Texts on physics, maths and programming (562422), страница 2
Текст из файла (страница 2)
Finally, note that neutralinos are Majorana fermions; they are their own anti-particles. This fact has important consequences for neutralino dark matter, as will be discussed below.
2.4. R-Parity
Weak-scale superpartners solve the gauge hierarchy problem through their virtual effects. However, without additional structure, they also mediate baryon and lepton number violation at unacceptable levels. For example, proton decay p → π0e+ may be mediated by a squark as shown in Fig. 3.
Fig. 3. Proton decay mediated by squark.
An elegant way to forbid this decay is to impose the conservation of R-parity Rp ≡ (−1)3(B−L) + 2S, where B, L, and S are baryon number, lepton number, and spin, respectively. All standard model particles have Rp = 1, and all superpartners have Rp = −1. R-parity conservation implies ΠRp = 1 at each vertex, and so both vertices in Fig. 3 are forbidden. Proton decay may be eliminated without R-parity conservation, for example, by forbidding B or L violation, but not both. However, in these cases, the non-vanishing R-parity violating couplings are typically subject to stringent constraints from other processes, requiring some alternative explanation.
An immediate consequence of R-parity conservation is that the lightest supersymmetric particle (LSP) cannot decay to standard model particles and is therefore stable. Particle physics constraints therefore naturally suggest a symmetry that provides a new stable particle that may contribute significantly to the present energy density of the universe.
2.5. Supersymmetry breaking and dark energy
Given R-parity conservation, the identity of the LSP has great cosmological importance. The gauge hierarchy problem is no help in identifying the LSP, as it may be solved with any superpartner masses, provided they are all of the order of the weak scale. What is required is an understanding of supersymmetry breaking, which governs the soft supersymmetry-breaking terms and the superpartner spectrum.
The topic of supersymmetry breaking is technical and large. However, the most popular models have “hidden sector” supersymmetry breaking, and their essential features may be understood by analogy to electroweak symmetry breaking in the standard model.
The interactions of the standard model may be divided into three sectors (see Fig. 4). The electroweak symmetry breaking (EWSB) sector contains interactions involving only the Higgs boson (the Higgs potential); the observable sector contains interactions involving only what we might call the “observable fields,” such as quarks q and leptons l; and the mediation sector contains all remaining interactions, which couple the Higgs and observable fields (the Yukawa interactions). Electroweak symmetry is broken in the EWSB sector when the Higgs boson obtains a non-zero vev: h → v. This is transmitted to the observable sector by the mediating interactions. The EWSB sector determines the overall scale of EWSB, but the interactions of the mediating sector determine the detailed spectrum of the observed particles, as well as much of their phenomenology.
Fig. 4. Sectors of interactions for electroweak symmetry breaking in the standard model and supersymmetry breaking in hidden sector supersymmetry breaking models.
Models with hidden sector supersymmetry breaking have a similar structure. They have a supersymmetry breaking sector, which contains interactions involving only fields Z that are not part of the standard model; an observable sector, which contains all interactions involving only standard model fields and their superpartners; and a mediation sector, which contains all remaining interactions coupling fields Z to the standard model. Supersymmetry is broken in the supersymmetry breaking sector when one or more of the Z fields obtains a non-zero vev: Z → F. This is then transmitted to the observable fields through the mediating interactions. In contrast to the case of EWSB, the supersymmetry-breaking vev F has mass dimension 2. (It is the vev of the auxiliary field of the Z supermultiplet.)
In simple cases where only one non-zero F vev develops, the gravitino mass is
| | (8) |
where M
≡ (8πGN)−1/2
2.4 × 1018 GeV is the reduced Planck mass. The standard model superpartner masses are determined through the mediating interactions by terms such as
| | (9) |
where cij and ca are constants,
and λa are superpartners of standard model fermions and gauge bosons, respectively, and Mm is the mass scale of the mediating interactions. When Z → F, these terms become mass terms for sfermions and gauginos. Assuming order one constants,
| | (10) |
In supergravity models, the mediating interactions are gravitational, and so Mm
M
. We then have
| | (11) |
and
. In such models with “high-scale” supersymmetry breaking, the gravitino or any standard model superpartner could in principle be the LSP. In contrast, in “low-scale” supersymmetry breaking models with Mm
M
, such as gauge-mediated supersymmetry breaking models,
| | (12) |
, and the gravitino is necessarily the LSP.
