85585 (574878)
Текст из файла
Задача №1
Даны вершины треугольника АВС.
Найти: 1) длину стороны АВ; 2) уравнения сторон АВ и АС и их угловые коэффициенты; 3) внутренний угол А в радианах с точностью до 0,01; 4) уравнение высоты CD и ее длину; 5) уравнение окружности, для которой высота CD есть диаметр; 6) систему линейных неравенств, определяющих треугольник АВС.
А(-7;5), В(5;-4), С(3;10).
Решение
1. Расстояние d между точками M1(x1;у1) и М2(х2;у2) определяется по формуле:
Подставив в эту формулу координаты точек А и В имеем:
2. Уравнение прямой, проходящей через точки М1(х1;у1) и М2(х2;у2), имеет вид:
Подставив в формулу (2) координаты точек А и В, получим уравнение прямой АВ:
Для нахождения углового коэффициента kab прямой АВ разрешим полученное уравнение относительно у:
Отсюда
kab = - 3/4.
Подставив в формулу (2) координаты точек А и С, найдем уравнение прямой АС.
Для нахождения углового коэффициента kaс прямой АС разрешим полученное уравнение относительно у:
Отсюда
kaс = 1/2.
3. Угол α между двумя прямыми, угловые коэффициенты которых равны k1 и k2, определяется по формуле:
Угол А, образованный прямыми АВ и АС, найдем по формуле (3), подставив в нее
k1= kab = -3/4, k2 = kac = 1/2.
< А = arctg 2 = 1,11 рад.
4. Так как высота CD перпендикулярна стороне АВ, то угловые коэффициенты этих прямых обратны по величине и противоположны по знаку, т.е.
Уравнение прямой, проходящей через данную точку М1(х1;у1) в заданном угловом коэффициенте k имеет вид:
у – у1 = k(х – х1).(4)
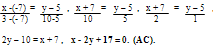
Подставив в формулу (4) координаты точки С и kcd = 4/3, получим уравнение высоты CD:
у – 10 = 4/3(х – 3) , у – 10 = 4/3х – 4 , 4х – 3у + 18 = 0. (CD)
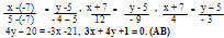
Для нахождения длины CD определим координаты точки D, решив систему уравнений (АВ) и (СD):
Подставив в формулу (1) координаты точек C и D, находим:
С
D= √(-3 -3)2 + (2 -10)2 = √36 + 64 = 10 .
5. Уравнение окружности радиуса R с центром в точке E(a;b) имеет вид:
(х – а)2 + (у – b)2 = R2 (5)
Так как СD является диаметром искомой окружности, то ее центр Е есть середина отрезка CD. Воспользовавшись формулами деления отрезка пополам, получим:
Следовательно E(0;6) и R = CD/2 = 5. Используя формулу (5), получим уравнение искомой окружности:
(х – 0)2 + (у – 6)2 = 25, х2 + (у – 6)2 = 25.
6. Множество точек треугольника АВС есть пересечение трех полуплоскостей, первая из которых ограничена прямой АВ и содержит точку С, вторая прямая ВС и содержит точку А, а третья ограничена прямой АС и содержит точку В. Для получения неравенства, определяющего полуплоскость, ограниченную прямой АВ и содержащую точку С, подставим в уравнение прямой АВ координаты точки С:
3* 3+ 4*10 +1 = 50 > 0.
поэтому искомое неравенство имеет вид:
3х + 4у +1 ≥ 0.
Для составления неравенства, определяющего полуплоскость, ограниченную прямой ВС и содержащую точку А, найдем уравнение прямой ВС, подставив в формулу (2) координаты точек В и С:
Подставив в последнее уравнение координаты точки А, имеем:
7* (- 7) + 5 – 31 = - 75 < 0.
Искомое неравенство будет
7х + у – 31 ≤ 0.
Подобным образом составим неравенство, определяющее полуплоскость, ограниченную прямой АС и содержащую точку В:
5 – 2(- 4) + 17 = 30 > 0.
Третье искомое неравенство
х – 2у + 17 ≥ 0.
Итак, множество точек треугольника АВС определяется системой неравенств:
Задача №2
Даны векторы a1 , a2 , a3 , b . Показать, что векторы a1 , a2 , a3 образуют базис трехмерного пространства и найти координаты вектора b в этом базисе.
a1(5;3;1) , а2(-2;-1;2) , а3(-2;1;4) , b(3;0;1)
Решение
1. Система векторов
в пространстве Rn линейно независима тогда и только тогда, когда отличен от нуля определитель, строками (столбцами) которого являются координаты векторов системы:
П
одставив в формулу (1) координаты векторов a1 , a2 , a3 найдем определитель:
Так как определитель не равен нулю, то данные три вектора являются линейно независимыми. Соответственно они образуют базис трехмерного пространства.
2. Вычислим координаты вектора b в новом базисе. А – матрица перехода.
b = А * bnew
Нам необходимо определить координаты bnew.
bnew = A-1 * b(2)
Для нахождения обратной матрицы применяется формула
Необходимо найти все элементы для составления обратной матрицы:
Подставляем полученные элементы в формулу (3) и найдем А-1:
Подставив значения А-1 и вектора b в формулу (2), найдем координаты вектора b в новом базисе:
Задача №3
Систему уравнений записать в матричной форме и решить ее с помощью обратной матрицы:
Решение
Обозначим через матрицу А – матрицу коэффициенты при неизвестных; Х – матрицу-столбец неизвестных Х, У, Z; H – матрицу-столбец свободных членов:
С учетом этих обозначений данная система уравнений принимает следующую матричную форму:
А*Х = Н(1)
Если матрица А – невырожденная (ее определитель Δ отличен от нуля), то она имеет обратную матрицу А-1. Умножив обе части уравнения (1) на А-1, получим:
А-1 * А * Х = А-1 * Н
Но А-1 * А = Е (Е- единичная матрица), а ЕХ = Х, поэтому
Х = А-1 * Н(2)
Равенство (2) называется матричной записью решения системы линейных уравнений. Для нахождения решения системы уравнений необходимо вычислить обратную матрицу А-1.
