63545 (573418)
Текст из файла
Министерство образования
Кафедра радиоэлектроники
Контрольная работа
по дисциплине
"Моделирование технологических систем"
Выполнила:
студентка гр.Р-01
Любименко Инга Петровна
Проверил:
К.т.н., доцент:
Бирюков В.А.
2009г.
Задача №1
На предприятии имеется листовой материал L представляющий прямоугольники размера 700×600 в количестве 50 штук. Требуется выкроить прямоугольные заготовки типов Δ1 (200´40), Δ2 (250´35), Δ3 (200´20). Для изготовления продукции I,II,III необходимы заготовки Δ1, Δ2, Δ3 в количестве соответственно: для продукции I - 2Δ1, 2Δ2, 4Δ3; для продукции II - 2Δ1, 1Δ2, 1Δ3; для продукции III - 1Δ1, 5Δ2, 4Δ3. Найти оптимальный раскрой а) для минимизации отходов при использовании всех листов и выпуске хотя бы одной единицы продукции каждого вида; б) для выпуска наибольшего (суммарного) количества продукции.
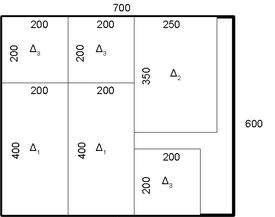
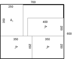
1) Общая площадь листа исходного материала 700×600=420000. Площади прямоугольных заготовок равны соответственно: 1-я заготовка – 200´400=80000; 2-я заготовка – 250´35=87500; 3-я заготовка – 200´200=40000. Возможны следующие варианты раскроя с минимальным количеством отходов с листа (табл. 1 ).
Таблица 1 — Характеристики вариантов раскроя
| Заготовка 1 | Заготовка 2 | Заготовка 3 | ||||||||
| площадь | кол-во | Σ площадь | площадь | кол-во | Σ площадь | площадь | кол-во | Σ площадь | Сумма площадей | отходы |
| 80000 | 4 | 320000 | 87500 | 0 | 0 | 40000 | 1 | 40000 | 360000 | 60000 |
| 0 | 0 | 4 | 350000 | 0 | 0 | 350000 | 70000 | |||
| 0 | 0 | 0 | 0 | 9 | 360000 | 360000 | 60000 | |||
| 1 | 80000 | 3 | 262500 | 0 | 0 | 342500 | 77500 | |||
| 2 | 160000 | 1 | 87500 | 3 | 120000 | 367500 | 52500 | |||
| 0 | 0 | 3 | 262500 | 3 | 120000 | 382500 | 37500 | |||
Варианты раскроя в порядке таблицы приведены на рисунках 1-3.
Рисунок 1 — Варианты раскроя 1 и 2
2) Сформулируем задачу математически сначала для минимизации отходов. Пусть x1 – число листов, израсходованных по первому варианту раскроя, x2 – соответственно по второму варианту; x3 – соответственно по третьему варианту; x4 –по четвертому варианту, и так далее для x5, x6. Минимум линейной функции, выражающей минимизацию отходов пока без учета лишних изготовленных заготовок запишется как
Рисунок 2 — Варианты раскроя 3 и 4
Рисунок 3 — Варианты раскроя 5 и 6
Здесь ci – отходы при i-том способе раскроя, их можно найти из таблицы. При этом необходимо сделать заготовок соответствующего уровня не меньше чем оговоренное в условии количество — по условию нам необходимо найти варианты раскроя, чтобы сделать не менее одной единицы продукции каждого вида. Так как для единицы первой продукции требуется 2Δ1, 2Δ2, 4Δ3; для продукции II аналогично 2Δ1, 1Δ2, 1Δ3; для продукции III - 1Δ1, 5Δ2, 4Δ3. Тогда суммарно требуется не менее 5Δ1, 8Δ2, 9Δ3. В первом варианте раскроя у нас 4 заготовки Δ1, во втором, третьем и шестом – 0, в четвертом – 1, в пятом – 2. Тогда по условию необходимо, чтобы
. Аналогично для деталей Δ2 и Δ3:
.
По условию необходимо, чтобы использовались все листы, соответственно необходимо, чтобы
. К тому же никакой способ раскроя не применяется к отрицательному количеству способов раскроя по вариантам:
.
Таким образом, формулировка задачи без условия того, что лишние детали попадают в отходы:
Если учитывать то, что лишние детали попадают в отходы, то приходится вводить дополнительные переменные:
- соответственно число заготовок 1-го, 2-го и третьего типов, изготовленных сверх использования для выпуска продукции; кроме того для второго этапа — составления плана выпуска продукции — необходимо ввести переменные
, соответственно число единиц продукции I, II и III. При этом между ними существует взаимосвязь: количество лишних деталей Δ1 равна разности между произведенными деталями и деталями, используемыми для выпуска продукции:
Аналогично:
Переменные
должны быть больше или равны 0;
, по условию должны быть больше 1. Задача линейного программирования формируется следующим образом (рис.4).
Для ее решения воспользуемся табличным процессором Microsoft Excel и его расширением Поиск решения. Для включения самого расширения необходимо выполнить действия, показанные на рис. 5.
