63239 (588918), страница 7
Текст из файла (страница 7)
де і - число врахованих показників;
KBi- коефіцієнт вагомості i-ro показника;
і - відносна оцінка одиничних показників якості.
Відносні оцінки одиничних показників якості знаходимо по формулах:
якщо збільшення i-ro показника (Рі) веде до поліпшення нового приладу;
якщо збільшення і-го показника веде до погіршення.
Коефіцієнт вагомості i-ro показника пристрою розраховують методом розміщення пріоритетів [18], відповідно до якого пріоритет одного показника якості пристрою перед іншим встановлює експертна комісія, що добре знає про область застосування й умови експлуатації пристрою.
Основні технічні характеристики розроблювального і базового приладів приведені в табл. 4.2.
Таблиця 4.2
Основні технічні характеристики розроблювального і базового приладів
| № | Показники | Індекс | Базовий | Новий |
| 1 | Подвоєна частота розгорнення 100 Гц | Х1 | Є | Є |
| 2 | Прийом супутникового телебачення | Х2 | Немає | Є |
| 3 | Мульті- картинка в картинці | Х3 | Немає | Є |
| 4 | Номінальна вихідна потужність | Х4 | 30 Вт | 20 Вт |
| 5 | Кількість запам'ятовуваних каналів | Х5 | 230 | 300 |
| 6 | Кількість pозпызнаваємих стандартів | Х6 | 4 | 8 |
Експертам пропонується порівняти всі показники між собою. При цьому оцінюється тільки перевага одного показника над іншим. Кожному знаку відповідає визначений коефіцієнт переваги, а саме:
“<” - 0 5;
”>” - 15;
“=” - 1,0.
Підсумкова оцінка визначається як переважна серед усіх п'яти експертів. Результати порівнянь показників приведені в табл. 4.3.
Таблиця 4.3
Оцінка експертів
| Показники | Оцінки експертів | Підсумкова Оцінка | Чисельне Значення | ||||
| 1 | 2 | 3 | 4 | 5 | |||
| X1-X2 | > | < | > | = | < | = | 1,0 |
| X1-X3 | > | > | < | > | > | > | 1,5 |
| X1-X4 | < | = | = | > | = | = | 1,0 |
| X1-X5 | > | = | > | > | > | > | 1,5 |
| X1-X6 | > | > | > | > | = | > | 1,5 |
| X2-X3 | > | > | > | > | > | > | 1,5 |
| X2-X4 | > | > | > | > | > | > | 1,5 |
| X2-X5 | > | > | > | > | > | > | 1,5 |
| X2-X6 | > | > | > | > | > | > | 1,5 |
| X3-X4 | > | = | < | = | < | < | 0,5 |
| X3-X5 | < | < | = | > | < | < | 0,5 |
| X3-X6 | = | > | > | > | > | > | 1,5 |
| X4-X5 | < | < | = | > | < | < | 0,5 |
| X4-X6 | > | > | = | > | < | > | 1,5 |
| X5-X6 | < | < | < | < | < | < | 0,5 |
На підставі прийнятої системи порівнянь складаємо квадратну матрицю (табл. 4.4) розрахунку коефіцієнта важливості технічних характеристик.
Таблиця 4.4
Розрахунок коефіцієнта важливості технічних характеристик
| Порівняння Показників | Х1 | Х2 | Х3 | Х4 | Х5 | Х6 | Перша ітерація | Друга ітерація | ||||
| bi | KBi | bi’ | KBi’ | |||||||||
| Х1 | 1 | 1 | 1,5 | 1 | 1,5 | 1,5 | 7,5 | 0,202 | 44,75 | 0,209 | ||
| Х2 | 1 | 1 | 1,5 | 1,5 | 1,5 | 1,5 | 8 | 0,217 | 47,25 | 0,221 | ||
| Х3 | 0,5 | 0,5 | 1 | 0,5 | 0,5 | 1,5 | 4,5 | 0,122 | 25,22 | 0,118 | ||
| Х4 | 1 | 0,5 | 1,5 | 1 | 0,5 | 1,5 | 6 | 0,162 | 34,25 | 0,159 | ||
| Х5 | 0,5 | 0,5 | 1,5 | 1,5 | 1 | 0,5 | 6,5 | 0,175 | 42 | 0,196 | ||
| Х6 | 0,5 | 0,5 | 0,5 | 0,5 | 1,5 | 1 | 4,5 | 0,122 | 20,75 | 0,097 | ||
| Сума | 36 | 1 | 214,25 | 1 | ||||||||
С
тупінь пріоритету кожного показника KBi розраховується по формулі [18]:
де bi - питома вага i-ro показника за результатами експертних оцінок.
