183738 (584777)
Текст из файла
Задание 1. Составить линейную оптимизационную модель и решить любым известным методом
Для сохранения нормальной жизнедеятельности человек должен в сутки потреблять белков не менее 120 условных единиц (усл. ед.), жиров – не менее 70 и витаминов – не менее 10 усл. ед. Содержание их в каждой единице продуктов
и
равно соответственно (0,2; 0,075; 0) и (0,1; 0,1; 0,1) усл. ед. Стоимость 1 ед. продукта
– 2 руб.,
–3 руб. Постройте математическую модель задачи, позволяющую так организовать питание, чтобы его стоимость была минимальной, а организм получил необходимое количество питательных веществ.
Решение
Стоимость набора продукции можно представить как функцию
Z(x) = П1х1 + П2х2 min
При том, что должны выполняться ограничения по набору продуктов
Исходя из последнего неравенства, должно выполняться условие
х2 100
Теперь построим 3 линии
0,2х1+0,1х2 =120
0,075 х1 + 0,1х2 = 70
х2 =100
для этого по очереди приравняем х1 и х2 к 0.
Получим точки (1200;0) и (0:600) для линии 1
И (700;0) и (0;933) для линии 2
На поле координат ось абсцисс - это ось Х2
Ось ординат – ось Х1
Так как необходимо, чтобы набор элементов был не меньше установленных значений, то значит искомая область значений находится за линиями (выделено темным цветом).
Теперь построим вектор исходя из того, что цена на продукты х1-2 руб., а цена на продукт х2-3 руб.
Проведем линию, перпендикулярно вектору. Получается, что ближайшая точка - это точка В(100;800).
То есть х1 = 800
х2 = 100
Проверим, при полученных значениях
То есть по условию содержания элементов данное соотношение подходит.
Затраты будут равны
2*800 + 3*100 = 1900 руб.
Задание 2. Сетевое и календарное планирование
Построение структуры сетевого графика, построение календарного графика, расчет и представление на графике временных характеристик событий, расчет временных характеристик работ.
N = 8 номер варианта (указан на первой странице документа);
а = [N/2] + 1, где [N/2] – целая часть данной дроби;
а = 8/2 +1 = 5
a + b = N;
b = 8 – 5 = 3
c = 3.
Решение.
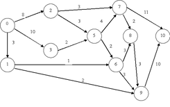
Исходный график:
Временной расчет сетевого графика проведем следующим образом.
Ранний срок начала работы равен раннему сроку свершения ее начального события;
Поздний срок начала работы равен разности между поздним сроком свершения ее конечного события и ожидаемой продолжительностью работы;
Ранний срок окончания работы равен сумме раннего срока свершения ее начального события и ожидаемой продолжительностью работы;
Поздний срок окончания работы равен позднему сроку свершения ее конечного события;
Полный резерв работы (i,j) определяется по формуле:
Rпij=Тj1 - Тi0 - tij
Свободный резерв времени Rсij работы (i,j) представляет часть полного резерва времени, на которую можно увеличить продолжительность работы, не изменив при этом раннего срока ее конечного события.
Rсij=Тj0 - Тi0 - tij
Коэффициент напряженности:
Кij=1 – Rпij/(Tn0–Ткр(i,j))
Результат расчета представлен на рис. 2. и в табл. 1.
Рис.2.
