150306 (580435)
Текст из файла
17
Содержание
Вступление
Стационарное движение жидкости между двумя бесконечными неподвижными пластинами
Стационарное движение жидкости между двумя бесконечными пластинами, двигающимися относительно друг друга.
Выводы
Литература
Вступление.
Всем известно, что тепловое движение существенно сказывается на результатах большого числа физических явлений. Теоретическое описание во всех случаях можно провести с помощью метода временных корреляционных функций молекулярных переменных. Точный расчёт не возможен из-за трудности описания систем с большим числом частиц. Поэтому анализ опытных данных описывают чаще всего на модельных представлениях.
Было подтверждено наличие коллективных движений атомов жидкости. Коллективный характер дальнодействующих корреляций ярко проявляется в степенном убывании временной корреляционной функции их скорости. Этот результат стимулировал большой поток работ по исследованию долгоживущих корреляций в неупорядоченных системах и их проявлений в кинетических процессах.
В настоящее время накоплен большой экспериментальный материал, который убедительно показывает, что реологические свойства жидкостей в микро- и макрообъемах могут существенно различаться. Многочисленные эксперименты свидетельствуют о том, что сдвиговая вязкость некоторых жидкостей μ, вычисленная из экспериментальных данных по формулам классической гидродинамики Навье-Стокса, теряет смысл материальной постоянной вблизи твердой поверхности. Она становится эффективной величиной μе, зависящей от расстояния до стенки и стремится при его уменьшении к конечному пределу – граничной вязкости, которая является материальной характеристикой данной пары жидкость-поверхность и может в несколько раз отличаться от стенки (в объеме).
Многочисленные эксперименты говорят о том, что около твердой поверхности изменяется структура жидкости (плотность, упаковка и ориентация молекул) и вращательная подвижность молекул жидкости. Под действием сил межмолекулярного взаимодействия вблизи твердой поверхности образуется граничный слой ориентированных молекул жидкости, который отделен от твердой поверхности еще одним сверхтонким твердоподобным слоем жидкости, толщина которого ~ 10 –3 микрона. Здесь жидкость теряет текучесть и приобретает свойства пластичности и упругости. Границы между слоями плавные, но характерные толщины определяются из опыта. Более подробно описано в работе [4].
Феноменологическое описание теплового движения жидкости, состоящей из несферических молекул, и изучение спектрального состава рассеянного света было выполнено М. Леонтовичем [7]. В теории предполагается, что состояние жидкости в любой ее точке можно описать набором обычных гидродинамических переменных (плотность, давление, температура и скорость) и тензором анизотропии, который характеризуется отклонением осей анизотропных молекул элемента объёма жидкости от изотропного распределения.
Молекулы, которые совершают в жидкости вращательное движение, характеризуются тензором моментов инерции. Поэтому вводят локальный тензор инерции элемента объёма. В равновесном состоянии тензор инерции имеет некоторое значение, которое может зависеть от давления и температуры. Если давление и температура изменяются, то новое равновесное значение тензора моментов инерции достигается не мгновенно, а поэтому его можно рассматривать как независимую переменную, определяющую состояние жидкости. Отклонение этого тензора от равновесного значения должно эффектно описывать механическую анизотропию жидкости [7].
В настоящей работе будет поставлена задача о стационарном движении жидкости, в которой наряду с локальной скоростью движения u(r,t) учитывается и тензор моментов инерции Iab(r,t), и будут найдены решения некоторых задач. Эти уравнения могут быть использованы для исследования корреляционной функции флуктуаций тензора моментов инерции жидкой частицы в лагранжевой формулировке уравнений гидродинамики. Такая корреляционная функция является гидродинамическим аналогом молекулярной корреляционной функции, которая используется для описания опытов по деполяризированному рассеянию света и т.п., а также нужна для анализа механизма поворотных тепловых движений анизотропных молекул в жидкости.
Расширенная система гидродинамических уравнений в работе [5] имеет вид:
Систему замыкают уравнения непрерывности, роста энтропии и уравнение состояния:
Независимые феноменологические коэффициенты η1, ζ1, η3, μ1 – коэффициенты первой, второй и третьей (вращательной ) вязкости и коэффициент диффузии внутреннего момента те же, что и в [2] коэффициенты η2, η12, η21, μ2 – новые, появившиеся из-за дополнительной гидродинамической переменной. Также будем считать, что все вязкости постоянные величины и не меняются вблизи поверхности.
В движении жидкости будем учитывать только влияние наличия тензора момента инерции
:
(1)
Мы будем рассматривать стационарное движение жидкости при постоянной температуре. Тогда, если учесть, что
– коэффициент диффузии тензорной величины
,
,
, получим:
(2)
С
тационарное движение жидкости между двумя бесконечными неподвижными пластинами.