де aij - числове значення коефіцієнта переваги;
Відносну оцінку в другому і наступному кроках розраховуємо по формулах:
де bj' - результат перемножування матриці bі на квадратну матрицю . Результати розрахунків зведені в табл.4.4.
Знаходимо відносні оцінки одиничних показників якості:
1=1
2=1,5
3=1,5
4=30/20=1,5
5=1,304
6=2
Рівень якості виробу визначаємо як суму добутків коефіцієнта важливості і-го показника і відношення і-тих показників по новому і базовому виробах відповідно до таблиці 4.4.
Кту = 1.0,209+1,5.0,221+1,5.0,118+1,5.0,159+1,304.0,196+1,304.0,097 = 1,25.
4.3 Розрахунок собівартості
Виходячи з того, що розроблювальні блоки складають 20 % від усього пристрою, будемо розраховувати вартість усього пристрою по формулі:
де С - вартість усього пристрою;
Срб - вартість розроблювального блоку;
К- коефіцієнт, (К = 0,20).
Розрахунок будемо робити поетапно, через обчислення усіх витрат і витрат на виготовлення пристрою.
Витрати на придбання матеріалів по кожному найменуванню визначаємо виходячи з технічної норми витрати й оптової ціни одиниці. Розрахунок зводимо в табл. 4.5.
Таблиця 4.5
Витрати на придбання матеріалів
| № п/п | Найменування матеріалу | Стандарт, Марка | Оди- ниця вимі- ру | Витрата На Виріб | Ціна за Одиницю, грн | Сума, грн |
| 1. | Стеклотексто- Лит | СФ-2-35-1.5 ГОСТ10316-78 ДСТ10316-78 | кг | 0,08 | 40 | 3,2 |
| 2. | Змивка | ГОСТ1 1521-77 | л | 0,05 | 5 | 0,25 |
| 3. | Припой | ПОС-61 ГОСТ2 193 1-76 | кг | 0,6 | 8 | 4,8 |
| 4. | Флюс ФКТС | 84.406.732ТУ | л | 0,015 | 50 | 0,75 |
| 5. | Провід монТажнйй | ПГН-8 16.305.431ТУ | м | 3,5 | 0,5 | 1,75 |
| 6. | Лак УР-231 | ТУ6-10-863 | л | 0,02 | 9 | 0,18 |
| 7. | Хлорне залізо | ГОСТ14562-77 | кг | 0,05 | 20 | 1 |
| Разом | 11,93 | |||||
| 8. | Невраховані матеріали (10 %) | 1,2 | ||||
| 9. | Транспортно-заготівельні витрати (5 %) | 0,6 | ||||
| Повна вартість матеріалів | 13,73 | |||||
Витрата припоя визначена як на 3000 пайок по 0,0002 кг. Усі приведені ціни є договірними. Витрати на покупні вироби і напівфабрикати визначаються аналогічно витратам на матеріали. Дані для розрахунків і результати зведені в табл. 4.6. Оскільки витрата покупних виробів установлюється безпосередньо за схемою принциповою електричною, то в таблицю вводиться стаття «Технологічні відходи». Оптова знижка передбачає зниження ціни організацією-продавцем при покупці партії радіоелементів, і її величина віднімається з загальної суми вартістей комплектуючих .
О
сновна заробітна плата виробничих робітників включає тарифну зарплату і преміальні надбавки. Тарифна зарплата визначається по наступній формулі:
де CTi - годинна тарифна ставка,
tШi - нормативна трудомісткість.
На етапі обчислення основної заробітної плати використаний метод укрупненого розрахунку [18]. Його суть полягає в тім, що трудомісткість виготовлення пристрою визначається по трудомісткості розроблювального вузла виробу.
