Нате (559372)
Текст из файла
Процедура расчета платежей за загрязнение атмосферного воздуха стационарными источниками выброса состоит из следующих основных этапов:
1) Расчет норматива предельно допустимого выброса в атмосферу по предприятию в целом ПДВi для каждого i-го загрязняющего вещества
где ПДВij – норматив предельно допустимого выброса i-го загрязняющего вещества в атмосферу j-м источником выброса (j = 1, 2, …n ).
2) Расчет временно согласованного выброса (лимита выброса) в атмосферу по предприятию в целом ВСВi для каждого i-го загрязняющего вещества
где ВСВij – временно согласованный выброс i-го загрязняющего вещества в атмосферу j-м источником выброса.
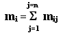
3) Расчет массы выброса в атмосферу по предприятию в целом mi для каждого i-го загрязняющего вещества
где mij – масса выброса i-го загрязняющего вещества в атмосферу j-м источником выброса.
4) Расчет массы выброса в атмосферу в пределах норматива mнi для каждого i-го загрязняющего вещества для следующих основных случаев:
а) если mi ≤ ПДВi , то mнi = mi ;
б) если mi > ПДВi , то mнi = ПДВi ;
в) если ПДВi = 0 (т.е. не был установлен), то mнi = 0.
5) Расчет массы выброса в атмосферу в пределах лимита mлi для каждого i-го загрязняющего вещества для следующих основных случаев:
а) если mi ≤ ПДВi , то mлi = 0 ;
б) если ПДВi < mi ≤ ВСВi, то mлi = mi - ПДВi ;
в) если ПДВi < mi , а ВСВi не был установлен, то mлi = 0 ;
г) если ВСВi < mi, то mлi = ВСВi - ПДВi;
д) если ПДВi = 0 и ВСВi = 0 (т.е. не были установлены), то mнi = 0.
6) Расчет массы выброса в атмосферу сверх установленного лимита mслi для каждого i-го загрязняющего вещества для следующих основных случаев:
а) если mi ≤ ПДВi , то mслi = 0 ;
б) если ПДВi < mi ≤ ВСВi, то mслi = 0;
в) если ПДВi < mi , а ВСВi не был установлен, то mслi = mi - ПДВi ;
г) если ВСВi < mi, то mслi = mi - ВСВi;
д) если ПДВi = 0 и ВСВi = 0 (т.е. не были установлены), то mслi = mi.
7) Расчет платежей за выбросы в атмосферу каждого i-го загрязняющего вещества в пределах установленного норматива (по базовым ставкам платы)
лн i баз
Плнi баэ =
лн i баз * mнi .
8) Расчет платежей за выбросы в атмосферу каждого i-го загрязняющего вещества в пределах установленного лимита (по базовым ставкам платы)
лл i баз
Пллi баз =
лл i баз * mлi .
9) Расчет платежей за выбросы в атмосферу каждого i-го загрязняющего вещества сверх установленного лимита (по базовым ставкам платы)
Плслi баз = 5 *
лл i баз * mслi .
10) Расчет суммы платежей за выбросы в атмосферу каждого i-го загрязняющего вещества (по базовым ставкам платы)
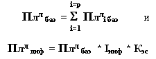
11) Расчет суммарных платежей за выбросы в атмосферу в пределах норматива (по базовым и дифференцированным ставкам платы)
где Iинф – произведение коэффициентов, начиная с года, следующего за годом установления действующих базовых ставок платы, до текущего года;
Кэс – коэффициент экологической ситуации и экологической значимости для загрязнения атмосферного воздуха в месте размещения природопользователя (в нашем случае для города Москвы) с учетом повышающего коэффициента.
12) Расчет суммарных платежей за выбросы в атмосферу в пределах установленного лимита (по базовым и дифференцированным ставкам платы)
13) Расчет суммарных платежей за выбросы в атмосферу сверх установленного лимита (по базовым и дифференцированным ставкам платы)
14) Расчет суммарных платежей предприятия за выбросы загрязняющих веществ в атмосферу (по базовым и дифференцированным ставкам платы)
Как сообщили ИА REGNUM в пресс-службе МПР России, объем выбросов загрязняющих веществ в атмосферный воздух в 2004 году от стационарных источников составил 20,5 млн. тонн, от передвижных - 15,3 млн. Объем выбросов от стационарных источников с 2000 года растет в среднем на 2-3,5 процентов в год, что связано восстановлением экономического роста в стране.
Доля выбросов загрязняющих веществ в атмосферу от объектов нефтедобывающей отрасли в 2004 году составила 20 % от общего объема выбросов от стационарных источников.
Тем не менее, одним из крупнейших загрязнителей атмосферы (с учетом нестационарных источников) в России остается транспортная отрасль, в 2004г. - 40-45% в среднем по России, а в крупных городах - до 90%.
Характеристики
Тип файла документ
Документы такого типа открываются такими программами, как Microsoft Office Word на компьютерах Windows, Apple Pages на компьютерах Mac, Open Office - бесплатная альтернатива на различных платформах, в том числе Linux. Наиболее простым и современным решением будут Google документы, так как открываются онлайн без скачивания прямо в браузере на любой платформе. Существуют российские качественные аналоги, например от Яндекса.
Будьте внимательны на мобильных устройствах, так как там используются упрощённый функционал даже в официальном приложении от Microsoft, поэтому для просмотра скачивайте PDF-версию. А если нужно редактировать файл, то используйте оригинальный файл.
Файлы такого типа обычно разбиты на страницы, а текст может быть форматированным (жирный, курсив, выбор шрифта, таблицы и т.п.), а также в него можно добавлять изображения. Формат идеально подходит для рефератов, докладов и РПЗ курсовых проектов, которые необходимо распечатать. Кстати перед печатью также сохраняйте файл в PDF, так как принтер может начудить со шрифтами.
















