125957 (577938), страница 3
Текст из файла (страница 3)
Внедрение абразивной частицы в обрабатываемую поверхность под острым углом сопровождается возникновением крутящего момента вокруг центра тяжести частицы. При этом энергия вращения частицы при ударе составляет менее 1 % энергии ее поступательного движении. Поэтому при расчетах энергии, потерянной частицей при ударе, ее вращением можно пренебречь.
При внедрении частицы происходит в общем случае упруго-пластическое деформирование обрабатываемой поверхности, причем общая глубина внедрения будет равна сумме упругой и пластической составляющих деформаций. На начальном этапе внедрения происходит упругое деформирование. Очаг пластической деформации зарождается при достижении максимальными напряжениями в центре площадки контакта (согласно теории Герца) критического значения. Расчеты показывают, что для большинства металлов и сплавов, применяемых в авиадвигателестроении, величина упругого внедрения на несколько порядков меньше радиуса скругления вершин абразивной частицы. Поэтому, пренебрегая упругой деформацией, можно считать, что обрабатываемая поверхность представляет собой пластическое полупространство. Для анализа взаимодействия абразивной частицы с поверхностью примем следующие допущения:
1 ) абразивная частица считается абсолютно жесткой; в момент удара частица не разрушается;
2) частица представляет собой шар с радиусом R;
3) масса обрабатываемой заготовки по сравнению с массой частицы бесконечно велика; волновыми процессами при ударе пренебрегаем;
4) учитываем только скольжение частицы но поверхности; вращением и возможным перекатыванием частицы при ударе пренебрегаем;
5) обрабатываемая поверхность представляет собой пластическое полупространство.
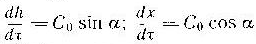
Косой удар жесткой абразивной частицы по пластическому полупространству описывается системой уравнений:
где m1- масса частицы; h - глубина внедрения мм;τ—время с; N — нормальное усилие Н; F касательное усилие Н.
Контактное взаимодействие и относительное движение соударяющихся тел в значительной степени определяются характером их поверхностей. Интегральной оценкой затрат энергии, связанных с касательиым перемещением частицы, может быть коэффициент трения. Считая, что касательное усилие обусловлено только трением (F=f(N)) и силы трения не влияют на распределения давления на площади контакта, систему (3.1) можно записать в виде
В начальный момент времени
Тогда
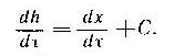
откуда дли траектории движения частицы получим
где Со- скорость частицы в начальный момент удара; а — угол атаки рад.
Для определения массового съема материала воспользуемся правилом: при установившемся гидроабразивном износе отношение среднего объема (массы) удаленного при ударе одиночной частицы материала к среднему объему (массе) пластически выдавленного материала (ΔVд) есть величина постоянная
Коэффициент к, характеризующий связь между деформацией и износом, не зависит от времени обработки, скорости абразивных частиц и их концентрации в суспензии, а определяется только пластическими свойствами обрабатываемого материала и условиями деформирования (размерами абразивных частиц). Соотношение (3.3) получено при исследовании гидроабразивного износа частицами, внедряющимися в поверхность под углом 90°. Характер деформационных повреждений поверхности при косом ударе абразивной частицы зависит от ее угла атаки, поэтому коэффициент к будет являться функцией a и R. Выражение (3.3) запишем в виде
где Kα,R функция угла атаки и радиуса частицы.
Средний объем пластически выдавленного материала можно определить, если предположить, что он равен объему лунки, образовавшейся на обрабатываемой поверхности в результате удара абразивной частицы. Для определения объема лунки рассмотрим взаимодействие абразивной частицы с поверхностью. В общем случае удар абразивной частицы может быть разделен на два этапа: этап внедрения и этап вытеснения. Этап внедрения начинается в момент касания частицы с поверхностью и заканчивается, когда нормальная составляющая скорости частицы становится рамной нулю (dh/dτ = 0).
При струйной ГАО различных материалов характер зависимостей массового съема от технологических параметров не изменяется. Это позволяет значительно сократить объем экспериментальных исследований, используя для для определения массового съема металла зависимости, полученные для какого-либо конкретного материала. Для исследования группы титановых и жаропрочных сплавов может быть использована формула:
Где G-массовый съем для требуемого материала, мм, Km-коэффициент массового съема, зависящий от марки обрабатываемого материала Gt-массовый съем металла при обработке титановых сплавов, мм.
Зависимость массового съема металла от угла атаки носит переменный характер (см. рис. 3.14). С увеличением α от 15 до 45º съем металла возрастает, достигая максимума при а = 45", затем наблюдается снижение съема, а в диапазоне 75—90 º массовый съем изменяется не более, чем на 5...7 %. Такая зависимость сохраняется при работе с абразивными материалами разной зернистости. При увеличении угла атаки от 40 до 50° съем металла изменяется на 5...10% (при ра — 0,4 МПа). Уменьшение размеров абразивных частиц и давления воздуха на входе и активное сопло приводит к некоторому расширению зоны максимального съема (до 35-55°), что имеет существенное значение при обработке криволинейных поверхностей.
