151258 (580557)
Текст из файла
САМАРСКИЙ ГОСУДАРСТВЕННЫЙ УНИВЕРСИТЕТ ПУТЕЙ СООБЩЕНИЯ
РЕФЕРАТ
На тему:
Электрические цепи переменного тока Явление резонанса.
Выполнил:
Антропов А. И.
Проверила:
Бородина А. В.
Самара 2009
Электрические цепи переменного тока. Явление резонанса
Явление резонанса относится к наиболее важным с практической точки зрения свойствам электрических цепей. Оно заключается в том, что электрическая цепь, имеющая реактивные элементы обладает чисто резистивным сопротивлением.
Общее условие резонанса для любого двухполюсника можно сформулировать в виде Im[Z]=0 или Im[Y]=0, где Z и Y комплексное сопротивление и проводимость двухполюсника. Следовательно, режим резонанса полностью определяется параметрами электрической цепи и не зависит от внешнего воздействия на нее со стороны источников электрической энергии.
Для определения условий возникновения режима резонанса в электрической цепи нужно:
-
найти ее комплексное сопротивление или проводимость;
-
выделить мнимую часть и приравнять нулю.
Все параметры электрической цепи, входящие в полученное уравнение, будут в той или иной степени влиять на характеристики явления резонанса.
Уравнение Im[Z]=0 может иметь несколько корней решения относительно какого-либо параметра. Это означает возможность возникновения резонанса при всех значениях этого параметра, соответствующих корням решения и имеющих физический смысл.
В электрических цепях резонанс может рассматриваться в задачах:
-
анализа этого явления при вариации параметров цепи;
-
синтеза цепи с заданными резонансными параметрами.
Электрические цепи с большим количеством реактивных элементов и связей могут представлять значительную сложность при анализе и почти никогда не используются для синтеза цепей с заданными свойствами, т.к. для них не всегда возможно получить однозначное решение. Поэтому на практике исследуются простейшие двухполюсники и с их помощью создаются сложные цепи с требуемыми параметрами.
Сдвиг фаз между током и напряжением. Понятие двухполюсника
Простейшими электрическими цепями, в которых может возникать резонанс, являются последовательное и параллельное соединения резистора, индуктивности и емкости. Соответственно схеме соединения, эти цепи называются последовательным и параллельным резонансным контуром. Наличие резистивного сопротивления в резонансном контуре по определению не является обязательным и оно может отсутствовать как отдельный элемент (резистор). Однако при анализе резистивным сопротивлением следует учитывать по крайней мере сопротивления проводников.
Последовательный резонансный контур представлен на рис. 1 а). Комплексное сопротивление цепи равно
Условием резонанса из выражения (1) будет
Таким образом, резонанс в цепи наступает независимо от значения резистивного сопротивления R когда индуктивное сопротивление xL = wL равно емкостному xC = 1/(wC) . Как следует из выражения (2), это состояние может быть получено вариацией любого их трех параметров - L, C и w , а также любой их комбинацией. При вариации одного из параметров условие резонанса можно представить в виде
Все величины, входящие в выражение (3) положительны, поэтому эти условия выполнимы всегда, т.е. резонанс в последовательном контуре можно создать
-
изменением индуктивности L при постоянных значениях C и w ;
-
изменением емкости C при постоянных значениях L и w ;
-
изменением частоты w при постоянных значениях L и C.
Наибольший интерес для практики представляет вариация частоты. Поэтому рассмотрим процессы в контуре при этом условии.
При изменении частоты резистивная составляющая комплексного сопротивления цепи Z остается постоянной, а реактивная изменяется. Поэтому конец вектора Z на комплексной плоскости перемещается по прямой параллельной мнимой оси и проходящей через точку R вещественной оси (рис. 1 б)). В режиме резонанса мнимая составляющая Z равна нулю и Z = Z = Zmin = R , j = 0 , т.е. полное сопротивление при резонансе соответствует минимальному значению.
Индуктивное и емкостное сопротивления изменяются в зависимости от частоты так, как показано на рис. 2. При частоте стремящейся к нулю xC®µ , xL® 0 , и j® - 90° (рис. 1 б)). При бесконечном увеличении частоты - xL®µ , xC ® 0 , а j® 90° . Равенство сопротивлений xLи xC наступает в режиме резонанса при частоте w0 .
