126000 (566753)
Текст из файла
Цель работы: ознакомление с методикой определения отклонений от круглости поперечного сечения тел вращения.
Задание:
1. Ознакомиться со способами и средствами измерений отклонении от круглости.
2. Ознакомиться с техническими характеристиками и принципом работы кругломеров.
3. Определить тремя методами по заданной круглограмме числовые значения отклонений от круглости.
Объект для выполнения работы: круглограмма с записью отклонений от круглости поперечного сечения вала.
Вспомогательные принадлежности:
1. Шаблон - прозрачная пластина с нанесенными на ней концентрическими окружностями.
2. Циркуль.
3. Калькулятор.
4. Линейка.
1. Система нормирования отклонений формы поперечного сечения тел вращения
В основу нормирования и систему отсчета отклонений формы поперечного сечения тел вращения положен принцип прилегающих профилей [1,2]. Под отклонением формы понимается отклонение действительного (реального) профиля изготовленной детали от номинального (геометрического) профиля, заданного чертежом (рис. 1).
Наибольшее расстояние от точек действительного профиля до прилегающей окружности по нормали к последней принимают за величину отклонения от круглости
. К дифференцированным (частным) отклонениям от круглости относят овальность и огранку (рис. 2). Огранка может быть с четным и нечетным числом граней. Минимальное число граней - три.
2. Способы и средства измерений отклонений от круглости
При определении отклонений от круглости используют три способа измерений:
1) разностный, при котором определяется разность между последовательными значениями размеров действительного профиля;
2) сравнение с образцовой поверхностью на основе явления интерференции;
3) прецизионного вращения, при котором действительный профиль сравнивается с траекторией точного кругового движения.
Разностный способ реализуется в двух- и трехконтактных устройствах (рис.3).
Двухконтактные устройства позволяют выявлять огранку с четным числом граней и овальность. Трехконтактные устройства представляют собой комбинацию призмы с заданным углом раскрытия и измерительной головки.
Колебание показаний измерительного устройства при повороте изделия связано с величиной огранки и коэффициентом воспроизведения К, зависящим, в свою очередь, от числа граней действительного профиля и углов
и
(табл. 1).
Сравнительные измерения отклонений от круглости отверстий в различных сечениях от 5 до 12 мм могут быть осуществлены с помощью интерференционного нутромера типа ИГ-88 (рис. 4).
Образцовой поверхностью нутромера является поверхность доведенного конуса 1, расположенного внутри проверяемого кольца 2. Величину отклонения определяют по интерференционной картине, возникающей в поле зрения окуляра 3 при взаимодействии пучков света, отразивших от исследуемой и образцовой поверхностей. Точность измерения достигает 0,03- 0,05 мкм.
Таблица 1.
Параметры трехконтактных устройств для контроля огранок с различным числом граней
Рис. 4. Схема измерения отклонений от круглости нутромером ИГ-88: 1- поверхность доведенного конуса; 2- проверяемое кольцо; 3-окуляр
Отклонение от круглости вала можно измерить в кольце (рис.5, а), диаметр которого равен диаметру прилегающей окружности. Это условие выполняется с помощью набора колец разных диаметров. Индикатор, установленный на кольце, позволяет сравнить профили сечения вращаемой детали с траекторией точного кругового движения, задаваемой внутренней поверхностью кольца.
Более точными и универсальными приборами для определения отклонений от круглости являются кругломеры, работающие по методу относительного прецизионного вращения измерительного наконечника и контролируемой поверхности с записью отклонений на диаграммном диске. Конструкции кругломеров подразделяют на два типа: а- с вращающимся измерительным наконечником / и неподвижной деталью (рис.5, б); б- с неподвижным наконечником / и вращающейся проверяемой деталью 2 (рис.5, в).
Рис. 5. Схемы измерения отклонений от круглости:
а- в кольце; б- кругломером с вращающимся измерительным наконечником / и неподвижной деталью 2; в- с неподвижным наконечником 1 и вращающейся проверяемой деталью 2
По принципу измерительных систем кругломеры могут быть электромеханическими, индуктивными или пневматическими. Перед измерением деталь центрируют, относительно оси вращения. Сигналы измерительной головки, предварительно усиленные и записанные в полярных координатах, представляют собой круглограмму, сравнение которой с прилегающей окружностью позволяет оценить отклонение от круглости проверяемой детали. .Техническая характеристика кругломеров приведена в таблице 2.
Таблица 2 Техническая характеристика кругломеров
3. Методы обработки круглограммы
Круглограмма представляет собой бумажный диаграммный диск 1 (рис. 6), с центром в точке О. В исходной прямоугольной системе координат точку О принимают за центр контура геометрического профиля поперечного сечения вала (см. рис.1).
Из точки О с угловым шагом 30° проведены двенадцать лучей 2.На каждый луч нанесена измерительная шкала 3 с ценой деления 2 мм (на рисунке измерительная шкала показана на одном луче, на остальных - только их первые деления 4). Контур круглограммы 5 представляет собой запись отклонений от круглости проверяемого вала в полярных координатах с началом координат в точке О. Запись выполнена с заданным коэффициентом увеличения F.
