150505 (580453)
Текст из файла
30
Механическая система под действием сил тяжести приходит в движение из состояния покоя, начальное положение системы показано на рис. 1. Учитывая сопротивление качению тела 3, катящегося без скольжения, пренебрегая другими силами сопротивления и массами нитей, предполагаемых нерастяжимыми, определить скорость тела 1 в тот момент времени, когда пройденный путь станет равным s.
В задании приняты следующие обозначения: m1, m2, m3, m4 – массы тел 1, 2, 3, 4; R3 – радиус большой окружности; δ – коэффициент трения качения.
Необходимые для решения данные приведены в таблице 1. Блоки и катки считать сплошными однородными цилиндрами. Наклонные участки нитей параллельны соответствующим наклонным плоскостям.
Таблица 1.
| m1, кг | m2, кг | m3, кг | m4, кг | R3 | δ, см | s, м |
| m | 1/2m | 5m | 4m | 25 | 0,20 | 2 |
Решение
Применим теорему об изменении кинетической энергии системы:
(1)
где T0 и T – кинетическая энергия системы в начальном и конечном положениях;
- сумма работ внешних сил, приложенных к системе;
- сумма работ внутренних сил системы.
Для рассматриваемых систем, состоящих из абсолютно твердых тел, соединенных нерастяжимыми нитями,
Так как в начальном положении система находится в покое, то Т0=0.
Следовательно, уравнение (1) принимает вид:
(2)
Кинетическая энергия рассматриваемой системы Т в конечном ее положении (рис.2) равна сумме кинетических энергий тел 1, 2, 3 и 4:
Т = Т1 + Т2 + 4Т3 + Т4. (3)
Кинетическая энергия груза 1, движущегося поступательно,
(4)
Кинетическая энергия барабана 2, совершающего вращательное движение,
, (5)
где J2x – момент инерции барабана 2 относительно центральной продольной оси:
, (6)
2 – угловая скорость барабана 2:
.(7)
После подстановки (6) и (7) в (5) выражение кинетической энергии барабана 2 принимает вид:
. (8)
Кинетическая энергия колеса 3, совершающего плоскопараллельное движение:
, (9)
где VC3 – скорость центра тяжести С3 барабана 3, J3x – момент инерции барабана 3 относительно центральной продольной оси:
, (10)
3 – угловая скорость барабана 3.
Мгновенный центр скоростей находится в точке СV. Поэтому
, (11)
. (12)
Подставляя (10), (11) и (12) в (9), получим:
. (13)
Кинетическая энергия груза 4, движущегося поступательно
. (14)
Кинетическая энергия всей механической системы определяется по формуле (3) с учетом (4), (8), (13), (15):
Подставляя и заданные значения масс в (3), имеем:
или
. (15)
Найдем сумму работ всех внешних сил, приложенных к системе, на заданном ее перемещении (рис. 3).
Работа силы тяжести
:
(16)
Работа силы тяжести
:
(17)
Работа пары сил сопротивления качению
:
(18)
где
(19)
(20)
(21)
Подставляя (19), (20) и (21) в (18), получаем:
(22)
Работа силы тяжести
:
(17)
Работа силы тяжести
:
(23)
Сумма работ внешних сил определится сложением работ, вычисляемых по формулам (17) – (24):
.
Подставляя заданные значения, получаем:
Или
. (24)
Согласно теореме (2) приравняем значения Т и
, определяемые по формулам (16) и (24):
,
откуда выводим
м/с.
Дано:
R2=30; r2=20; R3=40; r3=40
X=C2t2+C1t+C0
При t=0 x0=7
=0
t2=2 x2=557 см
X0=2C2t+C1
C0=7
C1=0
557=C2 *52+0*5+7
25C2=557-7=550
C2=22
X=22t2+0t+7
=V=22t
a=
=22
V=r2
2
R2
2=R3
3
3=V*R2/(r2*R3)=(22t)*30/20*40=0,825t
3=
3=0,825
Vm=r3*
3=40*(0,825t)=33t
atm=r3
=0,825t
atm=R3
=40*0,825t=33t
anm=R3
23=40*(0,825t)2=40*(0,825(t)2
a=
***********************************
Дано :R2=15; r2=10; R3=15; r3=15
X=C2t2+C1t+C0
При t=0 x0=6
=3
t2=2 x2=80 см
X0=2C2t+C1
C0=10
C1=7
80=C2 *22+3*2+6
4C2=80-6-6=68
C2=17
X=17t2+3t+6
=V=34t+3
a=
=34
V=r2
2
R2
2=R3
3
3=V*R2/(r2*R3)=(34t+3)*15/10*15=3,4t+0,3
3=
3=3,4
Vm=r3*
3=15*(3,4t+0,3)=51t+4,5
atm=r3
=3,4t
atm=R3
=15*3,4t=51t
anm=R3
23=15*(3,4t+0,3)2=15*(3,4(t+0,08)2
a=
Решение второй задачи механики
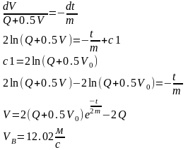
Дано:
m=4.5 кг; V0=24 м/с;
R=0.5V H;
t1=3 c;
f=0.2;
Q=9 H; Fx=3sin(2t) H.