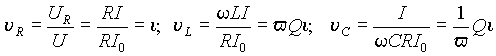
Рассмотрим теперь падения напряжения на элементах контура. Пусть резонансный контур питается от источника, обладающего свойствами источника ЭДС, т.е. напряжение на входе контура u = const, и пусть ток в контуре равен i=Imsinwt. Падение напряжения на входе уравновешивается суммой напряжений на элементах
Переходя от амплитудных значений к действующим, из выражения (4) получим напряжения на отдельных элементах контура
а при резонансной частоте
где
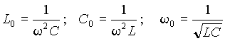
величина, имеющая размерность сопротивления и называемая волновым или характеристическим сопротивлением контура.
Следовательно, при резонансе
-
напряжение на резисторе равно напряжению на входе контура;
-
напряжения на реактивных элементах одинаковы и пропорциональны волновому сопротивлению контура;
-
соотношение напряжения на входе контура (на резисторе) и напряжений на реактивных элементах определяется соотношением резистивного и волнового сопротивлений.
Отношение волнового сопротивления к резистивному r /R = Q, называется добротностью контура, а величина обратная D=1/Q - затуханием. Таким образом, добротность числено равна отношению напряжения на реактивном элементе контура к напряжению на резисторе или на входе в режиме резонанса. Добротность может составлять несколько десятков единиц и во столько же раз напряжение на реактивных элементах контура будет превышать входное. Поэтому резонанс в последовательном контуре называется резонансом напряжений.
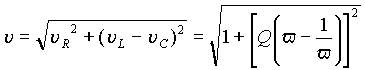
Рассмотрим зависимости напряжений и тока в контуре от частоты. Для возможности обобщенного анализа перейдем в выражениях (5) к относительным единицам, разделив их на входное напряжение при резонансе
U=RI0
где i =I/I0, uk=Uk/U, v = w /w0 - соответственно ток, напряжение и частота в относительных единицах, в которых в качестве базовых величин приняты ток I0, напряжение на входе U и частота w0 в режиме резонанса.
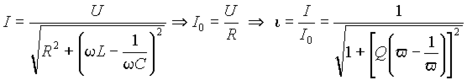
Абсолютный и относительный ток в контуре равен
Из выражений (7) и (8) следует, что характер изменения всех величин при изменении частоты зависит только от добротности контура. Графическое представление их при Q=2 приведено на рис. 3 в логарифмическом (а) и линейном (б) масштабах оси абсцисс.
На рис. 3 кривые A(v), B(v) и C(v) соответствуют напряжению на индуктивности, емкости и резисторе или току в контуре. Кривые A(v)=uL(v) и B(v)=uC(v) имеют максимумы, напряжения в которых определяются выражением
, (9)
а относительные частоты максимумов равны
(10)
При увеличении добротности Q ®µAmax = Bmax®Q, а v1®1.0 и v2 ®1.0.
С уменьшением добротности максимумы кривых uL(v ) и uС(v ) смещаются от резонансной частоты, а при Q2 < 1/2 исчезают, и кривые относительных напряжений становятся монотонными.
Напряжение на резисторе и ток в контуре имеют при резонансной частоте максимум равный 1,0. Если на оси ординат отложить абсолютные значения тока или напряжения на резисторе, то для различных значений добротности они будут иметь вид, показанный на рис. 4. В целом они дают представление о характере изменения величин, но удобнее делать сопоставление в относительных единицах.
На рис. 5 представлены кривые рис. 4 в относительных единицах. Здесь видно, что увеличение добротности влияет на скорость изменения тока при изменении частоты.
Можно показать, что разность относительных частот, соответствующих значениям относительного тока
, равна затуханию контура D=1/Q =v2-v1.
Перейдем теперь к анализу зависимости фазового сдвига между током и напряжением на входе контура от частоты. Из выражения (1) угол j равен
Как и следовало ожидать, значение j определяется добротностью контура. Графически эта зависимость для двух значений добротности показана на рис. 6 .
При уменьшении частоты значение фазового сдвига стремится к значению - 90° , а при увеличении к +90° , проходя через нулевое значение при частоте резонанса. Скорость изменения функции j (v ) определяется добротностью контура.