Рисунок 4 — Математическая формулировка задачи
Рисунок 5 — Подключение надстройки Поиск решения в Excel
Вариант ввода исходных данных и формула вычисления функционала для наших условий показана на рис. 6. Последние 3 равенства записываются формулами относительно x7, x8, и x9, как показано на рис.7. Дальнейшая работа проводится с надстройкой "Поиск решения" (рис.8): функционал задаем как ячейку, которую необходимо максимизировать (рис.9); изменять будем ячейки x1-x6 (количество вариантов раскроя по каждому из способов) и x10-x12 (количество единиц продукции – ведь на один и тот же план раскроя можно вывести разные способы производства продукции) — рис.9. Добавим ограничения: переменные x1- x12 должны быть целые, переменные x1- x12 должны быть больше 0, количество использованных листов должно быть равно 50, количество единиц продукции должно быть больше или равно 1 (для х10, х11, х12), количество деталей должно быть больше заданного (рис.10).
Рисунок 6 — Ввод исходных данных в Excel
Рисунок 7 — Ввод равенств в Excel
Рисунок 8 — Вызов надстройки Поиск решения
Рисунок 9 — Ввод целевой функции и изменяемых ячеек
Рисунок 10 — Ввод ограничений на переменные
Рисунок 11 — Найденное решение
На рисунке 11 показано найденое надстройкой решение: 50 листов будут раскраиваться следующим способом: 12 листов по первому варианту раскроя, 1 по пятому, 37 по шестому. При этом получается 112 деталей Δ1, 243 детали Δ2, 109 деталей Δ3. Из этих деталей изготавливаются 15 единиц продукции I, 2 единицы продукции II, 16 единиц продукции III, 15 деталей Δ3 являются лишними. Суммарный отход — 2160000 квадратных единиц.
Для второй задачи — максимизации объема выпуска при тех же ограничениях мы изменяем целевой функционал с
на
.
изменится формула ячейки N2 и вид оптимизации целевой функции в модуле решения (рис. 12).
Рисунок 12 — Решение задачи максимизации выпуска
На рисунке 12 показано найденое надстройкой решение: 50 листов будут раскраиваться следующим способом: 29 листов по первому варианту раскроя, 7 — по второму, 1 - по четвертому, 2 - пятому, 11 - по шестому. При этом получается 36 деталей Δ1, 277 детали Δ2, 191 деталей Δ3. Из этих деталей изготавливаются 1 единица продукции I, 59 единиц продукции II, 1 единица продукции III, 1 деталей Δ3 является лишними. Суммарный выпуск — 61 единица продукции, при этом отход больше, чем в первой подзадаче.
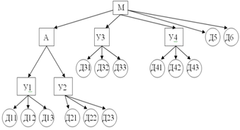
Задача №2
По веерной схеме сборки изделия, представленной на рис. , и исходным данным, представленным в табл. :
1) определить общую продолжительность производственного цикла изготовления изделия;
2) определить критическое время и критический путь выполнения всего комплекса работ
3) определить начало производственного цикла изготовления изделия, если готовая продукция должна сойти с производства к 25 июня 2010 года.
Рисунок 13 — Веерная схема сборки
Таблица 2 — Характеристики вариантов раскроя
| Частичные процессы | Длительность цикла изготовления и сборки отдельных частей изделия по вариантам, дни |
| Сборка изделия | 7 |
| Сборка агрегата | 7 |
| Сборка узла 1 | 7 |
| Сборка узла 2 | 10 |
| Сборка узла 3 | 9 |
| Сборка узла 4 | 10 |
| Изготовление детали 11 | 9 |
| Изготовление детали 12 | 10 |
| Изготовление детали 13 | 10 |
| Изготовление детали 21 | 8 |
| Изготовление детали 22 | 7 |
| Изготовление детали 23 | 8 |
| Изготовление детали 31 | 7 |
| Изготовление детали 32 | 9 |
| Изготовление детали 33 | 8 |
| Изготовление детали 41 | 6 |
| Изготовление детали 42 | 10 |
| Изготовление детали 43 | 6 |
| Изготовление детали 5 | 8 |
| Изготовление детали 6 | 10 |
Пусть событие О — начало работ, А — окончание выполнения работ. Тогда веерная схема сборки с учетом календарных дней выполнения работ Д11-Д43, А1, У1-У4 и М может быть представлена графом с весами = дням выполнения соответствующих работ (см. рис.14)
Характеристики
Тип файла документ
Документы такого типа открываются такими программами, как Microsoft Office Word на компьютерах Windows, Apple Pages на компьютерах Mac, Open Office - бесплатная альтернатива на различных платформах, в том числе Linux. Наиболее простым и современным решением будут Google документы, так как открываются онлайн без скачивания прямо в браузере на любой платформе. Существуют российские качественные аналоги, например от Яндекса.
Будьте внимательны на мобильных устройствах, так как там используются упрощённый функционал даже в официальном приложении от Microsoft, поэтому для просмотра скачивайте PDF-версию. А если нужно редактировать файл, то используйте оригинальный файл.
Файлы такого типа обычно разбиты на страницы, а текст может быть форматированным (жирный, курсив, выбор шрифта, таблицы и т.п.), а также в него можно добавлять изображения. Формат идеально подходит для рефератов, докладов и РПЗ курсовых проектов, которые необходимо распечатать. Кстати перед печатью также сохраняйте файл в PDF, так как принтер может начудить со шрифтами.