Определить: x = f(t) – закон движения груза на участке ВС
Решение:
1) Рассмотрим движение на промежутке АВ
учитывая, что R=0.5V H;
Разделяем переменные и интегрируем
2) Рассмотрим движение на промежутке ВС (V0=VB)
Дано:
m=36 кг
R=6 см=0,06 м
H=42 см=0,42 м
yC=1 см=0,01 м
zС=25 см=0,25 м
АВ=52 см=0,52
М=0,8 Н·м
t1=5 с
Найти реакции в опорах А и В.
Решение
Для решения задачи используем систему уравнений, вытекающую из принципа Даламбера:
(1)
Для определения углового ускорения ε из последнего уравнения системы (1) найдем момент инерции тела относительно оси вращения z по формуле
, (2)
где Jz1− момент инерции тела относительно центральной оси Сz1, параллельной оси z; d – расстояние между осями z и z1.
Воспользуемся формулой
, (3)
где α, , - углы, составленные осью z1 с осями , , соответственно.
Так как α=90º, то
. (4)
Определим моменты инерции тела
,
как однородного сплошного цилиндра относительно двух осей симметрии ,
;
.
Вычисляем
;
.
Определяем угол из соотношения
;
;
.
Угол равен
;
.
По формуле (4), вычисляем
.
Момент инерции тела относительно оси вращения z вычисляем по формуле (2):
,
где d=yC;
.
Из последнего уравнения системы (1)
;
.
Угловая скорость при равноускоренном вращении тела
,
поэтому при ω0=0 и t=t1=5 c
.
Для определения реакций опор следует определить центробежные моменты инерции
и
тела.
, так как ось х, перпендикулярная плоскости материальной симметрии тела, является главной осью инерции в точке А.
Центробежный момент инерции тела
определим по формуле
,
где
, т.е.
.
Тогда
.
Подставляя известные величины в систему уравнений (1), получаем следующие равенства
Отсюда
Ответ:
,
,
,
.
Определение скорости и ускорения точки по заданным уравнениям ее движения
Задание: по заданным уравнениям движения точки М установить вид ее траектории и для момента времени t = t1 (с) найти положение точки на траектории, ее скорость, касательное и нормальное ускорения, а также радиус кривизны траектории.
Исходные данные:
x=5cos(t2/3); y= -5sin(t2/3); (1)
t1=1 (x и y – в см, t и t1 – в с).
Решение:
Уравнения движения (1) можно рассматривать как параметрические уравнения траектории точки. Получим уравнения траектории в координатной форме.
x2 + y2 = (5cos(t2/3))2 + (-5sin(t2/3))2;
Получаем x2 + y2 = 25, т. е. траекторией точки является окружность, показанная на рис. 1.
Вектор скорости точки
(2)
Вектор ускорения точки
Здесь Vx , Vy , ax, ay – проекции скорости и ускорения точки на соответствующие оси координат.
Найдем их, дифференцируя по времени уравнения движения (1)
(3)
По найденным проекциям определяем модуль скорости:
V=(Vx2 + Vy2); (4)
и модуль ускорения точки:
а =
(ах2 +ау2). (5)
Модуль касательного ускорения точки
а=|dV/dt|, (6)
а= |(Vxax+Vyay)/V| (6’)
Знак “+” при dV/dt означает, что движение точки ускоренное, знак “ - “ - что движение замедленное.
Модуль нормального ускорения точки
ап= V2/p; (7)
p – радиус кривизны траектории.
Модуль нормального ускорения точки можно найти и следующим образом:
an =
(а2 -a2); (8)
После того как найдено нормальное ускорение по формуле (8), радиус кривизны траектории в рассматриваемой точке определяется из выражения:
p=V2/ an. (9)
Результаты вычислений по формулам (3)-(6), (8), (9) для момента времени t1=1с приведены ниже в таблице
| Координаты см | Скорость см/с | Ускорение, см/с2 | Радиус см | ||||||||||
| х | у | Vx | Vy | V | ax | ay | a | a | an | p | |||
| 2.5 | -2.53 | -5/3 | -5/3 | 10/3 | -20.04 | 13.76 | 24.3 | 10.5 | 21.9 | 5 | |||
Ниже на рисунке показано положение точки М в заданный момент времени.
Дополнительное задание:
z=1.5t x=5cos(t2/3); y= -5sin(t2/3); t1=1 (x и y – в см, t и t1 – в с).
Найдем скорости и ускорения дифференцируя по времени уравнения движения
По найденным проекциям определяем модуль скорости:
V=(Vx2 + Vy2+Vz2);
и модуль ускорения точки:
Характеристики
Тип файла документ
Документы такого типа открываются такими программами, как Microsoft Office Word на компьютерах Windows, Apple Pages на компьютерах Mac, Open Office - бесплатная альтернатива на различных платформах, в том числе Linux. Наиболее простым и современным решением будут Google документы, так как открываются онлайн без скачивания прямо в браузере на любой платформе. Существуют российские качественные аналоги, например от Яндекса.
Будьте внимательны на мобильных устройствах, так как там используются упрощённый функционал даже в официальном приложении от Microsoft, поэтому для просмотра скачивайте PDF-версию. А если нужно редактировать файл, то используйте оригинальный файл.
Файлы такого типа обычно разбиты на страницы, а текст может быть форматированным (жирный, курсив, выбор шрифта, таблицы и т.п.), а также в него можно добавлять изображения. Формат идеально подходит для рефератов, докладов и РПЗ курсовых проектов, которые необходимо распечатать. Кстати перед печатью также сохраняйте файл в PDF, так как принтер может начудить со шрифтами.
















