147072 (566334)
Текст из файла
7
Лабораторная работа №4
Исследование системы автоматического регулирования угловой скорости двигателя внутреннего сгорания (дизеля)
Цель работы: изучить САР угловой скорости двигателя внутреннего сгорания (дизеля).
Содержание отсчета.
-
Схема САР угловой скорости двигателя внутреннего сгорания (дизеля).
-
Cтруктурная схема САР угловой скорости двигателя внутреннего сгорания (дизеля).
-
Cтруктурная схема САР угловой скорости двигателя внутреннего сгорания (дизеля) в обозначениях Simulink.
-
Переходные (временные) характеристики САР по управляющему воздействию xзад=1(t) и возмущающему воздействию MH=1(t). Численные значения показателей качества переходных процессов.
-
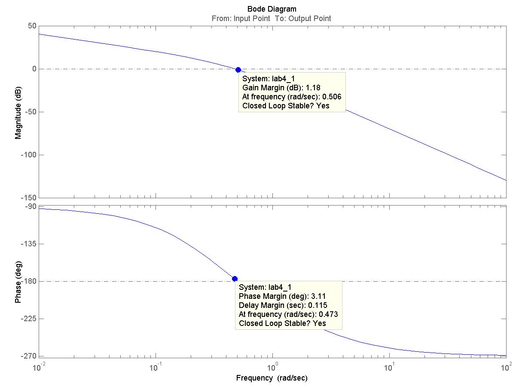
ЛАХ и ЛФХ разомкнутой САР угловой скорости двигателя внутреннего сгорания (дизеля) для заданных численных значений параметров передаточных функций.
-
Численные значения запасов устойчивости по амплитуде и по фазе, полученные по ЛАХ и ЛФХ.
-
АФЧХ САР угловой скорости двигателя внутреннего сгорания (дизеля). Численные значения запасов устойчивости, полученные по АФЧХ.
-
Графики функциональных зависимостей L=f(k3) и =f(k3).
-
Рациональное значение k3.
-
Графическая зависимость времени переходного процесса по управляющему воздействию от величены Т4.
-
Рациональное значение Т4.
Устройство системы:
На рис. 1 изображена САР угловой скорости двигателя внутреннего сгорания (дизеля) с внутренней изодромной обратной связью. Здесь: Д -дизель; МП –механическая передача; ЦБМ - центробежный маятник; ГУ –гидроусилитель; СМ –сервомотор; К –катаракт; П –пружина.
Работа системы.
В установившемся режиме определенному моменту нагрузке МН на валу дизеля соответствует некоторая подача топлива, зависящая от положения рейки топливного насоса, которую перемещает сервомотор СМ. Если нагрузка по какой-либо причине уменьшится, тогда угловая скорость дизеля возрастет, грузы ЦБМ разойдутся и переместят муфту, а вместе с нею и золотник ГУ. Рабочая жидкость поступит в СМ и он начнет уменьшать подачу топлива. В первый момент времени вместе с поршнем СМ переместятся поршень и цилиндр катаракта К, обратная связь на ГУ сработает как жесткая. Однако затем под влиянием пружины П цилиндр К будет перемещаться вверх, а жидкость в цилиндре К через отверстия в поршне перетечет из верхней полости в нижнюю. Жесткая связь между СМ и ГУ нарушится, движение поршня СМ прекратится лишь тогда, когда угловая скорость дизеля полностью восстановится до исходного уровня. Если нагрузка на валу двигателя возрастет, действие системы будет направлено на увеличение подачи топлива и восстановление исходной скорости.
X1































Рис.1. Система автоматического регулирования угловой скорости двигателя внутреннего сгорания (дизеля).
Рис.2. Cтруктурная схема системы автоматического регулирования угловой скорости двигателя внутреннего сгорания (дизеля)
Передаточные функции звеньев САР:
где - ошибка регулирования; ki- коэффициенты усиления; Ti-постоянные времени; хзад- заданная угловая скорость; х1- угловая скорость дизеля; х2-перемещение муфты ЦБМ; х3- перемещение рейки топливного насоса; х4- перемещение цилиндра катаракта К; х5- перемещение золотника ГУ; МН- момент нагрузки на валу двигателя.
Числовые значения параметров системы:
k1=10; k1=2; k2=2; k3=0,9; k3=0,1; k3+k3=1; T1=3 c; T2=2 c; T4=0; T4=1 c.
Рис. 3. Cтруктурная схема САР угловой скорости двигателя внутреннего сгорания (дизеля) в обозначениях Simulink.
Рис. 4. Переходные (временные) характеристики САР по управляющему воздействию xзад=1(t) и возмущающему воздействию MH=1(t). Численные значения показателей качества переходных процессов.
Рис. 5. ЛАХ и ЛФХ разомкнутой САР угловой скорости двигателя внутреннего сгорания (дизеля) для заданных численных значений параметров передаточных функций.
Таблица 1
K3 | 0,01 | 0,02 | 0,03 | 0,04 | 0,05 | 0,06 | 0,07 | 0,08 | 0,09 | 0,1 |
L | 21,8 | 15,7 | 12,1 | 9,57 | 7,56 | 5,91 | 4,5 | 3,27 | 2,17 | 1,18 |
φ | 66 | 48,6 | 36,7 | 28,2 | 21,7 | 16,6 | 12,4 | 8,83 | 5,78 | 3,11 |
t nn | 19,6 | 23,6 | 29,4 | 35 | 48 | 60 | 72,1 | 96,8 | 146 | 264 |
Численные значения запасов устойчивости по амплитуде и по фазе, полученные по ЛАХ и ЛФХ.
Рациональное значение К3 = 0,02 при L≥ 15дБ и φ≥ 450
Графики функциональных зависимостей L=f(k3) и =f(k3).
Таблица 2
T4 | 0,5 | 1 | 1,5 | 2 | 2,5 | 3 |
t nn | 32,1 | 23,6 | 25 | 14,7 | 18 | 22,5 |
Рациональное значение T4 = 2 при Tnn –min
Графическая зависимость времени переходного процесса по управляющему воздействию от величены Т4.
Рис. 6. АФЧХ САР угловой скорости двигателя внутреннего сгорания (дизеля). Численные значения запасов устойчивости, полученные по АФЧХ.
Характеристики
Тип файла документ
Документы такого типа открываются такими программами, как Microsoft Office Word на компьютерах Windows, Apple Pages на компьютерах Mac, Open Office - бесплатная альтернатива на различных платформах, в том числе Linux. Наиболее простым и современным решением будут Google документы, так как открываются онлайн без скачивания прямо в браузере на любой платформе. Существуют российские качественные аналоги, например от Яндекса.
Будьте внимательны на мобильных устройствах, так как там используются упрощённый функционал даже в официальном приложении от Microsoft, поэтому для просмотра скачивайте PDF-версию. А если нужно редактировать файл, то используйте оригинальный файл.
Файлы такого типа обычно разбиты на страницы, а текст может быть форматированным (жирный, курсив, выбор шрифта, таблицы и т.п.), а также в него можно добавлять изображения. Формат идеально подходит для рефератов, докладов и РПЗ курсовых проектов, которые необходимо распечатать. Кстати перед печатью также сохраняйте файл в PDF, так как принтер может начудить со шрифтами.