а2 (561272)
Текст из файла
Расчёт основных характеристик и геометрических размеров антенны.
Рабочая длина волны: l0 = 3,2 см.
Ширина диаграммы направленности одинаковая в горизонтальной и вертикальной плоскостях.
Допустимый уровень боковых лепестков: q = -23 дБ.
Полоса частот: 2%
Коэффициент направленного действия (коэффициент усиления): D=32 дБ
Коэффициент эллиптичности поля в случае вращающейся поляризации: 0.8
Геометрические размеры зеркала:
По уровню боковых лепестков выбираем закон изменения поля в раскрыве зеркала:
D=0 - нормированное значение поля на краю раскрыва.
Радиус параболоида определим через коэффициент направленного действия, предварительно перейдя от дБ к разам:
10lgD=32
D=1584
где g – коэффициент использован6ия поверхности антенны, или эффективность g=0,6
R=26,2 см
S=pR2=2156,5 см2 – площадь раскрыва зеркала.
При указанном амплитудном распределении, ширина диаграммы направленности: 2Q0.5=67*l/2R.
2Q0.5=4
При аппроксимации диаграммы направленности рупорного облучателя функцией cosn(y) максимальная эффективность зеркальной антенны g=0,82 достигается при y0=65, если n=2.
2y0-угол раскрыва зеркала.
Фокусное расстояние зеркальной антенны:
f=20,6 см.
Глубина зеркала:
h=6,6см.
Диаграмма направленности рупорного облучателя:
Амплитудное распределение поля в раскрыве зеркальной антенны пропорционально диаграмме направленности облучателя.
Координата раскрыва зеркала, соответствующая углу y, рассчитывается так:
Исходя из этого, получаем формулу для расчета диаграммы направленности облучателя:
Диаграмма направленности рупорного облучателя, построенная по известному закону изменения поля в раскрыве зеркала:
Ширина диаграммы направленности рупорного облучателя: 2Q0.7=57
Для обеспечения вращающейся поляризации возьмем рупор с волной типа Н11, т.е. квадратный рупор
Найдём размеры раскрыва рупора с оптимальной длинной
в плоскости Н: в плоскости Е:
a =2,5 см. b =2,5см.
Продольное сечение рупорного облучателя:
Оптимальная длинна рупорного
облучателя:
Rопт=0,78см.
Зная размеры раскрыва рупорного облучателя, построим амплитудную диаграмму направленности рупора в плоскости Е, в построении диаграммы направленности нет надобности, т.к. продольные и поперечные размеры рупора совпадют
Диаграмма направленности рупорного облучателя в плоскости Е:
Диаграмма направленности рупорного облучателя в плоскости Е, построенная в полярной системе координат, и её аппроксимация функцией
при n=1:
Амплитудное распределение поля вдоль зеркала:
Е(х)-амплитудное распределение поля в раскрыве зеркала в зависимости от диаграммы направленности рупорного облучателя имеет вид:
ggg
,где F(y)-диаграмма направленности облучателя:
Значение угла y, соответствующее координате раскрыва зеркала x, рассчитывается так:
После подстановки, амплитудное распределение поля в раскрыве зеркала принимает вид:
A(x) - аппроксимирующая функция.
Амплитудное распределение поля в раскрыве зеркала, построенное в зависимости от диаграммы направленности рупорного облучателя, практически совпадает с аппроксимирующей функцией, что свидетельствует о правильном выборе самой аппроксимирующей функции и геометрических размеров зеркальной антенны.
Диаграмма направленности зеркальной антенны:
Диаграмма направленности антенны при l=l0=3,2 см.
Ширина диаграммы направленности: 2Q0.7=4,02.
Уровень боковых лепестков: q = -23 дБ.
Диаграмма направленности антенны при l=l0+5%=3,36 см.
Ширина диаграммы направленности: 2Q0.7=4,16.
Уровень боковых лепестков не изменился.
Диаграмма направленности антенны при l=l0-5%=3,04 см.
Ширина диаграммы направленности: 2Q0.7=3,92.
Уровень боковых лепестков не изменился.
При изменении рабочей длинны волны в пределах заданной полосы частот происходит незначительное расширение(сужение) диаграммы направленности при сохранении уровня боковых лепестков.
Коэффициент полезного действия антенны (КПД):
Так как диаграмма направленности рупорного облучателя симметрична относительно оси антенны и может быть аппроксимирована функцией cosn(y), при n=1, то коэффициент полезного действия антенны (h) равен:
h=1-cos2n+1(y0)
h = 0,925
Точность изготовления антенны:
Технические допуски на точность изготовления зеркальных антенн определяются допустимой величиной отклонения фазового фронта в раскрыве зеркала от синфазного. Источниками фазовых ошибок в раскрыве антенны могут быть:
-
отклонение формы зеркала от расчетной;
-
смещение фазового центра облучателя из фокуса параболоида;
-
отклонение волнового фронта поля облучателя от сферического;
При отклонении реального профиля зеркала от расчетного на величину Dr фазовая ошибка Dy , возникающая в раскрыве зеркала, равна:
При Dy
Максимальная точность выполнения профиля зеркала должна быть у вершины:
Dr< 0,211 см
При смещении из фокуса фазового центра облучателя вдоль оси параболоида, в раскрыве зеркала возникает ошибка:
Полагая Dy
, где y0=65 – угол раскрыва зеркала.