Таблиця 4.6
Калькуляція витрат
| № п/п | Вироб чи напівфабрикат | Марка | Кіл-сть, шт | Ціна за одиницю, грн | Сума, грн |
| 1. | Конденсатори | ВС components, Mu-rata | 76 | 0,8 | 6 |
| 2. | Резистори | ВСS | 10 | 0,15 | 1,5 |
| 3. | Діоди | КД510А | 2 | 0,25 | 0,5 |
| 4. | Індуктивності | Murata | 2 | 0,3 | 0,6 |
| 5. | Кварци | ВСComponents | 5 | 4 | 20 |
| 6. | Мікросхеми | SAA4955TJ | 2 | 15 | 30 |
| SAA4991WP | 1 | 34 | 34 | ||
| SAA4977 | 1 | 40 | 40 | ||
| TDA9178 | 1 | 12 | 12 | ||
| TDA9321H | 2 | 19 | 38 | ||
| SAA4961 | 2 | 7 | 14 | ||
| ADG715 | 2 | 6 | 12 | ||
| TDA9330H | 1 | 24 | 24 | ||
| TDA6111Q | 3 | 10 | 30 | ||
| SAB9077H | 1 | 22 | 22 | ||
| 7. | Кінескоп | Black Line S UF | 1 | 750 | 750 |
| 8. | Оптова скидка (20%) | 206,8 | |||
| 9. | Транспортно заготівельні витрати (5%) | 51,7 | |||
| 10. | Технологичні відходи (2%) | 20,68 | |||
| Всього | 899,58 | ||||
Результати розрахунку основної зарплати робітників, що виконують монтаж плати тракту обробки відеосигнала зведені в табл. 4.7.
Таблиця 4.7
Розрахунку основної зарплати робітників
| № п/п | Наименование работ | Тарифнаставка, грн | Трудо- ємність, год | К-сть, шт | Сума, грн |
| 1. | Підготовка печатной плати | 3,25 | 0,0014 | 25 | 0,113 |
| 2. | Підготовка R, С до монтажу. | 4,56 | 0,0015 | 75 | 0,513 |
| 3. | Монтаж R, С. | 5,32 | 0,0017 | 75 | 0,678 |
| 4. | Підготовка VT до монтажу. | 4,56 | 0,002 | 1 | 0,009 |
| 5. | Монтаж транзисторів. | 5,32 | 0,002 | 1 | 0,010 |
| 6. | Підготовка ІМС до монтажу. | 5,32 | 0,01 | 25 | 1,33 |
| 7. | Монтаж ІМС. | 6,72 | 0,008 | 25 | 1,344 |
| 8. | Очищення плати посля монтажу. | 3,25 | 0,025 | 25 | 2,031 |
| Всього | 6,031 | ||||
Знаходимо основну заробітну плату робітників при виготовленні всього пристрою.
де ЗО инт - основна зарплата робітників по монтажі плати тракту обробки сигналу зображення;
к=0,2 - питома вага кількості елементів тракту обробки відеосигналу,
γ=0,2 - питома вага монтажних робіт для дрібносерійного виробництва.
ЗО=6,031/(0,2·0,2) = 150,775 грн.
Додаткова зарплата робітників визначається у відсотках від основної зарплати [18]. Величина нормативу додаткової зарплати приймається за даними підприємства, на якому передбачається виготовлення даного приладу ( звичайно 30-40% ). З огляду на, що випуск телевізійного приймача буде здійснюватися невеликими серіями, приймемо 40 %.
ЗД = 0,4.150,775=60,31 грн.
Відрахування на соціальне страхування визначаються у відсотках від суми основної і додаткової заробітної плати і складають 37,5%.
ОС=(ЗО+ЗД).0,375=(150, 775+60,31 ).0,375=79,15грн.
Загальвиробничі витрати - це витрати на відшкодування зносу інструмента і пристосувань цільового призначення, витрати на утримування і експлуатацію обладнання, при розрахунках собівартості проектованих виробів, включаються в загальвиробничі витрати. Ці витрати визначають по діючому на підприємстві нормативу. Звичайно 200 - 300 % від основної заробітної плати. Приймемо 200 %.
РП = ЗО·2 = 150,775·2 = 301,55грн.
Загальногосподарські витрати, так само як і загальвиробничі витрати, визначаються по діючому на підприємстві нормативу в межах 100- 200% . Приймемо 120% .
РО=ЗО·1,2=150,775.1,2=180,93 грн.
Для обчислення повної собівартості необхідне значення вневиробничих витрат, що обчислюється як 0,5 - 2 % від загальногосподарської собівартості. Приймемо 1,5 %. Числове значення обчислимо безпосередньо при заповненні калькуляції собівартості в табл.4.8.
