151258 (580557), страница 2
Текст из файла (страница 2)
Пусть в режиме резонанса падение напряжения на входе контура равно U0, тогда токи в отдельных элементах будут
где
волновая или характеристическая проводимость контура. Как следует из выражений (17), при резонансе токи в реактивных элементах одинаковы, а входной ток равен току в резисторе R. Отношение Q=g /G называется добротностью, а величина обратная D=1/Q - затуханием параллельного резонансного контура. Таким образом, добротность равна отношению токов в реактивных элементах контура к току на входе или в резисторе. В электрических цепях добротность может достигать значений в несколько десятков единиц и во столько же раз токи в индуктивности и емкости будут превышать входной ток. Поэтому резонанс в параллельном контуре называется резонансом токов.
Падение напряжения на входе контура U при питании его от источника, обладающего свойствами источника тока и формирующего ток с действующим значением I, будет равно
Отсюда, напряжение на входе в режиме резонанса U0 = I/G . Тогда ток в контуре - I=U0G. Перейдем к относительным единицам в выражениях (16) и (18), приняв в качестве базовых значений напряжение на входе при резонансе и ток контура, выраженный через это напряжение. Тогда получим
Выражения (18) полностью совпадают с выражениями (7) и (8) для частотных характеристик последовательного контура, если в них относительные токи и напряжения поменять местами. Следовательно, характеристики рис. 3 будут связаны с выражениями (18) следующим образом: A(v)=iС(v); B(v)=iL(v) и C(v)=iR(v)=u (v ). Для относительных токов iС , iL и iR справедливыми будут также все закономерности отмеченные для относительных напряжений последовательного контура.
Из выражения (14) рассмотренную выше качественно фазовую частотную характеристику можно представить аналитически в виде
т.е. она совпадает с характеристикой последовательного контура, но имеет противоположный знак.
Допустим теперь, что параллельный контур питается от источника со свойствами источника ЭДС. В режиме резонанса входной ток также будет равен току через резистор
I0=U/R=UG.
Соотнесем все выражения (16) с этим током, приняв его за базовую величину. Тогда
Относительный входной ток i можно определить, пользуясь тем, что в треугольнике токов он является гипотенузой
Выражения (19) и (20) для относительных токов совпадают с выражениями (12) и (13) для относительных напряжений последовательного контура. Следовательно, на рис. 7 - iC(v )=A(v ), iL(v )=B(v ) и iR(v )= i (v )=C(v ).
Сравнивая частотные характеристики при питании параллельного резонансного контура от источника тока с характеристиками при питании его от источника ЭДС, можно сделать выводы аналогичные тем, которые были сделаны для последовательного контура:
-
частотные характеристики токов и напряжения контура принципиально отличаются друг от друга, т.к. при питании от источника тока сумма токов остается постоянной и происходит только их перераспределение между элементами, а при питании от источника ЭДС токи в каждом элементе формируются независимо;
-
режимы резонанса для обоих случаев полностью идентичны;
-
фазовые частотные характеристики для обоих случаев также идентичны.
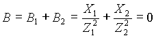
Параллельный резонансный контур может содержать резистивные сопротивления (рис. 10). В этом случае комплексные проводимости ветвей будут равны
Y1=G1+jB1; Y2=G2+jB1 ,
а общая проводимость
Y = Y1 + Y2= G1+G2+j(B1+B2).
Условием резонанса будет:
Раскрывая выражение (23) через параметры цепи, получим
,
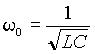
откуда резонансная частота wр –
где
резонансная частота в простейшем параллельном контуре (рис. 8 а)), а
волновое сопротивление простейшего параллельного контура.
Анализ выражения (21) показывает, что при разных резистивных сопротивленияхR1№R2резонанс возможен только, если оба сопротивления одновременно больше или меньше r. В противном случае выражение под корнем отрицательно, резонансная частота мнимая и не имеет физического смысла.
Если R1 = R2, то wр= w0, т.е. резонанс наступает при той же частоте, что и в простейшем контуре без потерь (рис. 8 а)).
Однако при этом условии возможен вариант, когда R1 = R2 = r . В этом случае подкоренное выражение в (21) становится неопределенным (0/0) и требуется его дополнительный анализ.
Ветви контура соединены параллельно и общее падение напряжения на них одинаково и равно сумме падений напряжения на элементах ветви. При любых изменениях частоты угол между напряжением на резисторе и реактивном элементе составляет 90° и т.к. сумма их постоянна и равна входному напряжению, то геометрическим местом точек конца вектора падения напряжения на резисторе будет полуокружность (рис. 11 а)). Причем, векторы ветви с индуктивностью будут вписываться в нижнюю полуокружность, а ветви с емкостью - в верхнюю. Входной ток I равен сумме токов ветвей I1 и I2 и резонанс наступает, если его направление совпадает с вектором входного напряжения U.
Разделим комплексные числа, соответствующие векторам напряжений рис. 11 а), на R = R1 = R2 = r и построим векторную диаграмму токов для режима резонанса (рис. 11 б)), т.е. так, чтобы сумма векторов I1 и I2 была равна U/R. Параллелограмм abcd имеет два противоположных прямых угла, поэтому два других угла j1 + j2 = p /2 . То, что сумма углов j1 и j2 равна 90° доказывается также и тем, что
.
Таким образом, при любой частоте векторы токов I1 и I2 образуют прямоугольник, вершины которого расположены на окружности, а диагональю является вектор U/R. Отсюда следует, что при всех частотах входной ток одинаков, совпадает по направлению с напряжением и полное сопротивление цепи чисто резистивное и равно r.















