183884 (584849), страница 2
Текст из файла (страница 2)
=56682/50=1133,64
4) Дисперсия вклада для 2-х банков, зависящая от всех факторов, кроме рекламы:
=((250-554,2)²*3+(510-554,2)²*4+(530-554,2)²*17+(550-554,2)²*15+
+(570-554,2)²*6+(590-554,2)²*5)/50=
=(92537,64*3+1953,64*4+585,64*17+17,64*15+249,64*6+1281,64*5)/50
=303554/50=6071,08
5) Определить общую дисперсию используя правило сложения:
=((250-554,2)²*3+(510-554,2)²*4+(530-554,2)²*17+(550-
554,2)²*(11+15)+
+(570-554,2)²*(13+6)+(590-554,2)²*(18+5)+(610-554,2)²*6+(630-
554,2)²*2)/
/100=(277612,92+7814,56+9955,88+458,64+4743,16+29477,72+18681,84+
+11491,28)/100=360236/100=3602,36
Тема 5
Задача 1
Имеется информация о выпуске продукции (работ, услуг), полученной на основе 10% выборочного наблюдения по предприятиям области:
| Группы предприятий по объему продукции, тыс. руб. | Число предприятий (f) |
| До 100 100-200 200-300 300-400 400-500 500 и > | 28 52 164 108 36 12 |
| итого | 400 |
Определить:
1) по предприятиям, включенным в выборку:
а) средний размер произведенной продукции на одно предприятие;
б) дисперсию объема производства;
в) долю предприятий с объемом производства продукции более 400 тыс. руб.;
2) в целом по области с вероятностью 0,954 пределы, в которых можно ожидать:
а) средний объем производства продукции на одно предприятие;
б) долю предприятий с объемом производства продукции более 400 тыс. руб.;
3) общий объем выпуска продукции по области.
Решение:
| Группы предприятий по объему продукции, тыс. руб. | Средний объём продукции на группу, тыс. руб. | Число предприятий (f) |
| До 100 100-200 200-300 300-400 400-500 500 и > | 50 150 250 350 450 550 | 28 52 164 108 36 12 |
| итого | 400 |
1) Средний размер произведенной продукции на одно предприятие:
(50*28+150*52+250*164+350*108+450*36+550*12)/400=110800/400=
=277 тыс. руб.
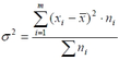
Дисперсия объема производства:
=((50-277)²*28+(150-277)²*52+(250-277)²*164+(350-277)²*108+
+(450-277)²*36+(550-277)²*12)/400=4948400/400=12371
Доля предприятий с объемом производства продукции более 400 тыс. руб.:
(36+12)/400= 0,12 или 12%
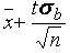
2) Определить в целом по области с вероятностью 0,954 пределы, в которых можно ожидать:
а) средний объем производства продукции на одно предприятие:
111,225
Величина t определяется по таблице значений функции Лапласа из равенства
.
Следовательно, в нашем случае последнее равенство принимает вид
Ф(t)=0,954/2=0,477.
Из этого равенства по таблице значений интегральной функции Лапласа
находим значение t=2,00.
√n=√400=20
Найдём нижний предел:
277-2*111,225/20=265,8775 тыс. руб.
Найдём верхний предел:
277+2*111,225/20=288,1225 тыс. руб.
Iγ(a)=( 265,8775 ; 288,1225)
б) долю предприятий с объемом производства продукции более 400 тыс. руб.:
Средняя: (450+550)/2=500 тыс. руб.
Найдём нижний предел:
500-2*111,225/20= 488,8775 тыс. руб.
Найдём верхний предел:
500+2*111,225/20= 511,1225 тыс. руб.
Iγ(a)=( 488,8775 ; 511,1225)
3) Общий объем выпуска продукции по области:
50*28+150*52+250*164+350*108+450*36+550*12=110800 тыс. руб.