Таблиця 4.8
Калькуляція по статтях витрат
| № | Статті витрат | Сума, грн | Питома вага, % |
| 1. | Матеріали основні | 13,73 | 0,79 |
| 2. | Покупні вироби | 899,58 | 52,35 |
| 3. | Основна зарплата, Зр | 150,775 | 8,77 |
| 4. | Додаткова зарплата, Зд | 60,31 | 3,5 |
| 5. | Нарахування на зарплату, ОС | 79,15 | 4,6 |
| 6. | Загальвиробничі витрати, Рп | 301,55 | 17,5 |
| Всього загальвиробнича собівартість | 1518,825 | 88,38 | |
| 7. | Загальногосподарські витрати, Ро | 180,93 | 10,5 |
| Разом загальногосподарська собівартість | 1699,755 | 98,91 | |
| 8. | Вневиробничі витрати | 18,59 | 1,09 |
| Повна собівартість, СПОВ | 1719 | 100 |
4.4 Визначення ціни
4.4.1 Визначення ціни виготовлювача
При визначенні оптової ціни будемо враховувати, що рівень рентабельності підприємств радіоелектронної промисловості дорівнює 20%.
ЦВИР=СПОВ(l +РН/100).(1 +ПДВ/100),
де РН- рівень рентабельності, ПДВ = 0,2.
ЦВИР= 1718,34.1,2.1,2=2475грн.
Таким чином, вартість усього пристрою складає 2475 грн або $441 (за курсом на 20.01.2001 $1=5,6грн)
4.4.2 Визначення лімітної ціни
ЦЛІМ = Ц · Кту · Ку,
де Ц - ціна базового приладу ( вартість телевізора Philips GTV 400 плюс вартість цифрового супутникового тюнера буде дорівнює 2900+1967,1 =4350,5грн);
КТУ - рівень якості розробленого пристрою;
КУ - коефіцієнт здешевлення (КУ = 0,9).
Розраховуємо лімітну ціну:
ЦЛІМ = 3867,11.1,25.0,9=4351 грн,
що складає за курсом долара $778.
У результаті зроблених у даній главі розрахунків, були отримані чисельні дані собівартості проектованого телевізійного пристрою, його коефіцієнта технічного рівня, ціни виготовлювача і споживача. Дані свідчать про економічну вигоду і доцільність виробництва такого пристрою.
Ринкова вартість лежить у межах:
ЦВИР < ЦРИН < ЦЛІМ
2475 грн < ЦРИН < 4351 грн.
Приймемо за ринкову ціну 3000 грн.
Результати розрахунків зводимо в табл. 4.9:
Таблиця 4.9
Результати розрахунків Розроблювальне
| Найменування | Розроблювальний пристрій | Аналог | |
| 1. | Рівень якості | 1,25 | 1,0 |
| 2. | Собівартість, грн | 1718 | 2700 |
| 3. | Ціна виготовлювача, грн | 2474 | 3500 |
| 4. | Ринкова ціна, грн | 3000 | 4350 |
5 ОХОРОНА ПРАЦІ
У даному дипломному проекті розроблений телевізійний приймач з можливістю прийому сигналів у форматі MPEG-2, виконаний на декількох печатних платах. Одним з етапів виготовлення пристрою є монтаж радіоэлементів на друковану плату. Монтажно-складальні операції у виробництві радіоелектронної апаратури складають 30-50% усіх робіт. Задачею даного розділу є розгляд умові праці й охорони праці, а також заходів щодо забезпечення безпеки праці на робочому місці при монтажі печатних плат .
Для аналізу умов праці розглянемо робоче місце інженера-конструктора на стадії експериментальної зборки пристрою. Розглянемо питання забезпечення охорони праці стосовно до реально існуючого приміщення, у якому виробляється монтаж апаратури в процесі проектування пристрою. Розглянуте приміщення знаходиться в будинку СКБ інституту Кибернетики АНУ ім. Глушкова В.М.
Розміри: 4х5х3 м. Освітлення: природне, через віконний проріз, штучне і місцеве. Вентиляція - природна (загальна) і штучна (місцева витяжна). У приміщенні знаходиться чотири робочих місця. Площа приміщення - 20 м2. Обсяг приміщення - 60 м3.
Приведені вище значення відповідають санітарним нормам СН 245-71: на одного робітника приходиться площі приміщення більш 4 м2, а по обсязі - 15 м3.
