49300 (588637), страница 5
Текст из файла (страница 5)
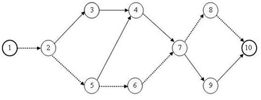
Обозначим i – время выполнения работы i, Tp(i) – раннее время начала работы i, Tп(i) – позднее время начала работы i. Тогда
Tp(i) = max(Tp(j)+tj) (1)
где j – множество работ, непосредственно предшествующих работе i. Раннее время начальной работы проекта принимается равным нулю.
Поскольку последняя работа проекта – это веха нулевой длительности, раннее время ее начала совпадает с длительностью всего проекта. Обозначим эту величину T. Теперь T принимается за позднее время начала последней работы, а для остальных работ позднее время начала вычисляется по формуле:
Tп(i) = max(Tп(j) – tj) (2)
Здесь j – множество работ, непосредственно следующих за работой i. Схематично вычисление раннего и позднего времени выглядит так (рисунок 12,13).
Рисунок 12 Вычисление раннего времени начала работ
Рисунок 13 Вычисление позднего времени начала работ
Основываясь на этих данных получаем, что критический путь проекта равен 39 дней (рисунок 14)
Рисунок 14 Критический путь
Построение календарного графика для проекта «Разработка программного комплекса» будет проходить по следующей схеме. Прежде всего нужно определиться с ресурсами, которые будут использоваться этим проектом. Предположим, что в качестве ресурсов выступают только исполнители, и они распределены между работами согласно таблице 3.
Календарный график (диаграмма Ганта) изображен на рисунке 15, где ромбиками обозначены вехи, сплошными линиями – продолжительность работ, сплошными линиями со стрелками – резерв времени работ, пунктирными линиями – связь между окончанием предшествующих и началом последующих работ[11].
Рисунок 15 Диаграмма Ганта
Данный график посвящен работам и их взаимосвязи, на рисунке 16 изображено, как загружены ресурсы. На основании диаграммы Ганта может быть построен график загруженности ресурсов. Этот график показывает процент загрузки конкретного трудового ресурса в ходе выполнения проекта. По оси абсцисс откладывается временной интервал проекта, а по оси ординат – суммарный процент загруженности исполнителя по всем задачам проекта, которые он выполняет в текущий момент времени.
Обычно исполнитель целиком занят решением некоторой задачи и по ее завершении переходит к следующей. Это соответствует 100% загрузки. Однако, в некоторых случаях он может быть параллельно задействован в 2 или более задачах, выделяя для их решения часть рабочего времени. Например, две задачи по 50% каждая, то есть по половине рабочего дня на задачу. График загруженности ресурса позволяет в этом случае контролировать суммарную занятость исполнителя и выявить возможные периоды перегрузки, когда ему запланировано больше работы, чем он может выполнить в течение рабочего дня. Об этом свидетельствует суммарная загруженность более 100%.
Рисунок 16 Загруженность ресурсов
Ресурс – это трудовая, материальная, финансовая, техническая или иная единица, которая используется для выполнения задач проекта. В Microsoft Project ресурсы могут быть трех видов.
-
Трудовые – это работники или коллективы, выполняющие запланированные в рамках проекта работы.
-
Материальные – материалы, которые потребляются при выполнении работ проекта.
-
Затратные – различные виды денежных расходов сопряженных с работами проекта, которые напрямую не зависят от объема, длительности работ и потребляемых ими трудовых или материальных ресурсов. Например, стоимость железнодорожных или авиационных билетов, командировочные расходы и т.п.[9].
Основными характеристиками трудового ресурса являются.
-
График доступности. Задает периоды времени, когда ресурс может быть задействован для выполнения работ проекта. Этот график может учитывать отпуска, командировки, занятость ресурса в других проектах и т.п.
-
Индивидуальный календарь рабочего времени. Задает график рабочего времени ресурса.
-
Стоимость. Она складывается из двух составляющих: повременной оплаты (стандартная и сверхурочная ставки), которая начисляется пропорционально длительности работы ресурса в проекте, и стоимости использования, которая является разовой фиксированной суммой, не зависящей от времени работы;
-
Максимальное количество единиц доступности. Устанавливает максимальный процент рабочего времени, которое ресурс может ежедневно выделять для выполнения работ данного проекта. Например, 50% – половина рабочего времени установленного в день по календарю. Данная величина не препятствует планированию большего процента участия ресурса в проекте, но используется для контроля его перегруженности. Так для ресурса с 50% максимальной доступности можно запланировать все 100% использования, но при этом он будет считаться перегруженным на 50%.
2.3 Экономический расчет проекта
Основной задачей систем управления проектами является наглядное представление всех составляющих проекта. В предыдущей главе были показаны способы расчета времени и ресурсов проекта, это очень сложные процессы для проектов, в большинстве из них огромное количество задач и ресурсов, необходимых для выполнения. Мониторинг и слежение за ними является очень трудоемким занятием. Здесь на помощь приходят системы управления проектами. На рисунке 17 представлена диаграмма Ганта, созданная в программе Microsoft Project. При простоте создания она отличается и большей наглядностью по сравнению с рукотворной.