Традиционным Методом оценки отклонений от круглости тел вращения, в частности, вала является метод сравнения контуров круглограммы с прилегающей окружностью [3]. Прилегающую окружность 6 находят и проводят с помощью шаблона - прозрачной пластины, с нанесенными на ней концентрическими окружностями или с помощью циркуля.
Рис. 6. Круглограмма
Шаблон накладывают на круглограмму и перемещаю относительно её до тех пор, пока одна из окружностей с наименьшим диаметром не коснется контура круглограммы в наиболее выступающих точках А и В. Эта окружность с центром в точке С и будет прилегающей окружностью. Циркулем прилегающую окружность проводят аналогичным способом - перемещают ножку циркуля в разных направлениях относительно начала исходной системы координат (точки О) и подбирают окружность самого малого радиуса, описывающую контур круглограммы.
Значение отклонений от крутости
Lk в мкм определяют из выражения:
Здесь: Lk- точка пересечения луча с контуром круглограмм»: Lk1- точка пересечения луча с прилегающей окружностью; к=1,2...и (п- количество точек по числу проведенных лучей).
Значение отклонений от крутости
Rk в мкм по второму методу, при котором измерение отклонений следует выполнять не по луч, а по нормали к прилегающей окружности, можно определить и; выражения
Измерения производят циркулем - измерителем с использованием линейки или с помощью одной линейки.
Для определения отклонений от крутости по третьему методу в качестве базы отсчета может быть принята средняя окружность 7 (см. рис.6), проведенная по принципу наименьших квадратов [4].
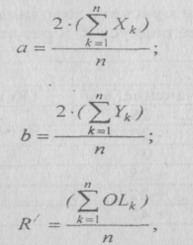
Абсциссу а и ординату Ь, а также радиус R1 определяют по формулам:
Измерения Хк, Yk, OLk производят с помощью циркуля -измерителя и линейки или с помощью угольника. Данные измерений вносят в таблицу 3.
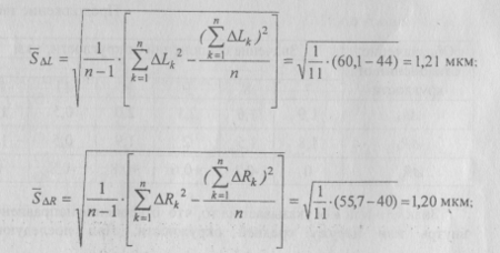
Значения отклонений от крутости
Rk 1 в мкм определяют из выражения
Расстояние С1 Lk измеряют с помощью циркуля- измерителя и линейки или одной линейки, а величина R1 берется из табл. 3.
Результаты вычислений по формулам (1), (2) и (3) вносят в таблицу 4.
Таблица 3 Данные измерении к расчету координат а и b центра С средней окружности, её радиуса R' и результаты их расчета
Таблица 4 Расчетные данные отклонений от крутости
Знак «+» или «-» указывает на то, что отклонение направлено во внутрь или наружу средней окружности. При последующих вычислениях значения отклонений выражаются их абсолютным.; величинами [6].
По данным табл. 4 находят наибольшие отклонения от круглости
L наиб , Rнаиб,
R1наиб (сумма наибольших отклонений направленных внутрь и наружу средней окружности) и определяют средние арифметические значения отклонений [5,7]:
Уточненные средние квадратические отклонения вычисляют по формулам [4,8]:
Полученные данные вносят в таблицу 5.
Таблица 5 Данные наибольших отклонений от крутлости и результаты вычислений средних арифметических значений отклонений и уточненных средних квадратических отклонений
Анализ данных табл.5 позволяет сделать следующий вывод: при определении отклонений от круглости тремя методами возможны расхождения их численных значений; для выбора оптимального метода по точности измерения необходимы дополнительные исследования.
Точность определения отклонений от круглости по вышеописанной методике может быть повышена при следующем условии и следующим образом. Если вблизи луча окажется точка на контуре круглограммы более удаленная от прилегающей или средней окружности, то эту точку следует при помощи циркуля по дуге перенести на близлежащий луч.
Вывод
В ходе лабораторной работы ознакомились с методикой определения отклонений от круглости поперечного сечения тел вращения.
Характеристики
Тип файла документ
Документы такого типа открываются такими программами, как Microsoft Office Word на компьютерах Windows, Apple Pages на компьютерах Mac, Open Office - бесплатная альтернатива на различных платформах, в том числе Linux. Наиболее простым и современным решением будут Google документы, так как открываются онлайн без скачивания прямо в браузере на любой платформе. Существуют российские качественные аналоги, например от Яндекса.
Будьте внимательны на мобильных устройствах, так как там используются упрощённый функционал даже в официальном приложении от Microsoft, поэтому для просмотра скачивайте PDF-версию. А если нужно редактировать файл, то используйте оригинальный файл.
Файлы такого типа обычно разбиты на страницы, а текст может быть форматированным (жирный, курсив, выбор шрифта, таблицы и т.п.), а также в него можно добавлять изображения. Формат идеально подходит для рефератов, докладов и РПЗ курсовых проектов, которые необходимо распечатать. Кстати перед печатью также сохраняйте файл в PDF, так как принтер может начудить со шрифтами.
















