183642 (584746)
Текст из файла
МИНИСТЕРСТВО СЕЛЬСКОГО ХОЗЯЙСТВА РОССИЙСКОЙ ФЕДЕРАЦИИ
Ульяновская государственная сельскохозяйственная академия
Кафедра «Статистика и анализ хозяйственной деятельности»
Контрольная работа
по Эконометрики
Выполнил: студент 2 курса
заочного отделения «Экономического факультета»
по специальности «Финансы и кредит»
с сокращенным сроком обучения
Антонов Леонид Владимирович
Ульяновск, 2009
Задача 1
По территориям Волго-Вятского, Центрально–Черноземного и Поволжского районов известны данные о потребительских расходах в расчете на душу населения, о средней заработной плате и выплатах социального характера (табл. 1).
Таблица 1
Район | Потребительские расходы в расчете на душу населения, руб., y | Средняя заработная плата и выплаты социального характера, руб., x |
| 1 | 408 | 524 |
| 2 | 249 | 371 |
| 3 | 253 | 453 |
| 4 | 580 | 1006 |
| 5 | 651 | 997 |
| 6 | 322 | 486 |
| 7 | 899 | 1989 |
| 8 | 330 | 595 |
| 9 | 446 | 1550 |
| 10 | 642 | 937 |
Задание:
1. Постройте поле корреляции и сформулируйте гипотезу о форме связи.
2. Рассчитайте параметры уравнений линейной парной регрессии.
3. Оцените тесноту связи с помощью показателей корреляции и детерминации.
4. Дайте с помощью среднего (общего) коэффициента эластичности сравнительную оценку силы связи факторов с результатом.
5. Оцените с помощью средней ошибки аппроксимации качество уравнений.
6. Оцените с помощью F- критерия Фишера статистическую надежность результатов регрессионного моделирования. По значениям характеристик, рассчитанных в пп.4,5 и данном пункте, выберите лучшее уравнение регрессии и дайте его обоснование.
7. Рассчитайте прогнозное значение результата, если прогнозное значение фактора увеличится на 7 % от его среднего уровня. Определите доверительный интервал прогноза для уровня значимости, а = 0,05.
8. Оцените полученные результаты, выводы оформите в аналитической записке.
Решение:
1. Постройте поле корреляции и сформулируйте гипотезу о форме связи.
2. Рассчитайте параметры уравнений линейной парной регрессии.
|
| y | x | yx | x2 | y2 | ŷx | y-ŷx | Ai |
| 1 | 408 | 524 | 213792 | 274576 | 166464 | 356,96 | 51,04 | 12,5 |
| 2 | 249 | 371 | 92379 | 137641 | 62001 | 306,47 | -57,47 | 23,1 |
| 3 | 253 | 453 | 114609 | 205209 | 64009 | 333,53 | -80,53 | 31,8 |
| 4 | 580 | 1006 | 583480 | 1012036 | 336400 | 516,02 | 63,98 | 11,0 |
| 5 | 651 | 997 | 649047 | 994009 | 423801 | 513,05 | 137,95 | 21,2 |
| 6 | 322 | 486 | 156492 | 236196 | 103684 | 344,42 | -22,42 | 7,0 |
| 7 | 899 | 1989 | 1788111 | 3956121 | 808201 | 840,41 | 58,59 | 6,5 |
| 8 | 330 | 595 | 196350 | 354025 | 108900 | 380,39 | -50,39 | 15,3 |
| 9 | 446 | 1550 | 691300 | 2402500 | 198916 | 695,54 | -249,54 | 56,0 |
| 10 | 642 | 937 | 601554 | 877969 | 412164 | 493,25 | 148,75 | 23,2 |
| итого | 4780 | 8908 | 5087114 | 10450282 | 2684540 | 4780,04 | -0,04 | 207,5 |
| среднее значение | 478 | 890,8 | 508711,4 | 1045028,20 | 268454 | x | x | 20,7 |
| σ | 199,92 | 501,50 | x | x | x | x | x | x |
| σ2 | 39970,00 | 251503,56 | x | x | x | x | x | x |
Получено уравнение регрессии:
.
