15139 (585582), страница 7
Текст из файла (страница 7)
Оскільки фактичне значення критерія Фішера є більшим за критичне, то економетрична модель є достовірною.
-
Розрахуємо критерій Стьюдента для оцінки статистичної значущості кожної оцінки параметрів економетричної моделі:
| | | |
| 0,29041 | 0,126067349 | 2,303611713 |
| 0,065151 | 0,01241801 | 5,246492528 |
| -0,00789 | 0,017864271 | -0,441540986 |
Критичне значення критерію Стьюдента при рівні значущості 0,05 та ступеню свободи
дорівнює
.
Таким чином, параметри
є статистично достовірними, а параметр
- статистично недостовірним.
3.4 Непараметрична кореляція
У статистичній практиці можуть зустрічатися такі випадки, коли якості факторних і результативних ознак не можуть бути виражені чисельно. Тому для вимірювання тісноти залежності необхідно використовувати інші показники. Для цих цілей використовуються так звані непараметричні методи.
Найбільше розповсюдження мають рангові коефіцієнти кореляції, в основу яких покладений принцип нумерації значень статистичного ряду. При використанні коефіцієнтів кореляції рангів корреліруются не самі значення показників х і у, а тільки номери їх місць, які вони займають в кожному ряду значень. В цьому випадку номер кожної окремої одиниці буде її рангом.
Коефіцієнти кореляції, засновані на використанні ранжируваного методу, були запропоновані К. Спірменом і м. Кенделом.
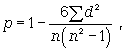
Коефіцієнт кореляції рангів Спірмена (р) заснований на розгляді різниці рангів значень результативної і факторної ознак і може бути розрахований по формулі
де d = Nx - Ny, тобто різниця рангів кожної пари значень х і у; n - число спостережень.
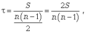
Ранговий коефіцієнт кореляції Кендела можна визначити по формулі
де S = P + Q.
До непараметричних методів дослідження можна віднести коефіцієнт асоціації Кас і коефіцієнт контінгенциі Ккон, які використовуються, якщо, наприклад, необхідно досліджувати тісноту залежності між якісними ознаками, кожен з яких представлений у вигляді альтернативних ознак.
Якщо необхідно оцінити тісноту зв'язку між альтернативними ознаками, які можуть приймати будь-яке число варіантів значень, застосовується коефіцієнт взаємної зв'язаності Пірсону (КП ).
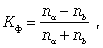
Нарешті, слід згадати коефіцієнт Фехнера, що характеризує елементарний ступінь тісноти зв'язку, який доцільно використовувати для встановлення факту наявності зв'язку, коли існує невеликий об'єм початкової інформації. Даний коефіцієнт визначається по формулі
де na - кількість збігів знаків відхилень індивідуальних величин від їх середньої арифметичної; nb - відповідно кількість неспівпадань.
Коефіцієнт Фехнера може змінюватися в межах від -1 до 1.
Розрахуємо коефіцієнт рангової кореляції між показниками «Урожайність льоноволокну» та «Якість льонотрести»:
| Точка | Столбец1 | Ранг | Процент | Точка | Столбец2 | Ранг | Процент |
