15139 (585582), страница 2
Текст из файла (страница 2)
Врожайність, валовий збір найважливіших культур враховується статистикою в ході завершення робіт за підсумками сільськогосподарського року. У звітах, що представляються в кінці осіннього періоду (до 1 листопада) і в річному звіті повідомляються відомості про весняну продуктивну площу, валовому зборі за підсумками приймання збору і врожайності з 1 гектара весняної продуктивної площі. Там же наводяться дані про площі, зайняті багаторічними насадженнями по видах, і про валовий збір ягід, винограду, плодів, з виділенням насіннячок, кісточкових, горіхоплодних і субтропічних. Розміри валового збору з присадибних господарств визначаються розрахунковим способом на основі даних про посівні площі і врожайність, відомості про яку отримують з вибіркового бюджетного обстеження приватних господарств.
Всі перераховані показники діяльності сільськогосподарських підприємств мають величезне значення в аналітичній роботі з метою з'ясування динаміки змін врожайності, валового збору кожної культури. При цьому, вирівнюючи динамічні ряди з використанням раніше представленими статистичними методами, виявляють закономірності їх розвитку за тривалі періоди часу, а також чинники, що впливають на їх зміну.
При порівнянні даних про валовий збір і врожайність за два періоди широко використовують індексний метод. Індивідуальний індекс врожайності по одному господарству для кожної окремої культури обчислюється як відношення її врожайності в звітному році (Y1) до її врожайності в базисному році (Y0).
Для вимірювання ж динаміки врожайності по декількох господарствах з різним рівнем врожайності або по групі однорідних культур, валовий збір яких можна підсумовувати (наприклад, по групі зернових), необхідно будувати загальні індекси врожайності. Зміну середній врожайності можна зміряти за допомогою індексу змінного складу по формулі:
де Jnс - індекс врожайності змінного складу (змінними величинами є врожайність і площа);
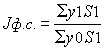
y0, y1 - середня врожайність по групі господарств або по групі однорідних культур в поточному і базисному періодах відповідно;
S0, S1 - посівні площі в кожному господарстві (по кожній культурі) в поточному і базисному періоді відповідно.
Крім того, можна використовувати показники середньої врожайності по всіх господарствах в їх динаміці, тобто будувати індекс фіксованого складу по формулі
де Jф.с. - індекс врожайності фіксованого складу, решта позначень ті ж, що і в попередній формулі.
Відомо, що середня врожайність може змінюватися як за рахунок зміни врожайності, так і за рахунок зміни структури площ.
Оцінка сільськогосподарської продукції в натуральному виразі має велике значення у визначенні стану роботи тих або інших економічних структур. Проте обмежуватися цим при оцінці результатів роботи окремих господарств по територіях і формах власності неможливо у зв'язку з різноманітністю видів продукції, вироблюваних в кожному господарстві і неможливо їх підсумовувати в натуральному виразі.
Узагальнювальними показниками роботи підприємств матеріальних галузей виробництва повною мірою стають сумірними при вартісній, грошовій їх оцінці.
Стосовно сільського господарства основними вартісними показниками є валова, товарна, реалізована, чиста продукція.
Валова продукція сільського господарства обчислюється як сума валових продукций землеробства і тваринництва. Їх питома вага у валовій продукції сільського господарства приблизно однаково. Валова продукція землеробства складається з наступних складових: вартості валових зборів всіх сільськогосподарських культур урожаю поточного року, включаючи і такі побічні продукти як солома, вартості продукції вирощування багаторічних насаджень, приросту вартості незавершеного виробництва (озимих посівів, пари, зяб і тому подібне).
Товарна продукція сільського господарства є величиною вартості продукції виробленій в даному році, реалізованій по роздрібних цінах.
У товарну продукцію включаються наступні види проведених робіт.
1. Вартість всіх продуктів, проданих державі в порядку реалізації укладених контрактів.
2. Вартість всіх продуктів, реалізованих своїм робочим і службовцем або використаних на потреби громадського харчування.
3. Вартість всіх інших реалізованих продуктів.
Показник товарності окремих сільськогосподарських підприємств розраховуються як приватне від ділення товарної продукції сільського господарства на валову продукцію за той же період в одних і тих же цінах. При цьому ні в товарну, ні у валову продукцію не включають малотоварні продукти, якими є силос, солома, відходи виробництва і тому подібне При цьому з валової продукції виключають вартість вирощування багаторічних насаджень і незавершене виробництво.
Показник товарності визначається не тільки в цілому по сільськогосподарській продукції даного підприємства (колгосп, радгосп, фермерське господарство і тому подібне), але і по окремих найважливіших продуктах даного господарства.
