Лекций основы финансового менеджмента (555590), страница 20
Текст из файла (страница 20)
Имея под рукой финансовые таблицы, инвестор мог бы выполнить этот же расчет следующим образом: для купонного дохода величину дисконтного множителя следует найти в таблице дисконтирования аннуитетов. При n = 3 и r = 25% он составит 1,952. Для номинала облигации дисконтный множитель следует искать в другой таблице – определения текущей величины единичных сумм. Он составит 0,512. Таким образом, внутренняя стоимость облигации будет равна:
Предположим, что купонный доход выплачивается в конце каждого полугодия в сумме 1 тыс. рублей (2 / 2). В этом случае следует применить формулу (4):
Внутренняя стоимость облигации теперь несколько ниже и составляет 8,987 тыс. руб. Этот же самый результат будет получен, если применить формулы (1) и (5):
При использовании финансовых таблиц необходимо искать дисконтные множители для срока 6 (3 х 2) и процентной ставки 12,5% (25 / 2). Для аннуитета такой множитель составит 4, 054, а для разового платежа – 0,493. Тогда
Заслуживает внимания факт, что выплата купонного дохода чаще, чем 1 раз в год, снижает внутреннюю стоимость облигации. Причем занижение происходит за счет более быстрой уценки номинала, который в любом случае выплачивается всего 1 раз в конце срока. Представляется, что такой результат не отражает реальной картины, так как инвестору выгоднее получать доход более частыми платежами. Читатель может убедиться сам, что использование для всех расчетов непрерывной процентной ставки позволило бы устранить данный логический казус. Так же самостоятельно следует определить внутреннюю стоимость облигации при условии изменяющейся суммы годового купона и переменной ставки сравнения (в этом случае могут быть использованы только формулы (2) и (4)).
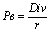
В случае эмиссии облигаций с нулевым купоном денежный поток характеризуется лишь одной суммой – номиналом облигации, который будет выплачен владельцу по истечении ее срока. Следовательно, формула определения внутренней стоимости облигации упрощается, необходимо продисконтировать только одну сумму:
(6)
В рассмотренном выше примере при условии отсутствия купонных выплат, внутренняя стоимость облигации составит
(7)
То есть, данную облигацию не следует покупать по цене выше 5,12 тыс. рублей.
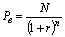
Правительства некоторых государств (например, Великобритании) эмитируют бессрочные облигации (консоли, военные займы), по которым периодически выплачивается фиксированная сумма дохода. В этом случае денежный поток представляет собой вечную ренту, приведенная стоимость которой (а следовательно, и внутренняя стоимость облигации) находится по известной формуле:
(8)
Например, по бессрочной облигации установлен ежегодный доход в сумме 600 рублей, ставка сравнения составляет 30%. Внутренняя стоимость такой облигации составит:
Иными словами, перспектива ежегодного получения 600 рублей в течение необозримого будущего для инвестора, альтернативная стоимость денежных средств для которого составляет 30% годовых, оценивается в 2 тыс. рублей. Если такую облигацию удастся купить дешевле, то NPV данной сделки будет положительной и она принесет выгоду покупателю. Периодичность выплат внутри года не оказывает влияния на стоимость такой облигации.
Как финансовый инструмент акция имеет немало существенных отличий от облигации: по обыкновенной акции не гарантируется обязательная выплата дохода (дивиденда), его величина может меняться во времени, возможны значительные колебания рыночной стоимости акции. В целом акции являются более рискованным инструментом, в сравнении с облигациями, однако они приносят владельцам более высокий доход. Внутренняя цена акции представляет дисконтированную сумму всех ожидаемых дивидендных выплат по ней плюс приведенная величина изменения ее рыночной стоимости. В отличие от облигации эмитент не обязан выкупать у инвестора акцию, однако инвестор может продать ее на вторичном фондовом рынке.
, (9)
где Div – годовая сумма дивидендов по акции (предполагается неизменной в течение всего срока владения ею);
Pпрод – цена, по которой планируется продать акцию в конце ее срока.
