123390 (577585), страница 2
Текст из файла (страница 2)
Правила эксплуатации мясорубок. Перед началом эксплуатации мясорубок производят их осмотр, проверяют правильность сборки и крепления всех частей, наличие толкателей. Для нормальной работы мясорубок большое значение имеет хорошая заточка и регулировка режущего механизма, а также его правильная сборка. При этом особое внимание следует обращать на правильность установки подрезной решетки и двусторонних ножей.
При регулировке необходимо добиваться плотного прижатия ножей к решеткам. При неплотном прилегании ножей к решеткам на лезвия ножей наматываются пленки и жилы, а при чрезмерном их прилегании сильно греется режущий механизм и ухудшается качество измельченного мяса. Степень прижатия ножей к решеткам регулируют следующим образом: сначала зажимную гайку завинчивают до упора, затем отпускают на 1/2 оборота и включают привод, после чего медленно заворачивают зажимную гайку до тех пор, пока двигатель не изменит тональности своего звучания.
Перед загрузкой мяса в машину его освобождают от костей, пленок и жил. Мясо нарезают кусками определенных размеров и зависимости от типа мясорубки. Проталкивать продукт внутрь машины во время ее работы можно только деревянным толкателем. После работы мясорубку разбирают, очищают от остатков продукта, моют, сушат и вновь собирают. Для защиты от коррозии ножи и решетки смазывают пищевым несоленым жиром.
Таблица 4 - Техническая характеристика мясорубок.
| Показатели | Размер-ность | МИМ-105 | МИМ-105 М |
| Производительность | кг/ч | 400 | 400 |
| Частота вращения шнека | мин -1 | 200 | 200 |
| Диаметр решетки | мм | 105 | 105 |
| Габариты: | мм | ||
| - длина | 850 | 580 | |
| - ширина | 450 | 580 | |
| - высота | 1000 | 900 | |
| Масса | кг | 224 | 150 |
| Мощность электродвигателя | кВт | 2,8 | 2,2 |
3.2 Выбор основных конструктивных параметров мясорубок
В процессе измельчения необходимо обеспечить сохранение качества исходных продуктов. Это требование относится главным образом к сочным продуктам (сырые мясо, рыба), измельчение которых может вызывать потерю сока. Качество продукта улучшается, если проворачивание его относительно стенок рабочей камеры минимальное, а воздействие последнего витка шнека на продукт направлено преимущественно вдоль оси рабочей камеры. Для уменьшения проворачиваемости продукта на внутренней поверхности рабочей камеры делают канавки. Для уменьшения воздействия последнего витка шнека на продукт в плоскости режущих инструментов угол подъема его βп выбирают небольшим (7—10°). Уменьшение βп снижает количество проворачиваний продукта относительно рабочей камеры мясорубки.
Характеризуя основные конструктивные параметры мясорубки, можно сказать что, воздействия витка шнека на продукт. Поверхность последнего витка шнека воздействует на продукт следующим образом: в направлении, перпендикулярном к ней, — с силой нормального давления//, вдоль этой поверхности — с силой трения Т, причем T = Nf, где f — коэффициент трения продукта о последний виток.
Их равнодействующую силу Р можно разложить на осевую силу Рп, направленную параллельно оси рабочей камеры, и окружную силу Р τ, направленную перпендикулярно Рn. Осевая сила Рп продвигает продукт через режущие инструменты, а сила Р τ способствует проворачиванию продукта.
где р — угол трения.
Из соотношения видно, что с уменьшением βп Pτ уменьшается и достигает минимального значения при рп = 0. Однако при этом производительность мясорубки также равна нулю. Надо иметь в виду, что уменьшение βп частично можно компенсировать увеличением частоты вращения шнека. Количество витков шнека оказывает существенное влияние на производительность. Чем длиннее шнек, тем меньше продукта вытесняется к загрузочному устройству и тем выше производительность мясорубки. Объясняется это тем, что витки шнека образуют лабиринт, препятствуя тем самым вытеснению продукта из зоны расположения последнего витка (из зоны с повышенным давлением) к загрузочному устройству.
Длина шнека мясорубок лежит в пределах (2,5—3,8) D, где D — наружный диаметр шнека.
Рис. 5 – Схема воздействия последнего витка шнека на продукт
Ножевые решетки выполняются с максимально возможным использованием их площади под отверстия, а также с учетом требуемой степени измельчения и прочности. При этом шахматное расположение отверстий предпочтительнее расположения их по квадрату. Согласно ГОСТ 7411—79 коэффициент использования площади решеток Кр, равный отношению суммарной площади отверстий к площади решетки, установлен не менее 0,25.
3.3 Определение производительности мясорубок
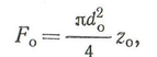
Производительность мясорубок определяют по формуле
где Fo — суммарная площадь отверстий в первой ножевой решетке, ближайшей к шнеку, м2:
здесь d0 — диаметр одного отверстия, м;
z0 — количество отверстий ножевой решетки, шт.;
v0 — скорость продвижения продукта через отверстие первой ножевой решетки.
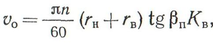
Эту скорость можно определить как скорость перемещения гайки относительно винта вдоль его оси:
здесь n — частота вращения шнека, мин -1; rн, rв— наружный и внутренний радиусы последнего витка шнека, м; Кв — коэффициент проворачивания продукта относительно шнека:
здесь ω — угловая скорость шнека, рад/с; ωпр — угловая скорость продукта, рад/с; практически для мясорубок Кв = = 0,35—0,4; р — плотность продукта, кг/м3; φ — коэффициент использования площади отверстий первой ножевой решетки, φ = 0,7—0,8.