Dr< 0,758 см
При смещении облучателя вдоль оси параболоида фазовая ошибка в раскрыве зеркала имеет квадратичный характер. Поэтому направление основного лепестка диаграммы направленности остается неизменным, увеличивается лишь его ширина и возрастает уровень бокового излучения.
При небольшом смещении облучателя в направлении, перпендикулярном оси параболоида, в раскрыве зеркала возникает линейная фазовая ошибка, что приводит к отклонению диаграммы направленности зеркальной антенны от оси параболоида в сторону, противоположную смещению облучателя, на угол
a=2,62.
Форма диаграммы направленности при этом не меняется, так как a<2Q0.7,
где 2Q0.7=7 – ширина диаграммы направленности антенны при несмещенном облучателе.
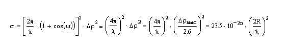
Коэффициент усиления антенны с учетом неточности изготовления зеркала:
При практической реализации зеркало антенны всегда выполняется с некоторыми погрешностями. Отклонение Dr профиля реального зеркала от идеального при правильно организованном технологическом процессе, как правило, имеет случайный характер. Максимальная величина случайной ошибки определяется уровнем технологии и для зеркальных антенн с вероятностью 99% может быть определена следующим образом:
n=3 для обычного серийного производства; n=4…5 – при специальной технологии.
Можно считать, что отклонение профиля Dr подчиняется нормальному закону распределения с нулевым средним значением и дисперсией (Dr)2. При этом с вероятностью 99% максимальное отклонение профиля равно:
Дисперсия фазовой ошибки в раскрыве, обязанная случайному характеру Dr, равна:
s2 =0,0021 при n=3.
С учетом этого коэффициент усиления зеркальной антенны будет равен:
S=pR2 – площадь раскрыва; g=0,82 – эффективность зеркальной антенны.
G = 726,677.
Расчет фидерного тракта антенны.
Параметры прямоугольного волновода:
В качестве фидерной линии в сантиметровом диапазоне волн обычно применяют прямоугольные волноводы с волной Н10. Поперечное сечение такого волновода имеет вид:
При этом критическая длинна волны определяется так: lкр=2а.
Выбирая размеры поперечного сечения волновода, исходят из условия нахождения основной волны Н10 в докритическом режиме, а высших типов волн, в частности Н20 и Н01, в закритическом режиме. Из этих условий следуют неравенства:
-
размер широкой стенки: 0,6l
размер узкой стенки: b
Определив по приведенным формулам ориентировочные размеры a и b, далее по справочнику выбираем стандартный волновод: a=23 мм; b=10мм.
Материал стенок волновода – латунь.
Толщина стенок волновода
1мм.
Максимальная (предельная) мощность, пропускаемая волноводом с волной Н10, определяется соотношением:
Епред=30 кВ/см – напряженность электрического поля, при которой происходит пробой в воздухе.
Рпред
890 кВт.
Допустимой мощностью называют предельную мощность пропускания, умноженную на коэффициент запаса электрической прочности, учитывающий неоднородности, вызывающие местные концентрации электрического поля, климатические факторы и наличие стоячей волны. Допустимая мощность Рдоп определяется как: Рдоп = (1/3…1/5)Рпред.
Рдоп=178 кВт.
При повороте волновода на 900, производить скругление изгиба не требуется, так как данная антенна работает в достаточно узкой полосе частот.
Параметры круглого волновода:
Осевая симметрия поля, необходимая для сохранения постоянства передачи электромагнитной энергии при вращении подвижной части волноводного тракта относительно неподвижного, имеется в круглых волноводах с симметричными волнами типа Е01 и Н01.
Поперечное сечение такого волновода имеет вид:
Из-за сложности возбуждения волны Н01 в круглом волноводе в чистом виде (одновременно возбуждаются волны типа Н11, Е01, Н21,Е11) использование вращающихся сочленений на основе данного типа волны не получило широкого практического применения.
Диаметр основного круглого волновода сочленения D определяется из условия распространения волны Е01 (D>0,76l) и затухания высших типов волн (D<0,97l), т.е.