Окрім товарної продукції в сільськогосподарському виробництві ведеться облік реалізованої продукції, тобто вартості продукції, яка була продана за ринковою ціною в поточному періоді часу (місяць, квартал, рік).
Одним з найважливіших вартісних показників, що відображають стан господарської діяльності сільськогосподарського підприємства є чиста продукція, яка характеризує знов створену вартість, тобто той дохід, який формує фонд оплати праці і накопичення даного господарства.
Величину чистої продукції сільського господарства підраховують шляхом віднімання з річної валової продукції у вартісному виразі суму матеріальних виробничих витрат того ж року.
До матеріальних витрат відноситься вартість насіння і посадочних матеріалів, кормів, підстилки, добрив, хімікатів, медикаментів, палива, горючих і змащувальних матеріалів, матеріалів використовуваних для поточного ремонту сільськогосподарських споруд, а також вартість амортизації основних виробничих сільськогосподарських фондів.
Провести оцінку господарської діяльності сільськогосподарського підприємства за підсумками поточного (звітного) року значно важче, ніж це робиться на промислових підприємствах. Це пояснюється тим, що, по-перше, одна і та ж продукція даного сільськогосподарського підприємства реалізується по різних цінах залежно від того, де і кому була продана продукція. По-друге, значна частина продукції взагалі не реалізується, а залишається в господарстві для використання на виробничі потреби усередині даного підприємства (колгосп, радгосп, фермерське господарство). Ці обставини вимушують шукати інші форми оцінок роботи в сільському господарстві. В даному випадку в практиці удаються до розмежування і відповідної оцінки товарної і нетоварної частин вироблюваної продукції.
Товарна частина оцінюється по фактичних цінах реалізації, а нетоварна частина оцінюється за собівартістю.
Валова, товарна і чиста продукція в сільськогосподарському секторі виробництва оцінюється як в поточних цінах даного року, так і в незмінних, зіставних цінах. Це робиться для отримання економічної інформації на підставі якої можна буде визначити не тільки загальні показники що характеризують діяльність трудівників аграрного сектора, але і бачити ці показники в розвитку. Крім того, на базі цих показників можна буде визначати безліч інших якісних показників, таких як продуктивність, ефективність праці і тому подібне
Періодичний перегляд зіставних незмінних цін необхідний, оскільки з часом міняється номенклатура продукції, умови її виробництва, що викликає застарівання співвідношення цін, встановлених в зіставних цінах певного року.
Розділ 2. Статистична оцінка показників виробництва льоноволокна
2.1 Ряди розподілу вибіркової сукупності, їх характеристика, графічне зображення
В результаті статистичного спостереження отримують велику кількість різноманітних відомостей про кожну одиницю досліджуваної сукупності. Проте, щоб на основі цих відомостей можна було зробити певні висновки, потрібно всю масу окремих даних привести до відповідного порядку, систематизувати, обробити і на цій основі дати зведену характеристику всієї сукупності фактів за допомогою узагальнюючих статистичних показників. Цього досягають на другому етапі статистичного дослідження, який називається зведенням і групуванням статистичних матеріалів.
Отже, статистичним зведенням називається наукова обробка первинних даних статистичного спостереження з метою отримання узагальнюючих характеристик досліджуваного явища чи процесу за рядом суттєвих для них ознак.
Статистические ряды распределения являются одним из наиболее важных элементов статистики. Они представляют собой составную часть метода статистических сводок и группировок, но, по сути, ни одно из статистических исследований невозможно произвести, не представив первоначально полученную в результате статистического наблюдения информацию в виде статистических рядов распределения.
Основною умовою для одержання правильних висновків при аналізі рядів динаміки є порівнянність його елементів.
Ряди динаміки формуються в результаті зведення й угруповання матеріалів статистичного спостереження. Повторювані в часі (по звітних періодах) значення однойменних показників у ході статистичного зведення систематизуються в хронологічній послідовності.
При цьому кожний ряд динаміки охоплює окремі відособлені періоди, у яких можуть відбуватися зміни, що приводять до непорівнянності звітних даних з даними інших періодів. Тому для аналізу ряду динаміки необхідний приведення всіх складових його елементів до порівнянного виду. Для цього відповідно до завдань дослідження встановлюються причини, що обумовили непорівнянність аналізованої інформації, і застосовується відповідна обробка, що дозволяє робити порівняння рівнів ряду динаміки.
