85585 (574878), страница 2
Текст из файла (страница 2)
В первом и третьем интервалах первая производная отрицательна, следовательно, здесь функция убывает, во втором интервале – положительна и данная функция возрастает. При переходе через точку х = -3 первая производная меняет свой знак с минуса на плюс, поэтому в этой точке функция имеет минимум:
уmin = у(-3) = 0
Значит, А(-3;0) – точка минимума.
При переходе через точку х = 3 первая производная меняет свой знак с плюса на минус, поэтому в этой точке функция имеет максимум:
уmax = у(3) = 2
Значит, В(3;2) – точка максимума.
На рис. 1 знаками +, - указаны интервалы знакопостоянства производной у′, а стрелками – возрастание и убывание исследуемой функции.
5. Для определения точек перегиба графика и интервалов выпуклости и вогнутости кривой найдем вторую производную:
у
′′ = 0 при х1 = 0, х2 = - 3√3 , х3 = 3√3.
Р
азобьем числовую ось на четыре интервалы: (-∞;-3√3), (-3√3 ;0), (0;3√3), (3√3 ; ∞).
рис.2
На первом, втором и четвертом интервалах вторая производная у′′ положительна и дуга исследуемой кривой вогнута; на третьем интервале у′′ отрицательна – дуга выпукла.
При переходе через точки х = 0 у′′ меняет свой знак, поэтому х= 0 – абсцисса точки перегиба.
Следовательно С(0;1) – точка перегиба графика функции.
При переходе через точку х = 3√3 у′′ меняет свой знак, поэтому х= 3√3 - абсцисса точки перегиба.
Следовательно
– точка перегиба графика функции.
6. Так как точек разрыва у данной функции нет, соответственно вертикальной асимптоты она не имеет. Для определения уравнения наклонной асимптоты у=kx + b воспользуемся формулами:
Тогда
При вычислении пределов использовалось правило Лопиталя.
у=kx + b, у= 0*х + 1 = 1
Значит прямая у=1 есть горизонтальная асимптота графика исследуемой функции.
рис. 3
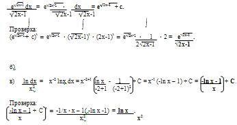
Задача №7
Найти неопределенные интегралы и результаты интегрирования проверить дифференцированием.
Решение
а) Применяя свойства неопределенного интеграла и формулы табличных интегралов имеем:
Задача №8
Вычислить объем тела, образованного вращением оси ОХ фигуры, ограниченной линиями ху=4; х=1; х=4; у=0. Сделать чертеж.
Решение
Объем тела, образованного вращением оси ОХ фигуры, ограниченной линиями определяется по формуле:
Подставим в формулу (1) у = 4/х, х1 = 1, х2 = 4, получим:
Ответ: объем тела вращения равен 12π















