183642 (584746), страница 2
Текст из файла (страница 2)
(тыс. руб.)
Значит, если средняя заработная плата и выплаты социального характера составят 953,15 тыс. руб., то потребительские расходы в расчете на душу населения будут 498,58 тыс. руб.
Найдем доверительный интервал прогноза. Ошибка прогноза
а доверительный интервал (
):
.
Т.е. прогноз является статистически не точным.
8. Оцените полученные результаты, выводы оформите в аналитической записке.
Из полученных результатов я вижу, что с увеличением средняя заработная плата и выплаты социального характера на 1 руб., то потребительские расходы в расчете на душу населения возрастает в среднем на 0,33 руб. При оценки тесноты связи с помощью показателя детерминации я выявил, что 69% вариации потребительские расходы в расчете на душу населения объясняется вариацией факторов средняя заработная плата и выплаты социального характера. С помощью коэффициент эластичности я определил, что изменение средней заработной платы и выплат социального характера на 1 % приведет к увеличению потребительских расходов в расчете на душу населения на 0,615 %. С увеличится на 7 % заработной платы и выплаты социального характера, потребительские расходы в расчете на душу населения будут равны 498,58 тыс. руб., но этот прогноз является статистически не точным.
Задача 8
По группе 10 заводов, производящих однородную продукцию, получено уравнение регрессии себестоимости единицы продукции у (тыс. руб.) от уровня технической оснащенности х (тыс. руб.):
у = 20 +
. Доля остаточной дисперсии в общей составила 0,19
Задание:
Определите:
а) коэффициент эластичности, предполагая, что стоимость активных производственных фондов составляет 200 тыс. руб.
б) индекс корреляции;
в) F- критерий Фишера. Сделайте выводы.
Решение:
а) коэффициент эластичности, предполагая, что стоимость активных производственных фондов составляет 200 тыс. руб.
х = 200 тыс. руб.
.
Таким образом, изменение технической оснащенности на 1% приведет к снижению себестоимости единицы продукции на 0,149 %.
б) индекс корреляции:
Уравнение регрессии:
-
= 23,5/10 = 2,35
Это означает, что 99,6 % вариации себестоимости единицы продукции объясняется вариацией уровня технической оснащенности на долю прочих факторов приходится лишь 0,40%.
в) F- критерий Фишера. Сделайте выводы.
Fтабл. = 4,46
Fтабл. < Fфакт; Этот результат можно объяснить сравнительно невысокой теснотой выявленной зависимости и небольшим числом наблюдений.
Задача 13
По заводам, выпускающим продукцию А, изучается зависимость потребления электроэнергии У (тыс. кВт. Ч) от производства продукции - Х1 (тыс.ед.) и уровня механизации труда – Х2 (%). Данные приведены в табл.4.2.
Задание
1. Постройте уравнение множественной регрессии в стандартизованном и натуральном масштабах.
2. Определите показатели частной и множественной корреляции.
3.Найдите частные коэффициенты эластичности и сравните их с Бэтта коэффициентами.
4. Рассчитайте общие и частные F – критерии Фишера.
| Признак | Среднее значение | Среднее квадратическое отклонение | Парный коэффициент корреляции | |
| Y | 1050 | 28 | ryx1 | 0.78 |
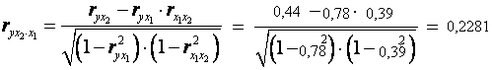
| X1 | 425 | 44 | ryx2 | 0.44 |
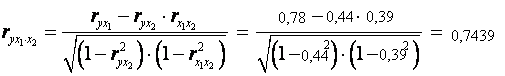
| X2 | 42.0 | 19 | rx1x2 | 0.39 |
Решение:
1. Постройте уравнение множественной регрессии в стандартизованном и натуральном масштабах.
Линейное уравнение множественной регрессии у от х1 и х2 имеет вид:
.
Для расчета его параметров применим метод стандартизации переменных, построим искомое уравнение в стандартизованном масштабе:
Расчет - коэффициентов выполним по формулам:
Т.е. уравнение будет выглядеть следующим образом:
.
Для построения уравнения в естественной форме рассчитаем b1 и b2, используя формулы для перехода от к b.
Значение a определим из соотношения:
2. Определите показатели частной и множественной корреляции.
Линейные коэффициенты частной корреляции здесь рассчитываются по рекуррентной формуле:
Если сравнить значения коэффициентов парной и частной корреляции, то приходим к выводу, что из-за слабой межфакторной связи (rx1x2=0,39) коэффициенты парной и частной корреляции отличаются значительно.
Растет линейного коэффициента множественной корреляции выполним с использованием коэффициентов и
:
Зависимость у от х1 и х2 характеризуется как тесная, в которой 63 % вариации потребления электроэнергии определяется вариацией учетных в модели факторов: производства продукции и уровня механизации труда. Прочие факторы, не включенные в модель, составляют соответственно 37 % от общей вариации y.