Таблица 1 – Расчет сетевого графика
| Код работы | Ожидаемая продолжительность | Срок начала события | Срок окончания события | Резервы времени | Коэффициент напряженности | ||||||
| ранний | поздний | ранний | поздний | Полный | Свободный | ||||||
| 0 – 1 | 3 | 0 | 0 | 3 | 14 | 11 | 0 | 0,65 | |||
| 0 – 2 | 8 | 0 | 0 | 8 | 9 | 1 | 0 | 0,97 | |||
| 0 - 3 | 10 | 0 | 0 | 10 | 10 | 0 | 0 | 1,00 | |||
| 1 - 6 | 1 | 3 | 14 | 14 | 15 | 11 | 10 | 0,65 | |||
| 1 - 9 | 2 | 3 | 14 | 21 | 21 | 16 | 16 | 0,48 | |||
| 2 - 5 | 3 | 8 | 9 | 12 | 12 | 1 | 1 | 0,97 | |||
| 2 - 7 | 3 | 8 | 9 | 16 | 16 | 5 | 5 | 0,84 | |||
| 3 - 5 | 2 | 10 | 10 | 12 | 12 | 0 | 0 | 1,00 | |||
| 5 - 6 | 2 | 12 | 12 | 14 | 15 | 1 | 0 | 0,97 | |||
| 5 - 7 | 4 | 12 | 12 | 16 | 16 | 0 | 0 | 1,00 | |||
| 6 - 8 | 3 | 14 | 15 | 18 | 18 | 1 | 1 | 0,97 | |||
| 6 - 9 | 3 | 14 | 15 | 21 | 21 | 4 | 4 | 0,87 | |||
| 7 - 8 | 2 | 16 | 16 | 18 | 18 | 0 | 0 | 1,00 | |||
| 7 - 10 | 11 | 16 | 16 | 31 | 31 | 4 | 4 | 0,87 | |||
| 8 - 9 | 3 | 18 | 18 | 21 | 21 | 0 | 0 | 1,0 | |||
| 9 - 10 | 10 | 21 | 21 | 31 | 31 | 0 | 0 | 1,0 | |||
Задание 3. Управление запасами
Завод радиоэлектронной аппаратуры производит
радиоприемников в сутки. Микросхемы для радиоприемников (по 1 шт. на приемник) производятся на этом же заводе с интенсивностью
тыс. шт. в сутки. Затраты на подготовку производства партии микросхем составляют
руб. (числа в задаче условные), себестоимость производства 1 тыс. шт. микросхем равна
руб. Хранение микросхем на складе обходится заводу в
руб. за каждую тысячу в сутки. У завода появилась возможность закупать микросхемы в другом месте по цене
руб. за 1 тыс. шт. Стоимость доставки равна
руб.
Выясните, стоит ли заводу закупать микросхемы вместо того, чтобы их производить. Для более выгодного режима работы завода (производство или закупка) определите периодичность подачи заказа, и затраты на управление запасами в месяц (22 рабочих дня).
| № варианта N |
|
|
|
|
|
|
|
| 8 | 700 | 2100 | 92 | 4,2 | 2,5 | 4 | 78 |
Решение:
Так как сумма стоимости покупных микросхем и затрат на их доставку (S1 = x6 + x7 =4+78 = 82) меньше суммы себестоимости производимых и затрат на подготовку производства партии (S2 = x3 + x4 = 92+4,2 = 96,2), то заводу выгоднее закупать микросхемы.
Периодичность подачи заказов определяется по форуле:
Периодичность подачи заказа:
Затраты на управление запасами в месяц:
Характеристики
Тип файла документ
Документы такого типа открываются такими программами, как Microsoft Office Word на компьютерах Windows, Apple Pages на компьютерах Mac, Open Office - бесплатная альтернатива на различных платформах, в том числе Linux. Наиболее простым и современным решением будут Google документы, так как открываются онлайн без скачивания прямо в браузере на любой платформе. Существуют российские качественные аналоги, например от Яндекса.
Будьте внимательны на мобильных устройствах, так как там используются упрощённый функционал даже в официальном приложении от Microsoft, поэтому для просмотра скачивайте PDF-версию. А если нужно редактировать файл, то используйте оригинальный файл.
Файлы такого типа обычно разбиты на страницы, а текст может быть форматированным (жирный, курсив, выбор шрифта, таблицы и т.п.), а также в него можно добавлять изображения. Формат идеально подходит для рефератов, докладов и РПЗ курсовых проектов, которые необходимо распечатать. Кстати перед печатью также сохраняйте файл в PDF, так как принтер может начудить со шрифтами.