2,66 см D = 3,34 см. R = 1,67 см. Проверка круглого волновода на максимальную пропускаемую мощность не производится, так как в прямоугольном волноводе с волной Н10 электрический пробой наступает быстрее, чем пробой в круглом волноводе при любом типе волны. Дроссельно-фланцевые соединения: Для соединения отрезков волноводных линий передачи используются дроссельные соединения в круглых, вращающихся друг относительно друга, волноводах и контактные фланцевые соединения в прямоугольных волноводах. В качестве дроссельной секции в круглом волноводе применяется полуволновая замкнутая линия, состоящая из двух параллельных четвертьволновых участков, длиной lE01/4=1,47 см., с разными волновыми сопротивлениями. Использование притертого фланца при тщательной обработке и строгой параллельности фланцевых поверхностей позволяет получить в месте соединения двух отрезков волноводных линий хороший электрический контакт. Переход от прямоугольного волновода к круглому: Для согласования волнового сопротивления прямоугольного волновода с круглым волноводом используются индуктивные диафрагмы, которые впаиваются с двух сторон в прорези в узких стенках прямоугольного волновода, емкостные диафрагмы в виде кольцевого выступа в круглом волноводе, индуктивные штыри, впаиваемые в прорези в широкой стенке прямоугольного волновода, положение и размеры которых подбираются экспериментально. Подавление паразитных типов волн: При переходе от прямоугольного волновода с волной Н10 к круглому волноводу в последнем возникают волны: рабочая - Е01 и более низкая паразитная - Н11. Волна Н11 имеет несимметричную структуру поля и её энергия в круглом волноводе равна Схема сочленения с «гасящими объемами» и резонансными кольцами имеет вид: «Гасящий объем» представляет собой круглый волновод, включаемый последовательно с возбуждающим прямоугольным и основным круглым волноводами сочленения. Если длину волновода сделать кратной целому числу полуволн типа Е01, то входное сопротивление волноводов для волны Е01 будет мало, и эта волна без затухания будет распространяться в основном круглом волноводе. Если одновременно сделать длину волновода кратной нечетному числу четвертей длин волн для волны Н11, то входное сопротивление гасящего волновода для этой волны будет велико, и волна Н11 в основном круглом волноводе распространяться не будет. Следовательно, длина «гасящего объема» определяется из условий: l=lE01/2; l=3lH11/4, где lE01=5,86 см; lH11=4,44см – длины волн в волноводе. После подстановки получаем: l=3 см. Диаметр гасящего волновода определяется из соотношения: d=3,1 см. Схема установки резонансных колец в круглом волноводе: Принцип действия резонансных колец заключается в следующем. Линии электрического вектора перпендикулярны кольцу, поэтому при точной ориентировке кольца в волноводе в нем не возбуждаются токи и волна Е10 распространяется без потерь. В то же время волна Н11 возбуждает в кольце токи, имеющие резонанс при длине кольца, равной длине волны в воздухе. Текущие в кольце токи возбуждают в волноводе волну типа Н11 с фазой поля, сдвинутой на 1800 по отношению к фазе возбуждающего поля. Поэтому в круглом волноводе за кольцом поля волны Н11 взаимно уничтожаются. r0 = 0,0655 см - радиус круглой проволоки для изготовления колец. r = 0,69 см – внутренний радиус кольца. L=(2n+1)lH11/4 - расстояние между фильтрующими кольцами; n=1,2…. L=5,55 см. Расстояние от кольца до дна основного круглого волновода выбирается из конструктивных соображений. Так как оно больше четверти длины волны Н11, то практически не влияет на резонансную частоту кольца. L1=2,2 см - расстояние от кольца до дна основного круглого волновода.
1%, поэтому необходимы специальные устройства для гашения этой волны (допустимое содержание паразитных волн составляет 0,1%). В конструкциях таких сочленений для подавления паразитных волн широко применяют «гасящие объемы» и резонансные кольца.
Характеристики
Тип файла документ
Документы такого типа открываются такими программами, как Microsoft Office Word на компьютерах Windows, Apple Pages на компьютерах Mac, Open Office - бесплатная альтернатива на различных платформах, в том числе Linux. Наиболее простым и современным решением будут Google документы, так как открываются онлайн без скачивания прямо в браузере на любой платформе. Существуют российские качественные аналоги, например от Яндекса.
Будьте внимательны на мобильных устройствах, так как там используются упрощённый функционал даже в официальном приложении от Microsoft, поэтому для просмотра скачивайте PDF-версию. А если нужно редактировать файл, то используйте оригинальный файл.
Файлы такого типа обычно разбиты на страницы, а текст может быть форматированным (жирный, курсив, выбор шрифта, таблицы и т.п.), а также в него можно добавлять изображения. Формат идеально подходит для рефератов, докладов и РПЗ курсовых проектов, которые необходимо распечатать. Кстати перед печатью также сохраняйте файл в PDF, так как принтер может начудить со шрифтами.