3.Найдите частные коэффициенты эластичности и сравните их с Бэтта коэффициентами.
Для характеристики относительной силы влияния х1 и х2 на y рассчитаем средние коэффициенты эластичности:
С увеличением производства продукции на 1 % от его среднего потребления электроэнергии возрастает на 0,29 % от своего среднего уровня; при повышении среднего уровня механизации труда на 1 % среднее потребления электроэнергии увеличивается на 0,006% от своего среднего уровня. Очевидно, что сила влияния производства продукции на среднее потребление электроэнергии оказалась больше, чем сила влияния среднего уровня механизации труда.
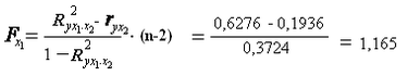
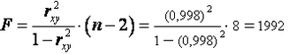
4. Рассчитайте общие и частные F – критерии Фишера.
Общий F-критерий проверяет гипотезу H0 о статистической значимости уравнения регрессии и показателя тесноты связи (R2 = 0):
Fтабл. = 9,55
Сравнивая Fтабл. и Fфакт., приходим к выводу о необходимости не отклонять гипотезу H0 и признается статистическая незначимость, ненадежность уравнения регрессии.
Частные F-критерий – Fх1. и Fх2 оценивают статистическую значимость присутствия факторов х1 и х2 в уравнении множественной регрессии, оценивают целесообразность включения в уравнение одного фактора после другого фактора, т.е. Fх1 оценивает целесообразность включения в уравнение фактора х1 после того, как в него был включен фактор х2. Соответственно Fх2 указывает на целесообразность включения в модель фактора х2 после фактора х1.
Низкое значение Fх2 (меньше 1) свидетельствует о статистической незначимости прироста r2yx1 за счет включения в модель фактора х2 после фактора х1. следовательно, подтверждается нулевая гипотеза H0 о нецелесообразности включения в модель фактора х2.
Задача 21
Модель денежного и товарного рынков:
Rt = a1 + b12Yt + b14Mt + e1, (функция денежного рынка);
Yt = a2 + b21Rt + b23It + b25Gt + e2 ( функция товарного рынка);
It = a3 + b31Rt + e3 (функция инвестиций),
где R - процентные ставки;
Y - реальный ВВП;
M - денежная масса;
I - внутренние инвестиции;
G - реальные государственные расходы.
Решение:
Rt = a1 + b12Yt + b14Mt + e1,
Yt = a2 + b21Rt + b23It + b25Gt + e2
It = a3 + b31Rt + e3
Сt = Yt + It + Gt
Модель представляет собой систему одновременных уравнений. Проверим каждое ее уравнение на идентификацию.
Модель включает четыре эндогенные переменные (Rt, Yt, It, Сt) и две предопределенные переменные (
и
).
Проверим необходимое условие идентификации для каждого из уравнений модели.
Первое уравнение:
Rt = a1 + b12Yt + b14Mt + e1.
Это уравнение содержит две эндогенные переменные
и
и одну предопределенную переменную
. Таким образом,
,
т.е. выполняется условие
. Уравнение сверхидентифицируемо.
Второе уравнение:
Yt = a2 + b21Rt + b23It + b25Gt + e2.
Оно включает три эндогенные переменные Yt, It и Rt и одну предопределенную переменную Gt. Выполняется условие
Уравнение идентифицируемо.
Третье уравнение:
It = a3 + b31Rt + e3.
Оно включает две эндогенные переменные It и Rt. Выполняется условие
Уравнение идентифицируемо.
Четвертое уравнение:
Сt = Yt + It + Gt.
Оно представляет собой тождество, параметры которого известны. Необходимости в идентификации нет.
Проверим для каждого уравнения достаточное условие идентификации. Для этого составим матрицу коэффициентов при переменных модели.
|
|
| Rt |
|
|
| |
| I уравнение | 0 | 0 | –1 | b12 | b14 | 0 |
| II уравнение | 0 | b23 |
| –1 | 0 | b25 |
| III уравнение | 0 | –1 | b31 | 0 | 0 | 0 |
| Тождество | –1 | 1 | 0 | 1 | 0 | 1 |
В соответствии с достаточным условием идентификации ранг матрицы коэффициентов при переменных, не входящих в исследуемое уравнение, должен быть равен числу эндогенных переменных модели без одного.
Первое уравнение. Матрица коэффициентов при переменных, не входящих в уравнение, имеет вид
|
| Rt |
|
| |
| II уравнение | b23 |
| –1 | b25 |
| III уравнение | –1 | b31 | 0 | 0 |
| Тождество | 1 | 0 | 1 | 1 |
Ранг данной матрицы равен трем, так как определитель квадратной подматрицы
не равен нулю:















