48175 (572156)
Текст из файла
КонтрольнаЯ робота
Прикладное программное обеспечение
Лубны 2008 г
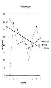
Согласно условию задачи необходимо провести анализ данных с помощью скользящего среднего из пакета и построение тренда на графике. Для выполнения данного задания в программе Ехсеl вводим имеющиеся данные (прибыль гостиницы и уровень активной части фондов). После чего входим в меню «Сервис», выбираем команду «Анализ данных» и необходимый нам тип анализа – «Скользящее среднее».
После этого необходимо указать входные данные и параметры вывода:
-
«Входной диапазон» – ссылка на диапазон исследуемых данных. Входной диапазон должен состоять из одного столбца или одной строки, содержащих не менее четырех ячеек с данными;
-
«Метки в первой строке» – эту опцию включить (установить флажок), если первая строка входного интервала содержит заголовки. Снять флажок, если заголовки отсутствуют; в этом случае подходящие названия для данных выходного диапазона будут созданы автоматически;
-
«Интервал» – ввести число значений, необходимое для расчета «Скользящего среднего». Значение по умолчанию равно 3;
-
«Выходной диапазон» – ввести ссылку на левую верхнюю ячейку выходного диапазона. Если установлен флажок «Стандартные погрешности», то выводится состоящий из двух столбцов диапазон, содержащий значения стандартных погрешностей в правом столбце. Если предшествующих данных недостаточно для построения прогноза, Мicrosoft Ехсеl возвратит ошибочное значение #Н/Д. Выходной диапазон и исходные данные должны находиться на одном листе. По этой причине параметры Новый лист и Новая книга недоступны;
-
«Вывод графика» – установить флажок для автоматического создания встроенной диаграммы на листе, содержащем выходной диапазон;
-
«Стандартные погрешности» – установить флажок, чтобы включить в выходной диапазон столбец, содержащий стандартные погрешности. Снять флажок для вывода одного столбца, не содержащего значения стандартных погрешностей.
После ввода всех необходимых данных мы получим результат расчетов с построенным графиком.
Выводы
1. Поскольку Fрасч > Fтабл, то с надежностью Р = 0,95 экономическую модель у=35,21•х+19,51 можно считать адекватной экспериментальным данным и на основании данной модели можно проводить экономический статистический анализ.
-
Для значения Х = 0,25 среднее значение показателя ур = 28,31 с надежностью Р = 0,95 будет находиться в границах от 22,94 до 33,67.
-
При изменении фактору на единицу показатель изменится на 35,21.
-
Для прогнозного значения среднее значение коэффициенту эластичности равняется 0,31. Это означает, что при изменении фактора на 1%, показатель изменится на 31%.
-
Коэффициент корреляции > 0, это означает, что между показателем и факторам прямая линейная зависимость, достаточно тесная. Также на изменение показателя, кроме известного фактору, влияют и другие факторы но в меньшей мере.
-
Коэффициент детерминации 0,50. Это означает, что модель адекватная и имеет средний разброс статистических данных вокруг экономической модели у=35,21•х+19,51.
Использованная литература
-
Ильина О.П. Информационные технологи бухгалтерского учета. Учебник, - Санк-Петербург: Питер, 2001
-
Толбатов Ю.А. Загальна теорія статистики засобами Ехсеl. Навчальний посібник, - К: Четверта хвиля, 1999
-
Толбатов Ю.А. Економетрика. Підручник для студентів екон. спеціалн. вищ. навч. зал. - К: Четверта хвиля, 1997.
-
Винтер Р., Винтер П., Місrosoft Offісе/ в 2-х томах. Санкт – Петербург: Питер, 1999.
-
Берне П., Берроуз Є. Секреты Ехсеl. Перевод с анг. – М: ИНФРА-М, 1999, - 480 с.
6. Долженков В.А., Колесников Ю.В. Місrosoft Ехсel 2000. – СПб.: БХВ Петербург, 2000.-1088 с.
Характеристики
Тип файла документ
Документы такого типа открываются такими программами, как Microsoft Office Word на компьютерах Windows, Apple Pages на компьютерах Mac, Open Office - бесплатная альтернатива на различных платформах, в том числе Linux. Наиболее простым и современным решением будут Google документы, так как открываются онлайн без скачивания прямо в браузере на любой платформе. Существуют российские качественные аналоги, например от Яндекса.
Будьте внимательны на мобильных устройствах, так как там используются упрощённый функционал даже в официальном приложении от Microsoft, поэтому для просмотра скачивайте PDF-версию. А если нужно редактировать файл, то используйте оригинальный файл.
Файлы такого типа обычно разбиты на страницы, а текст может быть форматированным (жирный, курсив, выбор шрифта, таблицы и т.п.), а также в него можно добавлять изображения. Формат идеально подходит для рефератов, докладов и РПЗ курсовых проектов, которые необходимо распечатать. Кстати перед печатью также сохраняйте файл в PDF, так как принтер может начудить со шрифтами.