6. КАЧЕСТВО ПОВЕРХНОСТНОГО СЛОЯ ПОСЛЕ СТРУЙНОЙ ГИДРОАБРАЗИВНОЙ ОБРАБОТКИ
Состояние поверх костного слоя после механических и физико-механических методов обработки характеризуется в основном параметрами шероховатости, остаточными напряжениями и наклепом (глубиной и степенью упрочнения). Поверхностный слой после струйной ГАО характеризуется такими же параметрами ,
Шероховатость поверхности после струйной ГАО главным образом зависит от исходной шероховатости; скорости, угла атаки и размера абразивных частиц; времени обработки. При этом рассматриваются две стадии формирования микрорельефа. На первой происходит пластическое деформирование и разрушение наиболее выступающих неровностей с одновременной упругой деформацией поверхности, подвергнутой действию гидроабразивной струи. Затем на всем обрабатываемом участке происходит пластическая деформация и интенсивный съем основного металла с формированием однородной по всем направлениям микрогеометрии. Микрорельеф поверхности представляет собой совокупность следов (лунок), оставляемых на поверхности частицами абразива, причем расположение лунок носит случайный характер. Формирование микрорельефа происходит и течение вполне определенного времени, а затем процесс обработки стабилизируется и шероховатость поверхности не изменяется .
При формировании шероховатости возможны три случая:
1) в процессе обработки исходная шероховатость поверхности увеличивается;
2) формируется новый микрорельеф без изменения значения исходной шероховатости;
3) шероховатость поверхности в процессе обработки уменьшается. Возникновение того или иного случая, а также время, необходимое
для формирования нового микрорельефа, будут зависеть от высоты неровностей исходной поверхности, размеров лунок, оставляемых абразивными частицами, и количества частиц, контактирующих с обрабатываемой поверхностью. Таким образом, реальные технологические особенности процесса формирования микрорельефа позволяют дискретизировать его в виде последовательности единичных актов контактного взаимодействия на элементарном участке обрабатываемой поверхности. Такой подход дает возможность определять параметры шероховатости после струйной ГАО на основе имитационного моделирования процесса формирования микрорельефа обрабатываемой поверхности.
При моделировании необходимо учитывать микрорельеф исходной поверхности, параметры потока абразивных частиц, контактное взаимодействие частиц с поверхностью и микрорельеф поверхности после ее обработки. Основой математической модели является модель единичного акта контактною взаимодействия абразивной частицы с поверхностью. Рассмотрим этапы построения математической модели. Перед началом моделирования должны быть заданы параметры шероховатости исходной поверхности. В рамках предлагаемой модели исходное состояние микрорельефа поверхности характеризуется максимальной высотой неровностей профиля Rmax и средним арифметическим отклонением профиля R„. Микрорельеф обрабатываемой поверхности представим в виде изотропной функции Z=f(х, у). Контактное взаимодействие абразивных частиц будем рассматривать на элементарном участке, размеры которого выбираются с учетом формы, размеров и точности изготовления обрабатываемой поверхности. В большинстве случаев элементарный участок может быть представлен в виде квадратной площадки с размером стороны, равным базовой длине при исследовании шероховатости. Пред положение об изотропности функции Z позволяет существенно упростить моделирование процесса обработки за счет перехода от пространственного моделирования к моделированию на профиле. Определение формы поверхности и вычисление параметров шероховатости производятся по некоторому сечению, взятому в пределах элементарного участка, причем характеристики шероховатости не будут зависеть от выбора сечения. Пространственное распределение функции Z может быть получено по проекции профиля сечения.
Имитационное моделирование проводится с использованием ЭВМ. Это накладывает определенные ограничения на представление профили поверхности, связанные с дискретностью записи информации в память ЭВМ. Поэтому профиль обрабатываемой поверхности представляется в виде массива чисел M(i), i принадлежит(l, N0), где M{i) высота профиля относительно средней линии; i — номер точки профиля; N0 — число точек профиля.
Поток абразивных частиц и элементарный акт контактного взаимодействия частицы с поверхностью описываются в рамках допущений, принятых в подразд. 3.1. Количество абразивных частиц, взаимодействующих с обрабатываемой поверхностью на элементарном участке, зависит от массового расхода суспензии через струйный аппарат, концентратами абразивного материала в суспензии, времени обработки и отношения площади элементарного участка к площади, охватываемой гидроабразивной струей в единицу времени. Общее количество q абразивных частиц, контактирующих, с поверхностью на площади, охватываемой гидроабразивной струей, определяется формулой (3.15); тогда число единичных актов контактного взаимодействия на элементарном участке в единицу времени будет
где
, площадь элементарного участка; Fc — площадь, охватываемая гидроабразивной струей в единицу времени.
Контакт абразивной частицы с поверхностью происходит в случайной точке элементарного участка. Для упрощения модели будем считать, что единичный акт контактного взаимодействия происходит в случайной точке профиля M (i), причем в этой точке частица достигает максимальной глубины внедрения. Кроме того, при формировании нового профиля поверхности не будем учитывать перераспределение по профилю материала, вытесненного из лунки в момент удара.
Каждый еденичный акт контактного взаимодействия вызывает определенные изменения о обрабатываемой поверхности. Происходит деформация выступов профиля, удаление материала из лунки, в окрестности точки контакта формируется новый микрорельеф поверхности, изменяется положение средней линии профиля. на рис. 3.15 показана схема единичного контакта взаимодействия абразивной частицы с обрабатываемой поверхностью. В случайной точке j частица достигает максимальной глубины внедрения. Высота профиля микрорельефа относительно средней линии в точках, где произошла деформация, определяется по следующей формуле:
