Результати зведення і угрупування матеріалів статистичного спостереження оформляються у вигляді статистичних рядів розподілу. Статистичні ряди розподілу є впорядкованим розподілом одиниць сукупності, що вивчається, на групи за группіровочному (що варіює) ознакою. Вони характеризують склад (структуру) явища, що вивчається, дозволяють судити про однорідність сукупності, межі її зміни, закономірності розвитку спостережуваного об'єкту. Залежно від ознаки статистичні ряди розподілу діляться на:
- атрибутивні (якісні);
- варіаційні (кількісні)
а) дискретні;
б) інтервальні.
Атрибутивні ряди утворюються по якісних ознаках, якими можуть виступати посада працівників торгівлі, професія, пів, освіта і так далі
Варіаційні ряди будуються на основі кількісної группіровочного ознаки. Варіаційні ряди складаються з двох елементів: варіант і частот.
Варіанту - це окреме значення варійованої ознаки, яке він приймає у ряді розподілу. Вони можуть бути позитивними і негативними, абсолютними і відносними. Частота - це чисельність окремих варіант або кожної групи варіаційного ряду. Частоти, виражені в долях одиниці або у відсотках до підсумку, називаються частостямі. Сума частот називається об'ємом сукупності і визначає число елементів всієї сукупності.
Частості - це частоти, виражені у вигляді відносних величин (долях одиниць або відсотках). Сума частостей дорівнює одиниці або 100 %. Заміна частот частостямі дозволяє зіставляти варіаційні ряди з різним числом спостережень.
Варіаційні ряди залежно від характеру варіації підрозділяються на дискретних (переривчасті) і інтервальних (безперервні). Дискретні ряди розподілу засновані на дискретних (переривчастих) ознаках, що мають тільки цілі значення.
Інтервальні ряди розподілу базуються на значенні ознаки, що безперервно змінюється, приймає будь-які (у тому числі і дроби) кількісні вирази, тобто значення ознак таких рядах задається у вигляді інтервалу.
За наявності достатньо великої кількості варіантів значень ознаки первинний ряд є труднообозрімим, і безпосередній розгляд його не дає уявлення про розподіл одиниць за значенням ознаки в сукупності. Тому першим кроком у впорядкуванні первинного ряду є його ранжирування - розташування всіх варіантів в зростаючому (що убуває) порядку.
Для побудови дискретного ряду з невеликим числом варіантів виписуються варіанти значень ознаки, що все зустрічаються, а потім підраховується частота повторення варіанту . Ряд розподілу прийнято оформляти у вигляді таблиці, що складається з двох колонок (або рядків), в одній з яких представлені варіанти, а в іншій - частоти.
Для побудови ряду розподілу ознак, що безперервно змінюються, або дискретних, представлених у вигляді інтервалів, необхідно встановити оптимальне число груп (інтервалів), на які слід розбити всі одиниці сукупності, що вивчається.
Ряди розподілу зручно вивчати за допомогою графічного методу.
Статистичний графік - це креслення, на якому статистичні сукупності, такі, що характеризуються певними показниками, описуються за допомогою умовних геометричних образів або знаків. Представлення даних таблиць у вигляді графіка справляє сильніше враження, ніж цифри, дозволяє краще осмислити результати статистичного спостереження, правильно їх тлумачити, значно полегшує розуміння статистичного матеріалу, робить його наочним і доступним. Це, проте, зовсім не означає, що графіки мають лише ілюстративне значення. Вони дають нове знання про предмет дослідження, будучи методом узагальнення початкової інформації.
Значення графічного методу в аналізі і узагальненні даних велике. Графічне зображення дозволяє здійснити контроль достовірності статистичних показників, оскільки, представлені на графіці, вони яскравіше показують наявні неточності, пов'язані або з наявністю помилок спостереження, або з суттю явища, що вивчається. За допомогою графічного зображення можливі вивчення закономірностей розвитку явища, встановлення існуючих взаємозв'язків. Просте зіставлення даних не завжди дає можливість уловити наявність причинних залежностей, в той же час їх графічне зображення сприяє виявленню причинних зв'язків, особливо у разі встановлення первинних гіпотез, що підлягають потім подальшій розробці. Графіки також широко використовуються для вивчення структури явищ, їх зміни в часі і розміщення в просторі. У них виразніше виявляються порівняльні характеристики і виразно види основні тенденції розвитку і взаємозв'язку, властиві явищу, що вивчається, або процесу.
Для зображення і внесення думок про розвиток явища в часі і складі сукупності разом з графіками будуються діаграми.
Використовуються діаграми: стовпчикові, стрічкові, квадратні, круги, лінійні, радикальні і ін. Вибір виду діаграми залежить в основному від особливостей початкових даних, мети дослідження.
