5.1 Аналіз умов праці
5.1.1 Повітряне середовище робочої зони
Стан повітряного середовища визначається виробничим мікрокліматом, що характеризується температурою повітря, вологістю, відносною й абсолютною швидкістю руху повітря, тиском. Відповідно до ГОСТ 12.1.005-88 установлюються припустимі й оптимальні метеорологічні умови для робочої зони, при виборі яких враховується час року (теплий, >100С, холодний, < 100С) і категорія робіт (для даного виду робіт- категорія I-a до 120 ккал/ч). Категорія I-a - легені фізичні роботи, виконувані сидячи.
Для легких робіт (категорія I-a) ГОСТом 12.1.005-88 «Воздух рабочей зоны. Общие санитарно-гигиенические требования» установлені наступні нормативні значення метеорологічних умов ( табл. 5.1 ).
Таблиця 5.1
Повітря робочої зони. Загальні санітарно-гігієнічні вимоги
| Період року | Температура, °С | Відносна вологість, % | Швидкість руху повітря, м/с | |||
| Оптим. | Допуст. | Оптим. | Допуст. | Оптим. | Допуст. | |
| Хол. | 22-24 | 21-25 | 40-60 | 75 | 0,1 | не більш 0,1 |
| Тепл. | 23-25 | 22-28 | 40-60 | 55 | 0,1 | 0,1 -0,2 |
При монтажі плат застосовується пайка. Для пайки використовують олов'яно-свинцевий припой ПОС-40 і ПОС-60. При цьому пари свинцю проникають у повітряне середовище приміщення. відповідно до вимог санітарії в повітрі робочої зони виробничих приміщень установлюється ГДК (гранично-допустима концентрація), мг/м3 шкідливих речовин. ГДК парів свинцю в повітрі 0,01 мг/м3.
Для промивання плат використовують суміш спирту й ацетону. Концентрація спирту в повітрі не повинне перевищувати 400 мг/м3.
Значення ГДК шкідливих речовин приведені в табл. 5.2.
Таблиця 5.2
Значення ГДК шкідливих речовин
| Шкідливі Речовини | Біологічне дія | Клас Небезпеки | ГДК, Мг/м3 |
| Компоненти припоя (ПОС-40,60, ПОСм, ПОСс). | |||
| Свинець | Соматичний розлад нервової системи, поразка крові, сердечно-судинної системи. | 1 | 0,01 |
| Олово | Задушливе і дратівне дія поразка бронхів, набрячна реакція легень. | 3 | 10 |
| Компоненти флюсу. | |||
| Каніфоль соснова | Дратівна і наркотична дія При тривалому впливі викликає дерматит. | 4 | 80-1000 |
| Компоненти миючих речовин. | |||
| Ацетон | Наркотична дія | 4 | 200 |
| Спирт етиловий | Має наркотичну дію. викликає зміни печінки, сердеч- но судинної і нервової системи. | 4 | 400 |
| Бензин | Наркотична дія | 4 | 400 |
5.1.2 Освітлення
При освітленні виробничих приміщень використовують природне освітлення, створюване світлом неба (пряме і відбите), штучне, здійснюваними електричними лампами, і сполучене, при якому у світлий час доби недостатнє по нормах природне освітлення доповнюється штучним [21]
У розглянутому приміщенні природне освітлення здійснюється через вікна в стінах, при цьому бічне освітлення створює значну нерівномірність у освітленні ділянок, розташованих поблизу від вікон і удалині від них. Через цей недолік, а також через недостачу природного освітлення, необхідно використовувати штучне освітлення. На необхідність використання штучного освітлення впливає той фактор, що вікна приміщення виходять на захід, і, освітленість приміщення значно змінюється зі зміною часу року.
Згідно СНиП 23-05-95 «Природне і штучне освітлення» на ділянках виготовлення печатних плат передбачається установка пристрою комбінованого освітлення, з оптимальною освітленістю 300 лк. Ця освітленість відповідає зоровим роботам високої точності з найменшим об'єктом розходження від 0,5 до 1 мм для ІІІ-pазpядa зоpових робіт.
Фактичні значення на розглянутому робочому місці КЕО= 1,12 %, Е=290 Лк.
5.1.3 Шум
Шумом прийнято називати всякий небажаний для людини звук, що заважає сприйняттю корисних сигналів [21]. Шум являє собою безладне сполучення звуків різної інтенсивності і частоти. Шум робить шкідливий вплив на весь організм і, у першу чергу, на центральну нервову систему і серцево-судинну систему.
Коливання, сприймані органом слуху людини як звук, лежать приблизно в межах 20...20000 Гц. Ці границі не однакові в різних людей і залежать від віку людини і стану його слухового апарата. Основними фізичними параметрами звуку є: інтенсивність, звуковий тиск і частота коливань.
Шуми підрозділяються на широкоcмугові з неперервним спектром шириною більш однієї октави і тональні, у спектрі яких маються чутні дискретні тони. По тимчасових характеристиках шуми підрозділяються на постійні, рівень яких за робочий день змінюється в часі не більше ніж на 5 дБ, і непостійні, рівень яких змінюється в часі більш ніж на 5 дБ. Непостійні шуми підрозділяються на: коливні, переривчасті й імпульсні.
Вимір шуму на робочих місцях роблять відповідно до ГОСТ 20445-75 і ГОСТ 23941-79.
Загальні вимоги безпеки шуму передбачаються ГОСТ 12.1.003-83. Припустимі рівні звукового тиску в октавних смугах, рівні звуку на робочих місцях приведені в табл. 5.3.
Таблиця 5.3
Загальні вимоги безпеки шуму
| Робоче місце | Рівні звукового тиску, дБ в октавних смугах із середньо геометричними частотами в Гц | Рівень звуку, ДБ | ||||||||
| 63 | 125 | 250 | 500 | 1000 | 2000 | 4000 | 8000 | |||
| Монтажна | 99 | 92 | 86 | 83 | 80 | 78 | 76 | 74 | 85 | |
Основними джерелами шуму в приміщеннях, призначеним для монтажно-збиральних робіт є шум від витяжного пристрою. Виміри показали, що рівні шуму в досліджуваному приміщенні відповідають припустимим значенням і складає 60 дБ.
5.1.4 Вібрація
Вібрація - це складний коливальний процес, що виникає при періодичному зсуві центра ваги якого-небудь тіла від положення рівноваги, а також при періодичній зміні форми тіла, що воно мало в статичному стані [21] . Основними параметрами, що характеризують вібрацію, що діє по синусоїдальному законі, є: амплітуда зсуву, коливальна швидкість, коливальне прискорення, частота. При частоті більшої 16...20 Гц вібрація супроводжується шумом. Класифікація вібрації, гігієнічні норми вібрації і загальні вимоги до неї розглядаються в ГОСТ 12.1.012-78.
5.2 Розробка заходів щодо охорони праці
5.2.1 Організація робочого місця
При організації робочого місця монтажника необхідно в першу чергу враховувати фізіологічні можливості людини для створення оптимальних умов праці, що сприяють підтримці його працездатності, підвищенню продуктивності праці [21] . Робоче місце монтажника можна розглядати як сукупність трьох головних елементів: робочої зони (РЗ), робочого положення (РП) і робочого сидіння (РС).
Робоча зона включає частину виробничого простору, у якій монтажник здійснює робочий рух. РЗ має визначені оптимальні розміри, встановлені або експериментальним шляхом, або за допомогою антропометричного виміру людини.
Оптимальне робоче положення створюється в тому випадку, коли ока мають найкращі умова огляду, тіло знаходиться в найбільш зручному положенні і кількість робочих рухів зведено до мінімуму .
Зручність посадки при роботі забезпечується положенням спини, при якому її м'язи розвантажені рівномірним розподілом маси тіла по поверхні сидіння і зручністю розташування ніг .
Крім вимог, пред'являемих до зазначених елементів, так само пред'являються вимоги до обмеження шкідливого впливу на функціональний стан і працездатність організму таких факторів, як склад повітря, метеорологічні умови і освітлення [21] .
З врахуванням усіх перелічених вимог, а також шкідливого впливу компонентів, що входять до складу припоя і флюсу, організують робоче місце монтажника.
5.2.2 Розрахунок кількості шкідливих речовин, що виділяються в робочу зону при паянні
В
изначимо концентрацію пар свинцю для приміщення обсягом Vпом = 60 м3, з кількістю робочих місць N = 4, тривалість зміни t = 8 г по наступній формулі:
де q - питоме утворення парів свинцю
n- кількість пайок у хвилину (приймаємо n = 15).