3.4 Определение мощности электродвигателя мясорубок
Мощность в мясорубке затрачивается на разрезание продукта в режущем механизме, на преодоление трения в режущем механизме, на преодоление трения шнека о продукт и на продвижение продукта шнеком. Мощность электродвигателя привода мясорубки определяется по формуле
где N1 — мощность, необходимая для разрезания продукта
в режущем механизме, Вт.
Для мясорубки с подрезной решеткой, двумя двусторонними вращающимися ножами и двумя неподвижными ножевыми решетками
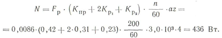
здесь Fp — площадь ножевой решетки, м2; Кпр — коэффициент использования площади подрезной решетки; Крl, Kр2—коэффициенты использования площади решеток соответственно с крупными и мелкими отверстиями; а — удельный расход энергии на перерезание продукта, Дж/м2; а = 2,5*103 - 3,5 *103 Дж/м2; z— количество перьев у одного ножа, шт.; N2 — мощность, необходимая на преодоление трения в режущем механизме, Вт:
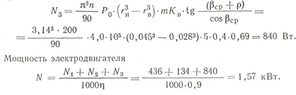
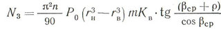
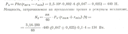
здесь Р3 — усилие затяжки режущего механизма, Н, Р3 = Pbz (rmax—rmin)i откуда Р — усредненное удельное давление в поверхности стыка ножей и решеток, Па, Р = 2*106— 3*106 Па; b — ширина площадки контакта лезвия ножа и решетки, м; rmax, rmin — наружный и внутренний радиусы вращающегося ножа, м; f — коэффициент трения скольжения ножа о решетку в присутствии измельчаемого продукта, f = 0,1; φ — количество плоскостей резания, шт.: N3 — мощность, необходимая на преодоление трения шнека о продукт и на продвижение продукта от загрузочного устройства до режущего инструмента, Вт
здесь Ро — давление за последним витком шнека, Па, Ро = 3,0*105 —5,0*105 Па; m — число витков шнека; βср—средний угол подъема витков шнека; зависит от среднего шага tcр витков шнека и среднего диаметра dcp:
р — угол трения.
Пример расчета:
Задано: мясорубка со следующим набором режущих инструментов.
1. Подрезная решетка.
2. Две ножевые решетки с наружным диаметром dp = 104 мм:
первая — диаметр отверстий d1 = 5 мм, число отверстий z1 = 140 шт.; вторая — диаметр отверстий d2 = 3 мм, число отверстий z2 = 276 шт.
3. Вращающиеся ножи — два: наибольший радиус rmax = 47 мм;
наименьший радиус rmin = 25 мм.
4. Шнек: наружный радиус rн = 45 мм;
внутренний радиус rв= 28 мм;
частота вращения n = 200 мин-1.
Определить: производительность мясорубки и мощность электродвигателя.
Решение. 1. Определение производительности.
Принимаем: шаг последнего нитка tn = 36 мм, плотность продукта р = 1000 кг/м3, коэффициент проворачивания KB = 0,4; коэффициент использования площади отверстий первой ножевой решетки φ = 0,8.
Суммарная площадь отверстий в первой ножевой решетке
Скорость продвижения продукта через отверстия ножевой решетки
Производительность машины.
Q =Foυoρφ*36OO = 0,0027*0,049*1000*0,8*3600 = 380 кг/ч.
2. Определение мощности электродвигателя.
Принимаем: удельный расход энергии на перерезание продукта а = 3,0 Х 103 Дж/м2, давление за последним витком шнека Pо=4,0*1О5 Па, коэффициент трения скольжения ножа о решетку f = 0,1, коэффициент трения продукта о шнек fi = 0,4, коэффициент использования площади подрезной решетки Kпр = 0,42, средний угол подъема витков шнека βср=12°, число витков m = 5, усредненное удельное давление на поверхности стыка ножей и решеток P = 2,5*106 Па, ширина площадки контакта лезвия ножа и решетки b = 0,002 м.
Площадь ножевой решетки
Мощность, затрачиваемая на разрезание продукта в режущем механизме,
Усилие затяжки режущего механизма
Мощность, затрачиваемая на преодоление трения шнека о продукт и на продвижение продукта от загрузочного устройства до режущего инструмента
3.4 Правила эксплуатации мясорубок
Перед началом работы убеждаются в надежности крепления мясорубки к производственному столу, фундаменту или приводу универсальной кухонной машины. После этого производят сборку частей мясорубки: вставляют в корпус мясорубки шнек так, чтобы хвостовик его вошел в зацепление с валом привода, и устанавливают в зависимости от требуемой степени измельчения продукта соответствующие наборы режущих инструментов. Для получения котлетной массы устанавливают основной набор режущих инструментов. Сначала надевают на палец шнека подрезную решетку, затем двусторонний нож, режущими кромками в сторону вращения шнека, после чего вставляют в корпус ножевую решетку № 3 с отверстиями d = 9 мм. Далее устанавливают на палец шнека еще один двусторонний нож, а в корпус мясорубки вставляют ножевую решетку № 2 или № 1 с диаметрами отверстий d = b мм или d = 3 мм. После этого устанавливают упорное кольцо и навинчивают на корпус зажимную гайку так, чтобы ножевые решетки были плотно прижаты к ножам и подрезной решетке.