С увеличением средняя заработная плата и выплаты социального характера на 1 руб., то потребительские расходы в расчете на душу населения возрастает в среднем на 0,33 руб.
3. Оцените тесноту связи с помощью показателей корреляции и детерминации.
Тесноту связи оценивают с помощью показателей корреляции и детерминации:
Коэффициент детерминации
Это означает, что 69% вариации потребительские расходы в расчете на душу населения объясняется вариацией факторов средняя заработная плата и выплаты социального характера.
4. Дайте с помощью среднего (общего) коэффициента эластичности сравнительную оценку силы связи факторов с результатом.
Коэффициент эластичности показывает, на сколько процентов измениться в среднем результат, если фактор изменится на 1%. Формула для расчета коэффициента эластичности имеет вид:
.
Таким образом, изменение средней заработной платы и выплат социального характера на 1 % приведет к увеличению потребительских расходов в расчете на душу населения на 0,615 %.
5. Оцените с помощью средней ошибки аппроксимации качество уравнений.
Качество уравнений оцените с помощью средней ошибки аппроксимации:
-
= 20,7%
Качество построенной модели оценивается как плохое, так как превышает 8 – 10 %.
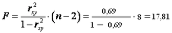
6. Оцените с помощью F- критерия Фишера статистическую надежность результатов регрессионного моделирования. По значениям характеристик, рассчитанных в пп.4,5 и данном пункте, выберите лучшее уравнение регрессии и дайте его обоснование.
Оценим качество уравнения регрессии в целом с помощью
-критерия Фишера. Сосчитаем фактическое значение
- критерия:
Табличное значение (k1=1, k2=8
) Fтабл.=5,32. Так как
, то признается статистическая значимость уравнения в целом.
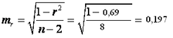
Для оценки статистической значимости коэффициентов регрессии и корреляции рассчитаем
- критерий Стьюдента и доверительные интервалы каждого из показателей. Рассчитаем случайные ошибки параметров линейной регрессии и коэффициента корреляции
,
Фактические значения
- статистик:
Табличное значение
- критерия Стьюдента при
и tтабл.=2,306. Так как
, ta < tтабл. и
.
Рассчитаем доверительные интервалы для параметров регрессии
и
:
и
. Получим, что и
.
7. Рассчитайте прогнозное значение результата, если прогнозное значение фактора увеличится на 7 % от его среднего уровня. Определите доверительный интервал прогноза для уровня значимости, а = 0,05.
Найдем прогнозное значение результативного фактора
при значении признака-фактора, составляющем 107% от среднего уровня
, т.е. найдем потребительские расходы в расчете на душу населения, если средняя заработная плата и выплаты социального характера составят 953,15 тыс. руб.
Характеристики
Тип файла документ
Документы такого типа открываются такими программами, как Microsoft Office Word на компьютерах Windows, Apple Pages на компьютерах Mac, Open Office - бесплатная альтернатива на различных платформах, в том числе Linux. Наиболее простым и современным решением будут Google документы, так как открываются онлайн без скачивания прямо в браузере на любой платформе. Существуют российские качественные аналоги, например от Яндекса.
Будьте внимательны на мобильных устройствах, так как там используются упрощённый функционал даже в официальном приложении от Microsoft, поэтому для просмотра скачивайте PDF-версию. А если нужно редактировать файл, то используйте оригинальный файл.
Файлы такого типа обычно разбиты на страницы, а текст может быть форматированным (жирный, курсив, выбор шрифта, таблицы и т.п.), а также в него можно добавлять изображения. Формат идеально подходит для рефератов, докладов и РПЗ курсовых проектов, которые необходимо распечатать. Кстати перед печатью также сохраняйте файл в PDF, так как принтер может начудить со шрифтами.
