Последовательный резонансный контур может питаться также от источника электрической энергии, обладающего свойствами источника тока, т.е. обеспечивающего постоянный ток в нагрузке. Выражения (5) остаются справедливыми и в этом случае, но ток в них будет константой. Поэтому постоянным будет падение напряжения на резисторе UR = RI = const. Разделив все напряжения на это базовое значение, получим представление их в относительных единицах в виде
В выражении (12) добротность также есть отношение волнового сопротивления к резистивному Q=r /R .
Общее относительное падение напряжения на входе контура является гипотенузой прямоугольного треугольника напряжений, поэтому
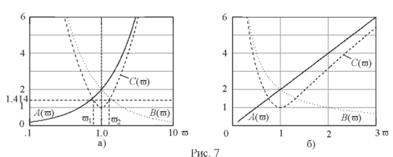
Функции uL(v ) и uС(v ) монотонны, а u(v ) имеет минимум u =1.0 при резонансной частоте, когда uL(v ) -uС(v ) = 0. В случае стремления относительной частоты к бесконечности и к нулю, напряжения на одном из реактивных элементов стремится к бесконечности. При резонансной частоте они одинаковы и их отношение ко входному напряжению равно добротности.
Графическое представление функций uL(v )=A(v ), uС(v )=B(v ) и u(v )=С(v ) при добротности Q=2 дано на рис. 7 в логарифмическом (а) и линейном (б) масштабах оси частот.
Для функции u (v )=С(v ) можно показать, что разность относительных частот v1 и v2 , соответствующих значениям
, равна затуханию контура D=1/Q=v2-v1.
Фазовые характеристики контура при питании от источника тока ничем не отличаются от характеристик режима питания от источника ЭДС (рис. 6).
Сопоставляя частотные характеристики при питании последовательного резонансного контура от источника тока с характеристиками при питании его от источника ЭДС, можно сделать следующие выводы:
-
частотные характеристики напряжений и тока контура принципиально отличаются друг от друга, т.к. при питании от источника ЭДС сумма напряжений остается постоянной и происходит только их перераспределение между элементами, а при питании от источника тока падения напряжения на каждом элементе формируются независимо;
-
режимы резонанса для обоих случаев полностью идентичны;
-
фазовые частотные характеристики для обоих случаев также идентичны.
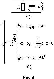
Режим резонанса можно создать также при параллельном соединении R, L и C (рис. 8а)). Такая цепь называется параллельным резонансным контуром. В этом случае условие резонанса удобнее сформулировать для мнимой части комплексной проводимости в виде
Следовательно, для параллельного контура возможны те же вариации параметров, что и для последовательного и выражения для них будут идентичными
При изменении частоты питания изменяется только мнимая составляющая вектора комплексной проводимости Y , поэтому его конец перемещается на комплексной плоскости по прямой параллельной мнимой оси и проходящей через точку G=1/R , соответствующую вещественной составляющей проводимости (рис. 8 б)). При частоте резонанса модуль вектора минимален, а при стремлении частоты к нулю и бесконечности, его значение стремится к бесконечности. При этом угол сдвига фаз между током и напряжением j на входе контура стремится к 90° при w® 0 и к - 90° при w®µ .
Для параллельного соединения токи в отдельных элементах можно представить через проводимости и общее падение напряжения U в виде
Характеристики
Тип файла документ
Документы такого типа открываются такими программами, как Microsoft Office Word на компьютерах Windows, Apple Pages на компьютерах Mac, Open Office - бесплатная альтернатива на различных платформах, в том числе Linux. Наиболее простым и современным решением будут Google документы, так как открываются онлайн без скачивания прямо в браузере на любой платформе. Существуют российские качественные аналоги, например от Яндекса.
Будьте внимательны на мобильных устройствах, так как там используются упрощённый функционал даже в официальном приложении от Microsoft, поэтому для просмотра скачивайте PDF-версию. А если нужно редактировать файл, то используйте оригинальный файл.
Файлы такого типа обычно разбиты на страницы, а текст может быть форматированным (жирный, курсив, выбор шрифта, таблицы и т.п.), а также в него можно добавлять изображения. Формат идеально подходит для рефератов, докладов и РПЗ курсовых проектов, которые необходимо распечатать. Кстати перед печатью также сохраняйте файл в PDF, так как принтер может начудить со шрифтами.