Тема 6
Задача 1
Данные о площадях под картофелем до и после изменения границ района, тысяч гектаров:
| периоды площадь под картофелем | 1 | 2 | 3 | 4 | 5 | 6 | 7 |
| До изменения границ района | 110 | 115 | 112 | ||||
| После изменения границ района | 208 | 221 | 229 | 234 | 230 |
Сомкнуть ряд, выразив площадь под картофелем в условиях изменения границ района.
Решение:
208/112=1,857 – коэффициент
110*1,857=204.27
115*1,857=213.55
115/112*100=102,68%
110/112*100=98,21%
221/208*100=106,25%
229/208*100=110,096%
234/208*100=112,5%
230/208*100=110,58%
| периоды площадь под картофелем | 1 | 2 | 3 | 4 | 5 | 6 | 7 |
| До изменения границ района | 110 | 115 | 112 | ----- | ----- | ----- | ----- |
| После изменения границ района | ----- | ----- | 208 | 221 | 229 | 234 | 230 |
| Сомкнутый ряд | 204.27 | 213.55 | 208 | 221 | 229 | 234 | 230 |
| Сомкнутый ряд относительных величин в % к 3 периоду | 98,21 | 102,68 | 100,0 | 106,25 | 110,096 | 112,5 | 110,58 |
Тема 7
Задача 1
По нижеприведенным данным ответить на вопросы, поставленные в таблице, т.е. определить недостающие показатели
| Показатели | Изменение показателей в % к предыдущему кварталу «+»-увеличение, «-» - уменьшение | ||
| II квартал | III квартал | IV квартал | |
| Цена | ? | +10 | -2 |
| Натуральный объем продаж | Без изменения | ? | +5 |
| Товарооборот в денежном выражении | +8 | +5 | ? |
Решение:
Найдём в III квартале ip – так как 110-100=10% (+10) в этой ячейке, то значение индекса запишем 110/100=1,1 По аналогии заполним все ячейки.
| Индексы | Значения индексов | ||
| II квартал | III квартал | IV квартал | |
| ip | x | 1,1 | 0,98 |
| iq | 1,0 | y | 1,05 |
| Ipq | 1,08 | 1,05 | z |
Теперь найдём x,y,z:
Ipq= ip* iq
x= Ipq / iq=1,08/1=1,08 (+8)
y=1,05/1,1=0,95 (-5)
z=0,98*1,05=1,03 (+3)
Таблица примет вид:
| Показатели | Изменение показателей в % к предыдущему кварталу «+»-увеличение, «-» - уменьшение | ||
| II квартал | III квартал | IV квартал | |
| Цена | +8 | +10 | -2 |
| Натуральный объем продаж | 0 | -5 | +5 |
| Товарооборот в денежном выражении | +8 | +5 | +3 |
Тема 8
Задача 1
По пяти рабочим цеха имеются данные о квалификации и месячной выработке. Для изучения связи между квалификацией рабочих и их выработкой определить линейное уравнение связи и коэффициент корреляции. Дать интерпретацию коэффициентам регрессии и корреляции.
| Табельный номер рабочего | Разряд (y) | Выработка продукции за смену, шт. (x) |
| 1 2 3 4 5 | 6 2 3 5 4 | 130 60 70 110 90 |
Решение:
Линейное уравнение связи:
y=a+bx
6=a+130*b, a=6-130*b
5=a+110*b, a=5-110*b
6-130*b=5-110*b; 6-5=130*b-110*b; 1=20*b; b=1/20=0,05
6=a+0,05*130; a=6-0,05*130; a=-0,5
Линейное уравнение примет вид:
y=-0,5+0,05x
Проверка:
4=-0,5+0,05*90, 4=4; 3=-0,5+70/20, 3=3; 2=-0,5+60/20, 2=2,5 –
работник 2-го разряда перевыполняет норму и не вписывается в общую зависимость.
Коэффициент корреляции:
Найдём числитель (n=5):
(2*60+3*70+4*90+5*110+6*130)-(2+3+4+5+6)*
*(60+70+90+110+130)/5=2020-20*460/5=180
Σx²-(Σx)²/n=(60²+70²+90²+110²+130²)-(60+70+90+110+130)²/5=















