183004 (584549)
Текст из файла
Содержание
Задача 1
Задача 2
Приложения
Задача 1
Обследовано 50 торговых точек по объему ежедневного дохода. Данные обследования приведены в приложении 1.
1. Провести группировку торговых точек по объему ежедневного дохода.
2. Построить гистограмму, полигон, кумуляту.
3. Вычислить выборочные характеристики:
a. среднее,
b. дисперсию,
c. среднее квадратическое отклонение,
d. моду,
e. медиану,
f. нижний и верхний квартили,
g. коэффициент вариации.
4. На основе анализа полученных данных выдвинуть гипотезу о законе распределения дохода.
Решение:
Количество групп определим по формуле Стерджесса:
n = 1 + 3.222*lgN,
где n - число групп;
N - число единиц совокупности.
n = 6 групп.
Величина равного интервала:
h = R / n,
где R - размах вариации;
n - число групп.
h = 145.7
Получим интервалы для построения групп:
1-я группа: (638-783.67];
2-я группа: (783.67-929.34];
3-я группа: (929.34-1075.01];
4-я группа: (1075.01-1220.68];
5-я группа: (1220.68-1366.35];
6-я группа: (1366.35-1512.02].
Построим группы:
| № группы | Группы торговых точек по объему ежедневного дохода | Число торговых точек | Накопленные частоты | ||
| 1 | 638-783.67 | 7 | 7 | ||
| 2 | 783.67-929.34 | 11 | 18 | ||
| 3 | 929.34-1075.01 | 15 | 33 | ||
| 4 | 1075.01-1220.68 | 12 | 45 | ||
| 5 | 1220.68-1366.35 | 4 | 49 | ||
| 6 | 1366.35-1512.02 | 1 | 50 | ||
| Итого | 50 | - | |||
Построим гистограмму, полигон, кумуляту.
Проведем расчет выборочных характеристик.
| Группы торговых точек по объему ежедневного дохода | Число торговых точек | Середина интервала |
| Накопленные частоты | |
| 638-783.67 | 7 | 710.84 | 4975.88 | 570611.72 | 7 |
| 783.67-929.34 | 11 | 856.5 | 9421.5 | 215138.25 | 18 |
| 929.34-1075.01 | 15 | 1002.17 | 15032.55 | 508.09 | 33 |
| 1075.01-1220.68 | 12 | 1147.85 | 13774.2 | 275427 | 45 |
| 1220.68-1366.35 | 4 | 1293.51 | 5174.04 | 353216.26 | 49 |
| 1366.35-1512.02 | 1 | 1439.18 | 1439.18 | 196098.41 | 50 |
| Итого | 50 | - | 49817.35 | 1610999.73 | - |
Среднее значение определим по формуле средней арифметической взвешенной:
|
| = | 996.35 д. ед. |
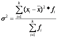
Дисперсию определим по формуле:
|
| = | 32219.99 д. ед. |
Среднее квадратическое отклонение определим по формуле:
|
| = | 179.5 д. ед. |
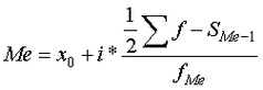
Рассчитаем значение моды. Наибольшая частота: 15. Мода находится в интервале между 929.34 и 1075.01. Точное значение моды определим по формуле:
Рассчитаем значение медианы. Середина ряда: 25. Медианным является интервал с накопленной частой 33. Точное значение медианы определим по формуле:
Определим место нижней квартили: NQ1 = (50+1) /4 = 12.75.
Определим место верхней квартили: NQ3 = (50+1) /4*3 = 38.25.
Квартили определим по формулам:
=
783.67+145.67* ( (12.5-7) /11) = 856.51 д. ед.
=
1075.01+145.67* ( (37.5-33) /12) = 1129.64 д. ед.
Коэффициент вариации определим по формуле:
|
| = | 18.02%. |
В исследуемой совокупности средний размер объема ежедневного дохода составил 996.35 д. ед. Самым распространенным значением объема ежедневного дохода является 1012.58 д. ед.50% торговых точек имеют объем ежедневного дохода более 997.32 д. ед., а 50% - менее 997.32 д. ед.
Полученное значение среднего квадратического отклонения говорит о том, что в среднем в исследуемой совокупности конкретные величины признака отклоняются от своего среднего значения на 179.5д. ед.
25% торговых точек имеют доход менее 856.51 д. ед.; 25% торговых точек имеют доход более 856.51 д. ед., а остальные торговые точки имеют доход в пределах от 856.51 д. ед. до 1129.64 д. ед.