Виходячи з цього, одержуємо:
З
цього видно, що концентрація свинцю в повітрі робочої зони сильно (у 9,6 рази) перевищує ПДК. У даному випадку необхідне створення місцевої вентиляції.
Для того щоб уловлювати шкідливі речовини в місцях їхнього виділення, не допускаючи їхнього поширення по приміщенню, використовують місцеву вентиляцію [21]. Задачею вентиляції є забезпечення чистоти повітря і заданих метеорологічних умов у виробничих приміщеннях. Така вентиляція і буде використана на робочому місці монтажника для уловлювання парів свинцю, спирту, ацетону.
Концентрація свинцю в повітрі перевищує ПДК, отже, необхоідна місцева витяжна вентиляція, що виконаємо у виді місцевих отсосів. Кількість повітря, який необхідно видалити, визначаємо по формулі:
Де F о - площу отсоса, від якого необхідно видалити повітря;
U - швидкість повітря у витяжному отсосі, величина якого підбирається в залежності від типу витяжного пристрою і характеру шкідливих речовин, м/с.
Приймаємо U = 0,7 м/с, ширина отсосів 0,5 - 0,8 м, висоту вибираємо з розумінь зручності вироблених робіт - h = 0,1 м [21].
Знаходимо Fо = 0,1.0,5 = 0,05 м2 .
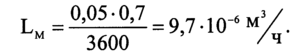
Звідси:
Таким чином, місцева вентиляція повинна забезпечувати видалення 9, 7 ·10-6 м3 забрудненого повітря в годину.
Для забезпечення заданих метеорологічних умов у цеху по монтажі буде використана загальна вентиляція.
Розрахувати необхідну кількість повітря можна, застосовуючи метод розрахунку по кратності повітрообміну:
де К - кратність повітрообміну, показує скількох разів у годину міняється повітря в приміщенні, l/год;
Vпом- обсяг приміщення (цеху), м3.
Коефіцієнт К в залежності від розмірів приміщення приймає значення від 1 до 10 для приміщення, обсяг якого дорівнює 60 м3 вибираємо К = 1.
Отримуємо:
По аеродинамічних характеристиках підбираємо вентилятор, щоб він забезпечував заданий повітряобмін.
5.2.3 Електробезпечність
Для захисту від електротравм у приміщенні використовуємо сховану, добре заізольовану електропроводку. Розподіл енергії здійснюється за допомогою розподільного щита з ізольованими кабелями і розетками, що виключають можливість короткого замикання [21]. Розподільний щит має запобіжники, що спрацьовують при критичному режимі роботи. На кожному робочому місці необхідна наявність гумового коврика. Персонал, що обслуговує пристрій зобов'язаний пройти навчання безпечним методам роботи на робочому місці і перевірку знань правил техніки безпеки.
У даному робочому приміщенні монтажник працює з паяльником і контрольно-вимірювальним обладнанням, що підключається до однофазної мережі з заземленої нейтралью з напругою 220 в і частотою 50 Гц. З цієї причини існує небезпека поразка людини перемінним струмом напруги 220В.
У даній мережі нейтраль джерела струму (чи генератора трансформатора) приєднана до заземлення за допомогою заземлюючого провідника . Цей заземлювач розташовується поблизу джерела живлення (в окремих випадках) біля стіни будинку, у якому він знаходиться. Ефективним заходом захисту в даному випадку є захисне занулення.
Захисне занулення - це навмисне електричне з'єднання з нульовим захисним провідником металевих неструмоведучих частин, що можуть виявитися під напругою (ГОСТ 12.1.009-76). Захисна дія зануления здійснюється тим, що при замиканні однієї з фаз на зануленный корпус у колі цієї фази виникає струм короткого замикання, що впливає на струмовий захист (плавкий запобіжник, автомат), у результаті чого відбувається відключення аварійної ділянки від кола. Таким чином, занулення зменшує напругу дотику й обмежує час, протягом якого людина, торкнувшись до корпуса, може потрапити під дію напруги.
ГОСТ 12.1.038-82 установлює гранично припустимі рівні напруг дотику (В), і струмів (мА), що протікають через тіло людини, призначені для проектування способів і засобів захисту людей при взаємодії з електроустановками виробничого і побутового призначення постійного і змінного струму частотою 50 і 400 Гц. Припустимі рівні при аварійному режимі електроустановок напругою до 1000В з глухо заземленої чи ізольованою нейтралью приведені в табл. 5.4.