| 25 | 13,4 | 1 | 100,00% | 25 | 1,46 | 1 | 100,00% |
| 23 | 13,1 | 2 | 95,80% | 23 | 1,37 | 2 | 95,80% |
| 22 | 12,1 | 3 | 91,60% | 3 | 1,23 | 3 | 91,60% |
| 4 | 11,8 | 4 | 87,50% | 15 | 0,97 | 4 | 87,50% |
| 21 | 10,9 | 5 | 83,30% | 16 | 0,88 | 5 | 79,10% |
| 3 | 10,7 | 6 | 79,10% | 22 | 0,88 | 5 | 79,10% |
| 7 | 9,8 | 7 | 70,80% | 1 | 0,85 | 7 | 75,00% |
| 15 | 9,8 | 7 | 70,80% | 20 | 0,78 | 8 | 70,80% |
| 9 | 8,7 | 9 | 66,60% | 4 | 0,77 | 9 | 66,60% |
| 1 | 7,8 | 10 | 62,50% | 13 | 0,72 | 10 | 58,30% |
| 19 | 7,6 | 11 | 58,30% | 21 | 0,72 | 10 | 58,30% |
| 16 | 7,5 | 12 | 54,10% | 11 | 0,7 | 12 | 54,10% |
| 11 | 7,2 | 13 | 50,00% | 9 | 0,65 | 13 | 45,80% |
| 2 | 6,6 | 14 | 45,80% | 17 | 0,65 | 13 | 45,80% |
| 20 | 6,3 | 15 | 41,60% | 12 | 0,64 | 15 | 41,60% |
| 13 | 6 | 16 | 37,50% | 10 | 0,63 | 16 | 37,50% |
| 5 | 5,9 | 17 | 33,30% | 6 | 0,6 | 17 | 29,10% |
| 14 | 5,7 | 18 | 29,10% | 19 | 0,6 | 17 | 29,10% |
| 8 | 5,6 | 19 | 25,00% | 8 | 0,58 | 19 | 25,00% |
| 17 | 5,2 | 20 | 20,80% | 5 | 0,56 | 20 | 16,60% |
| 10 | 5,1 | 21 | 16,60% | 24 | 0,56 | 20 | 16,60% |
| 18 | 4,3 | 22 | 12,50% | 7 | 0,54 | 22 | 12,50% |
| 6 | 3,7 | 23 | 0,00% | 2 | 0,5 | 23 | 0,00% |
| 12 | 3,7 | 23 | 0,00% | 14 | 0,5 | 23 | 0,00% |
| 24 | 3,7 | 23 | 0,00% | 18 | 0,5 | 23 | 0,00% |
.
Це значення коефіцієнту Спірмена свідчить про наявність помірної тісноти зв’язку між показниками «Урожайність льоноволокну» та «Якість льонотрести»
Розрахуємо коефіцієнт рангової кореляції між показниками «Урожайність льоноволокну» та «Витрати праці на 1 центнер льонотрести»:
| Точка | Столбец1 | Ранг | Процент | Точка | Столбец2 | Ранг | Процент |
| 25 | 13,4 | 1 | 100,00% | 22 | 10,38 | 1 | 100,00% |
| 23 | 13,1 | 2 | 95,80% | 10 | 7,85 | 2 | 95,80% |
| 22 | 12,1 | 3 | 91,60% | 16 | 7,25 | 3 | 91,60% |
| 4 | 11,8 | 4 | 87,50% | 1 | 6,9 | 4 | 87,50% |
| 21 | 10,9 | 5 | 83,30% | 21 | 6,68 | 5 | 83,30% |
| 3 | 10,7 | 6 | 79,10% | 5 | 6,67 | 6 | 79,10% |
| 7 | 9,8 | 7 | 70,80% | 13 | 6,63 | 7 | 75,00% |
| 15 | 9,8 | 7 | 70,80% | 11 | 5,75 | 8 | 70,80% |
| 9 | 8,7 | 9 | 66,60% | 17 | 5,52 | 9 | 66,60% |
| 1 | 7,8 | 10 | 62,50% | 19 | 5,4 | 10 | 62,50% |
| 19 | 7,6 | 11 | 58,30% | 14 | 4,74 | 11 | 58,30% |
| 16 | 7,5 | 12 | 54,10% | 24 | 4,51 | 12 | 54,10% |
| 11 | 7,2 | 13 | 50,00% | 15 | 4,05 | 13 | 50,00% |
| 2 | 6,6 | 14 | 45,80% | 3 | 3,97 | 14 | 45,80% |
| 20 | 6,3 | 15 | 41,60% | 12 | 3,94 | 15 | 41,60% |
| 13 | 6 | 16 | 37,50% | 23 | 3,81 | 16 | 37,50% |
| 5 | 5,9 | 17 | 33,30% | 8 | 3,59 | 17 | 33,30% |
| 14 | 5,7 | 18 | 29,10% | 2 | 3,33 | 18 | 29,10% |
| 8 | 5,6 | 19 | 25,00% | 9 | 3,28 | 19 | 25,00% |
| 17 | 5,2 | 20 | 20,80% | 4 | 3,24 | 20 | 20,80% |
| 10 | 5,1 | 21 | 16,60% | 25 | 3,23 | 21 | 16,60% |
| 18 | 4,3 | 22 | 12,50% | 7 | 2,66 | 22 | 12,50% |
| 6 | 3,7 | 23 | 0,00% | 18 | 2,33 | 23 | 8,30% |
| 12 | 3,7 | 23 | 0,00% | 20 | 2,32 | 24 | 4,10% |
| 24 | 3,7 | 23 | 0,00% | 6 | 1,43 | 25 | 0,00% |
