Рисунок 17 диаграмма Ганта
Система также сама автоматически выстраивает сетевой график виде ориентированного графа. В системе имеется два представления для сетевого графика: сетевой график и сетевой график с описанием. Отличаются они тем, что второй имеет внутри блоков информацию о ходе фактического выполнения задач.
Рисунок 18 Сетевой график
На сетевом графике задачи обозначаются прямоугольниками, вехи – шестиугольниками, а фазы (суммарные задачи) – параллелограммами. Внутри фигур размещаются параметры задачи. Блок задачи, выполнение которой начато, зачеркнут одной линией. Блок завершенной задачи зачеркнут двумя линиями.
Представление График ресурсов изображено на рисунке 19. Каждый его лист соответствует одному из ресурсов. По умолчанию на графике в виде гистограммы изображено распределение пиковой занятости ресурса. Значение 100% соответствует полной занятости в соответствии с индивидуальным календарем. Области перегрузки выделены красным цветом. При помощи контекстного меню области графика можно выбрать другой параметр, распределение которого будет изображено на графике (название отображаемого параметра написано в нижнем левом углу):
-
трудозатраты – гистограмма распределения абсолютных значений трудозатрат,
-
совокупные трудозатраты – график трудозатрат ресурса нарастающим итогом с начала проекта,
-
превышение доступности – на графике отображается только гистограмма распределения трудозатрат, превышающих максимально допустимый объем назначения,
-
процент загрузки – график загруженности ресурса в процентах от максимально допустимого объема его участия в проекте,
-
оставшаяся доступность – распределение свободных объемов трудозатрат, которые могут быть назначены ресурсу без его перегрузки,
-
затраты – график распределения затрат ресурса в ходе выполнения проекта,
-
совокупные затраты – график накопления затрат нарастающим итогом с начала проекта,
-
доступность по трудоемкости – график допустимой трудоемкости, которую можно назначить ресурсу, без учета уже выполненных назначений
-
доступность в единицах – график распределения максимально допустимого процента использования ресурса[9].
Рисунок 19 Представление График ресурсов
Система позволяет отобразить календарные графики и других показателей:
-
Фактические трудозатраты – объем трудозатрат, которые были фактически отработаны при исполнении задачи;
-
Совокупные трудозатраты – график распределения трудозатрат нарастающим итогом с начала задачи, фазы или проекта в целом;
-
Базовые трудозатраты – график распределения трудозатрат, сохраненный в базовом плане проекта;
-
Затраты – график распределения финансирования задач проекта;
-
Фактические затраты – график распределения фактически произведенных затрат при исполнении проекта.
Рисунок 20 Представление Использование ресурсов
Левая таблица содержит список задач, которым еще не назначены ресурсы (к таким относятся вехи и фазы), и список ресурсов с указанием их суммарных трудозатрат по проекту. Под каждым ресурсом перечислены все задачи, в выполнении которых он участвует, и его запланированные трудозатраты на эти задачи. Правая таблица – это сводный календарный график трудозатрат ресурсов по проекту. При помощи ее контекстного меню состав данных этой таблицы может быть изменен и помимо трудозатрат включить следующие показатели:
-
Фактические трудозатраты – объем трудозатрат, которые были фактически отработаны при исполнении задачи;
-
Совокупные трудозатраты – график распределения трудозатрат нарастающим итогом с начала задачи, фазы или проекта в целом;
-
Превышение доступности – график распределения трудозатрат, которые превосходят максимально допустимый объем использования ресурса (информативными являются суммарные строки ресурсов, в которых и отображается значение превышения);
-
Затраты – график распределения финансирования задач проекта;
-
Оставшаяся доступность – календарный график распределения оставшегося объема трудозатрат, который можно назначить ресурсу без перегрузки.
Отличительной особенностью представления Использование ресурсов является выделение факта перегрузки ресурсов:
-
в левой таблице красным цветом шрифта отмечается суммарная строка перегруженного ресурса (Постановщик на рисунке 20);
-
в правой строке красным цветом отмечаются трудозатраты в те дни, когда имеется перегрузка.
Вопрос оценки длительности задачи имеет важное значение с точки зрения качества планирования проекта. При заниженной длительности исполнителям не хватит времени для ее успешного завершения, в результате фактическая длительность и затраты превысят плановые показатели. Это, в конечном счете, приведет к более позднему завершению проекта и увеличению его бюджета. Завышенная длительность приведет к недозагруженности ресурсов, их нерациональному использованию и неэффективной растрате бюджета[7].
Чтобы правильно оценить длительность задачи, менеджер должен обладать некоторым опытом в области планирования и управления релевантными проекту технологическими процессами. Однако, для некоторых задач существует способ ее оценки, опирающийся на некоторые показатели или характеристики этих задач. Например, длительность кладки стены зависит от количества кирпича (или площади стены), настила полов – от площади пола, ввода данных – от количества элементов данных и т.д. Для таких случаев и используется параметрический анализ длительности.
Рисунок 21 временной анализ
Стоимость проекта складывается из стоимости входящих в него задач по схеме, изображенной на рисунке 22. Стоимость задачи определяется двумя составляющими: стоимостью всех ее назначений и фиксированной стоимостью.
