As with electroweak symmetry breaking, the dynamics of supersymmetry breaking contributes to the energy density of the vacuum, that is, to dark energy. In non-supersymmetric theories, the vacuum energy density is presumably naturally
instead of its measured value
meV4, a discrepancy of 10120. This is the cosmological constant problem. In supersymmetric theories, the vacuum energy density is naturally F2. For high-scale supersymmetry breaking, one finds
, reducing the discrepancy to 1090. Lowering the supersymmetry breaking scale as much as possible to
gives
, still a factor of 1060 too big. Supersymmetry therefore eliminates from 1/4 to 1/2 of the fine-tuning in the cosmological constant, a truly underwhelming achievement. One must look deeper for insights about dark energy and a solution to the cosmological constant problem.
2.6. Minimal supergravity
To obtain detailed information regarding the superpartner spectrum, one must turn to specific models. These are motivated by the expectation that the weak-scale supersymmetric theory is derived from a more fundamental framework, such as a grand unified theory or string theory, at smaller length scales. This more fundamental theory should be highly structured for at least two reasons. First, unstructured theories lead to violations of low energy constraints, such as bounds on flavor-changing neutral currents and CP-violation in the kaon system and in electric dipole moments. Second, the gauge coupling constants unify at high energies in supersymmetric theories [5], and a more fundamental theory should explain this.
From this viewpoint, the many parameters of weak-scale supersymmetry should be derived from a few parameters defined at smaller length scales through renormalization group evolution. Minimal supergravity [6], [7], [8], [9] and [10], the canonical model for studies of supersymmetry phenomenology and cosmology, is defined by five parameters:
| | (13) |
where the most important parameters are the universal scalar mass m0 and the universal gaugino mass M1/2, both defined at the grand unified scale MGUT
2 × 1016 GeV. In fact, there is a sixth free parameter, the gravitino mass
| m3/2. | (14) |
As noted in Section 2.5, the gravitino may naturally be the LSP. It may play an important cosmological role, as we will see in Section 4. For now, however, we follow most of the literature and assume the gravitino is heavy and so irrelevant for most discussions.
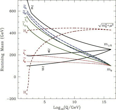
The renormalization group evolution of supersymmetry parameters is shown in Fig. 5 for a particular point in minimal supergravity parameter space. This figure illustrates several key features that hold more generally. First, as superpartner masses evolve from MGUT to Mweak, gauge couplings increase these parameters, while Yukawa couplings decrease them. At the weak scale, colored particles are therefore expected to be heavy, and unlikely to be the LSP. The Bino is typically the lightest gaugino, and the right-handed sleptons (more specifically, the right-handed stau
) are typically the lightest scalars.
Fig. 5. Renormalization group evolution of supersymmetric mass parameters. From [11].
Second, the mass parameter
is typically driven negative by the large top Yukawa coupling. This is a requirement for electroweak symmetry breaking: at tree-level, minimization of the electroweak potential at the weak scale requires
| | (15) |
where the last line follows for all but the lowest values of tan β, which are phenomenologically disfavored anyway. Clearly, this equation can only be satisfied if
. This property of evolving to negative values is unique to
; all other mass parameters that are significantly diminished by the top Yukawa coupling also experience a compensating enhancement from the strong gauge coupling. This behavior naturally explains why SU(2) is broken while the other gauge symmetries are not. It is a beautiful feature of supersymmetry derived from a simple high energy framework and lends credibility to the extrapolation of parameters all the way up to a large mass scale like MGUT.
Given a particular high energy framework, one may then scan parameter space to determine what possibilities exist for the LSP. The results for a slice through minimal supergravity parameter space are shown in Fig. 6. They are not surprising. The LSP is either the the lightest neutralino χ or the right-handed stau
. In the χ LSP case, contours of gaugino-ness
| | (16) |
where
| | (17) |
are also shown. The neutralino is nearly pure Bino in much of parameter space, but may have a significant Higgsino mixture for m0
1 TeV, where Eq. (15) implies |μ|
M1.
