Пусть имеем невырожденную матрицу
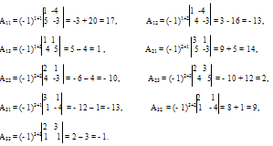
где Аij (i=1,2,3; j=1,2,3) – алгебраическое дополнение элемента аij в определителе матрицы А, которое является произведением (- 1)ij на минор (определитель) второго- порядка, полученный вычеркиванием i-строки и j-столбца в определителе матрицы А.
Вычислим определитель Δ и алгебраические дополнения Аij элементов матрицы А.
Следовательно матрица А имеет обратную матрицу А-1.
Тогда
По формуле (2) находим решение данной системы уравнений в матричной форме:
Отсюда
х = - 1; у = 1; z = 0.
Задача №4
Вычислить пределы.
Решение
а) Подстановка предельного значения аргумента х = 3 приводит к неопределенному выражению вида
.
Для устранения этой неопределенности разложим числитель и знаменатель дроби на множители и сократим на множитель (х – 3). Такое сокращение здесь возможно, так как множитель (х – 3) отличен от нуля при х →3:
б) При х→∞ выражение
дает неопределенность вида
. Для устранения этой неопределенности применим правило Лопиталя. Для разыскания предела отношения
двух функций, бесконечно больших при х→∞, можно рассматривать отношение их производных
.Если оно стремится к пределу (конечному или бесконечному), то к тому же пределу стремится и отношение
.
в) Обозначим arctg 3х = у. Тогда 3х = tg у и у→0 при х→0. Применяя свойства пределов и формулу первого замечательного предела lim sin α/ α = 1, имеем:
г)При х→∞ выражение
является неопределенностью вида 1∞. Для устранения этой неопределенности представим основание степени в виде суммы 1 и бесконечно малой при х→∞ величины и применим формулу второго замечательного предела:
Тогда имеем:
Пусть 3х – 1 = - у . Тогда 6х + 4 = - 2у + 6 и у→ -∞ при х→∞. Переходя к переменной у, получим:
Задача №5
Найти производные функций:
Решение
а) Последовательно применяя правило дифференцирования сложной функции, правила и формулы дифференцирования, имеем:
в) В данном случае функциональная зависимость задана в неявном виде. Для нахождения производной у′ нужно продифференцировать по переменной х обе части уравнения, считая при этом у функцией от х, а затем полученное уравнение разрешить относительно у′ .
3у2у′ + еху (у + ху′) = 0, 3у2у′ + уеху + хеху у′ = 0,
Из последующего уравнения находим у′:
у′ (3у2 + хеху) + уеху = 0,
Задача №6
Исследовать функцию
методами дифференциального исчисления и построить ее график. Исследование функции рекомендуется проверить по следующей схеме:
1) найти область определения функции;
2) исследовать функцию на непрерывность;
3) определить, является ли данная функция четной, нечетной;
4) найти интервалы возрастания и убывания функции и точки ее экстремума;
5) найти интервалы выпуклости и вогнутости графика функции и точки перегиба;
6) найти асимптоты графика функции.
Решение
1. Функция определена при всех значениях аргумента х.
2. Данная функция является элементарной, поэтому она непрерывна на своей области определения, т.е. на интервале (- ∞; ∞).
3. Для установления четности и нечетности функции проверим выполнимость равенств f(- х) = f( х) (тогда f( х) – четная функция) или f(-x) = - f(х) (для нечетной функции) для любых х и – х из области определения функции:
Следовательно, f(-х) ≠ f(x) и f(-х) ≠ -f(х), то есть данная функция не является ни четной, ни нечетной.
4. Для исследования функции на экстремум найдем ее первую производную:
у′ = 0 при х1 = - 3, х2 = 3. Тем самым имеем две критические точки, обе принадлежать области определения функции.
Разобьем числовую ось на три интервала: (- ∞; - 3), (- 3; 3), (3; ∞).
Характеристики
Тип файла документ
Документы такого типа открываются такими программами, как Microsoft Office Word на компьютерах Windows, Apple Pages на компьютерах Mac, Open Office - бесплатная альтернатива на различных платформах, в том числе Linux. Наиболее простым и современным решением будут Google документы, так как открываются онлайн без скачивания прямо в браузере на любой платформе. Существуют российские качественные аналоги, например от Яндекса.
Будьте внимательны на мобильных устройствах, так как там используются упрощённый функционал даже в официальном приложении от Microsoft, поэтому для просмотра скачивайте PDF-версию. А если нужно редактировать файл, то используйте оригинальный файл.
Файлы такого типа обычно разбиты на страницы, а текст может быть форматированным (жирный, курсив, выбор шрифта, таблицы и т.п.), а также в него можно добавлять изображения. Формат идеально подходит для рефератов, докладов и РПЗ курсовых проектов, которые необходимо распечатать. Кстати перед печатью также сохраняйте файл в PDF, так как принтер может начудить со шрифтами.















