганта з наведенням усіх необхідних параметрів і логічних зв'язків. Формуються за необхідності можливі шляхи скорочення тривалості окремих робіт і проекту в цілому. Розглядається потреба в ресурсах з наведенням ресурсних гістограм. На основі визначення потреби в ресурсах визначаються витрати по роботах за основними елементами. Будується бюджет з розподілом у часі по ранніх та пізніх строках, наводяться відповідні (бананоподібні) графіки [30,c.57].
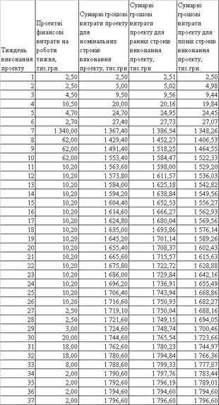
На рис.3.3 наведена календарна шкала ранніх та пізніх строків настання подій проекту та критичний шлях тривалістю 259 робочих днів ( з 01.04.2006 по 29.03.2007 року) - діаграма Гантта. На рис.3.4 наведена ресурсна календарна діаграма потреби у грошових ресурсах для виконання поточних робіт проекту (за даними табл.3.11).
Р
ис.3.4. Ресурсна календарна діаграма потреби в грошових ресурсах для номінальних строків виконання робіт
Як показує діаграма рис.3.4 основні кошти проекту необхідні на 7 –10 робочих тижнях проекту, таким чином процес надходження коштів статутного фонду ВАТ, умовно закладений в мінімальному строці – 2 тижні, можна максимально подовжити на 5 тижнів (табл.3.15, рис.3.5).
Р
ис.3.3. Календарна шкала подій (ранні та пізні строки звершення подій) – діаграма Гантта проекта
Таблиця 3.15 Характеристики фінансування проекту для номінальних, р
анніх та пізніх строків звершення подій
Рис.3.5 Бананоподібна крива розподілу необхідних ресурсів проекту в календарному часі
У загальному виді, проектний ризик в інноваційній діяльності можна визначити як імовірність утрат, що виникають при вкладенні організацією засобів у виробництво нових товарів і послуг, у розробку нової техніки і технологій, що, можливо, не знайдуть очікуваного попиту на ринку, а також при вкладенні засобів у розробку управлінських інновацій, що не принесуть очікуваного ефекту [15,c.79].
У цілому, ризик, що виникає в інноваційній діяльності, містить у собі наступні основні види ризиків:
-
ризики помилкового вибору інноваційного проекту. Однієї з причин виникнення даного ризику є необґрунтоване визначення пріоритетів економічної і ринкової стратегій організації, а також відповідних пріоритетів різних видів інновацій, здатних внести вклад у досягнення цілей організації.
-
ризики незабезпечення інноваційного проекту достатнім рівнем фінансування містять у собі:
а) ризик неотримання засобів, необхідних для розробки інноваційного проекту (організація не може залучити інвесторів через неможливість переконати їх у достатній ефективності інноваційного проекту)
б) ризик при використанні самофінансування проекту (проект може виявитися без достатніх фінансових засобів у силу невиконання організацією фінансового плану по прибутку і позареалізаційних доходах, а також при зменшенні відрахувань засобів у бюджет інноваційного проекту)
в) ризик при використанні зовнішніх джерел фінансування (бюджет проекту може виявитися дефіцитним через ліквідацію, банкрутства, або накладення арешту на майно кредиторів, закриття кредитної чи лінії призупинення платежів по ній у результаті погіршення платоспроможності кредиторів)
г) ризик при використанні комбінованого методу фінансування проекту, тобто організація використовує одночасно кілька джерел (може не вистачити джерел фінансування на визначених етапах реалізації проекту через складність комбінування цих джерел);
- маркетингові ризики поточного постачання ресурсами, необхідними для реалізації інноваційного проекту, і збуту результатів інноваційного проекту. Маркетингові ризики збуту розробленого інноваційного проекту включають наступні види:
а) ризик недостатньої сегментації ринку, що найчастіше виникає при розробці і впровадженні нових товарів і послуг високого якості і високій вартості, у результаті чого передбачувані споживачі не зможуть їх купити, а це у свою чергу впливає на обсяги реалізації нових виробів
б) ризик помилкового вибору цільового сегмента ринку, що виникає коли попит на нововведення на обраному сегменті виявляється нестабільним чи на даному сегменті ринку потреба в нововведенні недостатньо сформувалася, якщо обраний сегмент ринку, де потреба в нововведенні оцінена чи невірно потреба в нововведенні обмежена й ін.
б) ризик помилкового вибору стратегії продажів нововведення через невдалу організацію мережі збуту і системи просування нововведення до споживача
в) ризик проведення неефективної реклами нових товарів і послуг або товарів з удосконаленими характеристиками;
- ризики невиконання господарських договорів (контрактів) бувають:
а) ризик відмовлення партнера від висновку договору після проведення переговорів (у разі потреби зміни попередніх умов контракту й у випадку несумлінності партнера)
б) ризик висновку організацією договорів на умовах або відрізняючихся від найбільш прийнятних, або звичайних для організацій даної галузі (у разі потреби для виконання проекту унікальної сировини, чи матеріалів комплектуючих виробів, кількість постачальників яких обмежено, і у випадку, коли організація не має достатнього досвіду, постійних і перевірених партнерів і достатньої гнучкості, що дозволяють їй укладати більш складні контракти на вигідних умовах)
в) ризик висновку договорів (контрактів) з недієздатними чи неплатоспроможними партнерами (контрагентами)
г) ризик невиконання партнерами договірних зобов'язань у встановлений термін, у результаті чого виникають втрати організації, зв'язані з порушенням графіків постачань, невиконання партнерами робіт, необхідних для здійснення інноваційного проекту
- ризик нанесення збитку третім обличчям, що містить у собі ризик забруднення навколишнього середовища і ризик заподіяння морального і матеріального збитку громадянам при здійсненні інноваційного проекту;
- ризики виникнення непередбачених витрат і зниження доходів;
- ризики посилення конкуренції за наступних причин:
1) витік конфіденційної інформації або з вини співробітників організації, або в результаті промислового шпигунства, початого конкурентами
2) недосконалість маркетингової політики, тобто неправильний вибір ринків збуту і неповна інформація про чи конкурентів відсутність достовірної інформації про конкурентів
3) уповільнене впровадження нововведень у порівнянні з конкурентами через відсутність необхідних засобів для проведення НИР, упровадження нових технологій, освоєння виробництва нових високоякісних і конкурентних товарів
4) несумлінність конкурентів (використання методів несумлінної конкуренції)