Таблиця 5.4
Припустимі рівні струму при аварійному режимі електроустановок
| Рід струму | Гранично припустимі рівні струму (мА) при заданому часі протікання струму t, c | ||||||||||
| <0,1 | 0,1 | 0,2 | 0,3 | 0,4 | 0,5 | 0,6 | 0,7 | 0,8 | 0,9 | 1,0 | |
| Перемінний 50 Гц | 650 | 500 | 250 | 165 | 175 | 100 | 85 | 70 | 65 | 55 | 50 |
| Постійний | 650 | 500 | 400 | 350 | 300 | 250 | 240 | 230 | 220 | 210 | 200 |
| Випрямлений | 650 | 500 | 400 | 300 | 270 | 230 | 220 | 210 | 200 | 190 | 180 |
На підставі ПУЭ-85 дане приміщення по ступені небезпеки поразки електричним струмом відноситься до класу приміщень без підвищеної небезпеки поразки електричним струмом, так як умови, що створюють підвищену небезпеку поразки електричним струмом ( вологість, струмоведучий пил, висока температура, можливість одночасного торкання до струмоведучих частин і заземлення) відсутні .
Споживачами енергії в основному є освітлювальні прилади, електропаяльники і вимірювальні прилади. Електропроводка в приміщенні схованого типу, тому випадкове торкання проводів з напругою 220 В виключено, за умови дотримання правил техніки безпеки. Світильники кріпляться до стелі на висоті 3 метрів, що відповідає нормі (2,5 м). Вимикачі штучного освітлення ізольовані струмонепровідним облицюванням.
По способу захисту людини від поразки електричним струмом розроблювальний прилад відноситься до категорії електроустановок, що працюють під напругою до 1000 В.
Поразка електричним струмом може відбутися в результаті несправних розеток і вилок електропаяльника, а також пристроїв місцевого освітлення, короткого замикання.
5.2.4 Заходи для забезпечення пожежної безпеки
При гасінні пожеж найбільше поширення одержали наступні принципи припинення горіння [21] :
1) Ізоляція вогнища горіння від повітря чи зниження шляхом розведення повітря непальними газами концентрації кисню до значення, при якому не може відбуватися горіння;
2) Охолодження вогнища горіння нижче визначених температур;
З) Інтенсивне гальмування (інгібірованіє) швидкості хімічної реакції в полум'ї;
4) Механічний зрив полум'я в результаті впливу на нього сильного струменя газу чи води;
5) Створення умов вогнеперешкодження,тобто таких умов, при яких полум'я поширюється через вузькі канали.
Приміщення, де виробляється монтаж друкованих плат відноситься по пожежній безпеці до категорії В по ОНТП 24-86 і зоні П-I по ПУЭ.
Категорія В – пожаронебезпечні; до цієї категорії відносяться приміщення, у яких застосовуються рідини з температурою спалаху вище 61ОС і горючі пили чи волокна, нижня межа запалення яких більш 65 г/м3, тверді спаленні речовини і матеріали, здатні тільки горіти, але не вибухати при контакті з повітрям, чи водою один з одним.
Пожежа при монтажі може виникнути в результаті короткого замикання. Джерелами запалювання можуть стати джерела місцевого освітлення, а також розігрітий паяльник у результаті наявності пальних речовин, таких як спиртобензинова суміш, ацетон. Причини виникнення пожежі наступні:
1) Порушення режимних вимог;
2) Несправність і неправильна експлуатація електропаяльників і пристроїв місцевого освітлення;
З) Порушення працюючими технологічних інструкцій.
Весь обслуговуючий персонал проходить періодичний інструктаж з техніки безпеки. На випадок пожежі в приміщенні обов'язкова наявність запасних евакуаційних виходів. У таких приміщеннях не можна застосовувати для гасіння пожежі воду, так як вода має значну електропровідність. У цьому випадку застосовують вуглекислі вогнегасники ОУ-8. У якості пожежних сповіщателів використовуються теплові (ДТЛ, ДПС-ОЗ8 і ін.). для оповіщення про пожежу в приміщенні мається телефон загального користування і табличка з номерами телефонів.
У коридорі установлюється внутрішній пожежний кран для гасіння пожежі за допомогою води.
















