183004 (584549), страница 2
Текст из файла (страница 2)
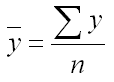
Далее определим средние показатели ряда динамики. Средний уровень ряда определим по формуле:
|
| = | 47.75 тыс. у. е. |
Средний абсолютный прирост определим по формуле:
|
| = | 3.36 тыс. у. е. |
Средний коэффициент роста определим по формуле:
Средний темп роста определим по формуле:
|
| = | 108.59% |
Средний темп прироста определим по формуле:
|
| = | 8.59% |
Среднюю величину абсолютного значения 1% прироста определим по формуле:
|
| = | 0.39 тыс. у. е. |
Анализ полученных результатов показывает, что средний размер дохода фирмы составил 47.75 тыс. у. е. при среднемесячном увеличении на 3.36 тыс. у. е. или на 8.59%. Значение 1% прироста возросло с 0.25 до 0.73 тыс. у. е.
Проведем сглаживание методом скользящей средней с базой равной четырем:
| Месяц | Доход фирмы, тыс. у. е. | Выровненные значения, тыс. у. е. |
| январь | 25 | - |
| февраль | 32 | 30.75 |
| март | 40 | 32.5 |
| апрель | 26 | 39.75 |
| май | 32 | 42 |
| июнь | 61 | 46.5 |
| июль | 49 | 52.25 |
| август | 44 | 55.5 |
| сентябрь | 55 | 61.5 |
| октябрь | 74 | 66 |
| ноябрь | 73 | - |
| декабрь | 62 | - |
Осуществим аналитическое выравнивание сглаженной зависимости по линейному тренду. Для этого построим вспомогательную таблицу:
| Порядковый № значения | Фактическое значение уровня ряда | Произведение порядкового № на фактическое значение | Квадрат порядкового № признака |
| 1 | 30.75 | 30.75 | 1 |
| 2 | 32.5 | 65 | 4 |
| 3 | 39.75 | 119.25 | 9 |
| 4 | 42 | 168 | 16 |
| 5 | 46.5 | 232.5 | 25 |
| 6 | 52.25 | 313.5 | 36 |
| 7 | 55.5 | 388.5 | 49 |
| 8 | 61.5 | 492 | 64 |
| 9 | 66 | 594 | 81 |
| Итого | 426.75 | 2403.5 | 285 |
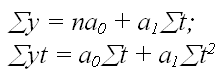
Система нормальных уравнений будет иметь вид:
|
|
Для определения параметров уравнения подставим в приведенную систему исходные данные и получим:
426.75 = 9a0+45a1
2403.5 = 45a0+285a1
Выравняем коэффициенты при а0, разделив первое уравнение на 9, а второе на 45 и получим:
47.42 = a0+5a1, 53.41 = a0+6.33a1
Вычтем из второго уравнения первое и определим значение а1: а1 = 4.5.
Подставим полученное значение а1 в одно из уравнений и определим значение а0: а0 = 24.92. Тогда уравнение будет иметь вид:
= 24.92+4.5*t.
Оценим адекватность и точность полученной линейной модели.
| № п/п | yi |
|
|
| А |
| 1 | 30.75 | 29.42 | 1.7689 | 277.89 | 4.33 |
| 2 | 32.5 | 33.92 | 2.0164 | 222.61 | 4.37 |
| 3 | 39.75 | 38.42 | 1.7689 | 58.83 | 3.35 |
| 4 | 42 | 42.92 | 0.8464 | 29.38 | 2.19 |
| 5 | 46.5 | 47.42 | 0.8464 | 0.85 | 1.98 |
| 6 | 52.25 | 51.92 | 0.1089 | 23.33 | 0.63 |
| 7 | 55.5 | 56.42 | 0.8464 | 65.29 | 1.66 |
| 8 | 61.5 | 60.92 | 0.3364 | 198.25 | 0.94 |
| 9 | 66 | 65.42 | 0.3364 | 345.22 | 0.88 |
| Итого | 426.75 | 426.78 | 8.8751 | 1221.65 | 20.33 |
| Среднее | 47.42 | - | - | - | 2.26 |
Остаточная дисперсия: 8.8751/9 = 0.9861.
Общая дисперсия: 1221.65/9 = 135.74.
Систематическая дисперсия: 135.74-0.9861 = 134.7539.
На систематическую дисперсию, определяемую тенденцией развития, приходится (134.7539/135.74) * 100 = 99.27% общей дисперсии, а остальные 0.73% вариации объясняются сезонными особенностями того или иного месяца и другими особенностями отдельных месяцев.
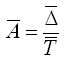
Следовательно, построенную модель адекватна, точность и адекватность модели подтверждает и средняя ошибка аппроксимации = 2,26%, что существенно меньше 10%.
Осуществим точечный и интервальный прогноз дохода фирмы в январе 2009 на основе полученной трендовой модели:
= 24.92+4.5*10 = 69.92 тыс. у. е.
Доверительный интервал прогноза определим по формуле:
где L - период упреждения (L = 1);
- точечный прогноз по модели на (n+L) - й момент времени, 69.92 тыс. у. е.;
n - количество наблюдений во временном ряду (9);
- стандартная ошибка оценки прогнозируемого показателя для числа параметров модели, равного двум;
tα - табличное значение критерия Стьюдента для уровня значимости α и для числа степеней свободы, равного n-2.
= 1.13.
5,59.
= 62.09 тыс. у. е.
= 77.75 тыс. у. е.
Таким образом, с вероятностью 95% можно утверждать, что в январе 2009 г. доход фирмы составит от 62.09 тыс. у. е. до 77.75 тыс. у. е.
Приложения
Приложение 1
647 1010 875 1115 1124 1044 1015 985 1155 1229 1251 796 981 1293 1046 907 691 1053 770 933 899 1161 638 721 979 1144 886 1163 1512 816 875 819 1325 1085 973 1105 1203 681 1062 1049 887 867 1172 1052 783 1104 1130 839 935 992
Приложение 2
| Месяц | |
| январь | 25 |
| февраль | 32 |
| март | 40 |
| апрель | 26 |
| май | 32 |
| июнь | 61 |
| июль | 49 |
| август | 44 |
| сентябрь | 55 |
| октябрь | 74 |
| ноябрь | 73 |
| декабрь | 62 |
Размещено на Allbest.ru
