Пусть пластины расположенными на расстоянии 2а друг от друга.
Выберем начало координат между пластинами на расстоянии а от каждой.
Скорость жидкости должна иметь вид: u = u(0,0,uz(x)), где
. Условие
выполняется автоматически. Будем считать, что в системе поддерживается постоянный градиент давления:
. Видно, что из всех компонент тензора момента инерции остаётся всего одна ненулевая
. Система уравнений, описывающая стационарное состояние нашей системы имеет вид:
(3)
Третье и четвертое уравнения есть краевые условия для скорости и тензора момента инерции, где α и β – некоторые постоянные величины.
Продифференцируем второе уравнение по x и подставим вместо второй производной скорости её выражение из первого уравнения:
(3а)
Введем вектор дивергенции избыточной части тензора инерции, как qz:
, (4)
тогда уравнение (3а) примет вид
(5)
Произведем замены:
;
;
(6)
и (5) примет вид:
(7)
Решение однородной части является комбинация гиперболических синуса и косинуса. Учет неоднородности дает:
, (8)
где С1 и С2 – константы интегрирования.
Подставим (8) в первое уравнение системы (3) и вводя обозначение
находим скорость uz:
(9)
(10)
, (11)
где К1 и К2 – константы интегрирования.
Подставим (10) во второе уравнение системы (3):
(12)
Решение:
, (13)
где М1 и М2 –константы интегрирования.
Если подставить (13) в первое уравнение системы (3) то можно убедиться, что М1 = М2 = 0.
Для простоты введём обозначение:
(14)
Теперь систему (3) перепишем:
(15)
Используем краевые условия для скорости:
(16.1)
(16.2)
и для тензора момента инерции:
(16.3)
16.4)
Прибавив и отняв (16.1) и (16.2), (16.3) и (16.4), получим систему для четырёх неизвестных констант интегрирования:
(17)
(18)
Из четвертого уравнения системы (18)
(19)
Третье уравнение системы (18):
О
бозначим
, (20)
Тогда все неизвестные константы находим из системы:
(21)
Теперь, если будем считать, что нет градиента давления или он равен нулю, то есть нет причины, которая вызывает движение жидкости, то все константы равны нулю и соответственно uz(x)=0 и δIab(x)=0. Этого и требовалось ожидать.
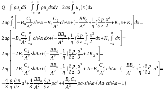
Рассчитаем расход вещества, то есть количество вещества, проходящее через поперечное сечение в форме квадрата со стороной 2а за единицу времени:
Расход жидкости в классическом случае через тоже поперечное сечение, то есть если не учитывать влияние тензора момента инерции, равен:
(22)
То, что Q(δI=0) отрицательно, объясняется тем, что выбирая за положительное направление скорости направление оси z, мы тем самым задаем отрицательный градиент давления.
Найдем отношение Q к Q(δI=0).
Видно, что расход жидкости уменьшается, при наличии тензора момента инерции, что видимо связано с торможением жидкости из-за вращения молекул.
Стационарное движение жидкости между двумя бесконечными пластинами, двигающимися относительно друг друга.
П
усть пластины расположены на расстоянии а друг от друга. Выберем одну из пластин неподвижной, а вторую двигающейся относительно первой со скоростью V(a)=аГ.
Начало координат расположим на нижней неподвижной плоскости.
Общее решение будет идентично с решение первой задачи. Здесь мы будем иметь другие граничные условия. Поэтому система уравнений, описывающая стационарное течение в нашем случае имеет вид:
(23)
Используем краевые условия, в результате чего получим новую систему:
(24)
Характеристики
Тип файла документ
Документы такого типа открываются такими программами, как Microsoft Office Word на компьютерах Windows, Apple Pages на компьютерах Mac, Open Office - бесплатная альтернатива на различных платформах, в том числе Linux. Наиболее простым и современным решением будут Google документы, так как открываются онлайн без скачивания прямо в браузере на любой платформе. Существуют российские качественные аналоги, например от Яндекса.
Будьте внимательны на мобильных устройствах, так как там используются упрощённый функционал даже в официальном приложении от Microsoft, поэтому для просмотра скачивайте PDF-версию. А если нужно редактировать файл, то используйте оригинальный файл.
Файлы такого типа обычно разбиты на страницы, а текст может быть форматированным (жирный, курсив, выбор шрифта, таблицы и т.п.), а также в него можно добавлять изображения. Формат идеально подходит для рефератов, докладов и РПЗ курсовых проектов, которые необходимо распечатать. Кстати перед печатью также сохраняйте файл в PDF, так как принтер может начудить со шрифтами.
