Так как значение коэффициента вариации меньше 33%, то исследуемую совокупность можно считать однородной.
В целом на основе полученных данных можно выдвинуть гипотезу о нормальном законе распределения дохода.
Задача 2
Имеются ежемесячные уровни дохода фирмы (тыс. у. е.) в 2008 г (приложение 2).
1. Графически отобразить динамику дохода.
2. Рассчитать цепные и базисные:
абсолютные приросты (изменения) уровней;
темпы роста;
темпы прироста (снижения) уровней,
средние значения ряда, темпа роста и прироста.
3. Провести сглаживание методом скользящей средней с базой равной четырем.
4. Осуществить аналитическое выравнивание сглаженной зависимости по линейному тренду.
5. Оценить адекватность и точность полученной линейной модели.
6. Осуществит точечный и интервальный прогноз дохода фирмы в январе 2009.
Решение:
Графически отобразим динамику дохода:
группировка кумулята точечный прогноз
Рассчитаем цепные и базисные показатели:
| Показатели | январь | февраль | март | апрель | май | июнь | июль | август | сентябрь | октябрь | ноябрь | декабрь |
| Абсолютный уровень ряда, тыс. у. е. | 25 | 32 | 40 | 26 | 32 | 61 | 49 | 44 | 55 | 74 | 73 | 62 |
| Цепные: | ||||||||||||
| Абсолютный прирост, тыс. у. е. | 7 | 8 | -14 | 6 | 29 | -12 | -5 | 11 | 19 | -1 | -11 | |
| Коэффициент роста | 1.28 | 1.25 | 0.65 | 1.231 | 1.906 | 0.803 | 0.898 | 1.25 | 1.345 | 0.986 | 0.849 | |
| Темп роста, % | 128 | 125 | 65 | 123.08 | 190.63 | 80.33 | 89.8 | 125 | 134.55 | 98.65 | 84.93 | |
| Темп прироста, % | 28 | 25 | -35 | 23.077 | 90.625 | -19.672 | -10.204 | 25 | 34.545 | -1.351 | -15.068 | |
| Абсолютное значение 1% прироста, тыс. у. е. | 0.25 | 0.32 | 0.4 | 0.26 | 0.32 | 0.61 | 0.49 | 0.44 | 0.55 | 0.74 | 0.73 | |
| Базисные: | ||||||||||||
| Абсолютный прирост, тыс. у. е. | 7 | 15 | 1 | 7 | 36 | 24 | 19 | 30 | 49 | 48 | 37 | |
| Коэффициент роста | 1.28 | 1.6 | 1.04 | 1.28 | 2.44 | 1.96 | 1.76 | 2.2 | 2.96 | 2.92 | 2.48 | |
| Темп роста, % | 128 | 160 | 104 | 128 | 244 | 196 | 176 | 220 | 296 | 292 | 248 | |
| Темп прироста, % | 28 | 60 | 4 | 28 | 144 | 96 | 76 | 120 | 196 | 192 | 148 | |
| Абсолютное значение 1% прироста, тыс. у. е. | 0.25 | 0.25 | 0.25 | 0.25 | 0.25 | 0.25 | 0.25 | 0.25 | 0.25 | 0.25 | 0.25 |
Цепные и базисные показатели динамики были определены по следующим формулам:
Характеристики
Тип файла документ
Документы такого типа открываются такими программами, как Microsoft Office Word на компьютерах Windows, Apple Pages на компьютерах Mac, Open Office - бесплатная альтернатива на различных платформах, в том числе Linux. Наиболее простым и современным решением будут Google документы, так как открываются онлайн без скачивания прямо в браузере на любой платформе. Существуют российские качественные аналоги, например от Яндекса.
Будьте внимательны на мобильных устройствах, так как там используются упрощённый функционал даже в официальном приложении от Microsoft, поэтому для просмотра скачивайте PDF-версию. А если нужно редактировать файл, то используйте оригинальный файл.
Файлы такого типа обычно разбиты на страницы, а текст может быть форматированным (жирный, курсив, выбор шрифта, таблицы и т.п.), а также в него можно добавлять изображения. Формат идеально подходит для рефератов, докладов и РПЗ курсовых проектов, которые необходимо распечатать. Кстати перед печатью также сохраняйте файл в PDF, так как принтер может начудить со шрифтами.
