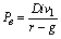
Одним из принципов ведения бизнеса является предположение о непрерывности работы предприятия в обозримом будущем: если не доказано обратное, считается, что предприятие будет продолжать свою деятельность бесконечно долго. Так как обыкновенные акции не имеют срока погашения, то распространяется этот принцип и на них, то есть их следует рассматривать как вечные ценные бумаги. Но по мере стремления периода владения (n) к бесконечности, величина второго слагаемого формулы (9) будет стремиться к нулю, т.е. дисконтированная стоимость продажной цены будет превращаться в бесконечно малую величину. Следовательно, при достаточно больших n ею можно пренебречь и определять внутренюю стоимость акции только по первому слагаемому формулы (9) – дисконтированной сумме ожидаемых дивидендов. Но так как сумма этих дивидендов остается неизменной, то возникает вечная рента, приведенная величина которой (а следовательно, и внутренняя стоимость акции) должна находиться по формуле:
(10)
Эта формула является универсальной, так как даже если инвестор собирается в скором времени перепродать акцию на вторичном рынке, он должен понимать, что цена ее продажи будет обусловлена суммй дивидендов, которую рассчитывает получить по ней ее новый покупатель. В конечном итоге второе слагаемое формулы (9) определяется суммой ожидаемых по акции дивидендов, поэтому при предположении неизменной суммы дивидендных выплат по акции для ее оценки используется формула (10). Выплата более или менее стабильных дивидендов предусмотрена по привилегированным акциям, которые занимают промежуточное положение между обыкновенными акциями и облигациями. Формула (10) чаще всего используется для оценки именно привилегированных акций. Например, по привилегированной акции ежегодно выплачивается дивиденд в сумме 300 рублей. Требуемая норма доходности (альтернативная цена капитала для инвестора) составляет 35%. Тогда внутренняя стоимость этой бумаги будет равна:
То есть максимально возможная цена покупки этой акции для данного инвестора составит 857 руб. 14 коп. Дивиденды могут выплачиваться чаще, чем 1 раз в год, например, поквартально. Однако (как уже говорилось в предыдущей главе), на результат вычислений по формуле (10) это не влияет. Достаточно разделить на 4 и числитель и знаменатель формулы, и будет получен тот же самый результат:
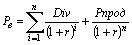
Если несколько усложнить модель, предположив равномерное увеличение суммы выплачиваемых дивидендов в будущем, то формула (10) примет вид:
, (11)
где Div1 – дивиденд, который должен быть выплачен в 1-м году планируемого периода,
g – планируемый темп прироста дивидендов.
Данная формула называется по имени ее автора моделью Гордона и широко используется для оценки обыкновенных акций крупных и многоотраслевых компаний. Если известен уровень дивидендов, выплаченных в базисном по отношению к планируемому периоде (Div0), то ее можно представить в следующем виде:
(12)
Предположив, что в рассмотренном выше примере сумма 300 рублей отражает величину дивиденда, выплаченного по обыкновенной акции в базисном периоде, а в дальнейшем планируется ежегодный 3-процентный прирост дивидендов, получим:
Ожидание даже небольшого роста дивидендов заметно увеличивает внутреннюю стоимость акции.
Хорошее знание математики позволяет от модели постоянного роста перейти к еще более сложным моделям, предусматривающим изменяющиеся во времени темпы прироста дивидендов. Соответственно будут усложняться и формулы расчетов. Однако данное усложнение ни коим образом не повышает надежность моделей, так как все зависит от точности предсказания темпов прироста. Повышению его точности может способствовать предварительный технический анализ, изучение трендов и построение корреляционно-регрессионных моделей. Все это относится скорее к инструментарию математической статистики, чем в финансовой теории. Более того, одной из широко распространенных финансовых концепций является признание невозможности предсказывать изменение цены акций на основании изучения только исторических данных. Более подробно данный вопрос будет рассмотрен в последующих главах.
Рассмотренные методы оценки ценных бумаг базируются на едином теоретическом фундаменте – дисконтировании денежных потоков. Данный подход не является единственно возможным. В практике оценки обыкновенных акций так же широко используется отношение “цена-доходы” (P/E), модель оценки финансовых активов Шарпа (CAPM). В последнее время очень быстро растет популярность производных ценных бумаг (опционы, фьючерсы), специфика которых обусловливает применение методов оценки, существенно отличающихся от рассмотренных выше; немало особенностей в способах оценки конвертируемых ценных бумаг и облигаций с правом их выкупа. Большинство из этих особенностей рассматриваются в рамках курсов “Финансовый анализ” и “Управление финансовыми ресурсами”.
Дополнительная литература к главе 3
Белых Л.П. Основы финансового рынка. – М.: Финансы, ЮНИТИ, 1999, стр. 82 – 100.
Брейли Р., Майерс С. Принципы корпоративных финансов. – М.: ЗАО “Олимп-Бизнес”, 1997, стр. 47 – 74, 101 – 138.
Бригхем Ю., Гапенски Л. Финансовый менеджмент (т. 1). – СПб.: Экономическая школа, 1998, стр. 102 – 131, 362 – 366.
Ван Хорн Дж. К. Основы управления финансами. – М.: Финансы и статистика, 1996, стр. 86 – 132, 381 – 385.
Вэйтилингем Р. Руководство по использованию финансовой информации Financial Times. – Финансы и статистика, 1999, стр. 26 – 31.
Ковалев В.В. Управление финансами. – М.: ФБК-ПРЕСС, 1998, стр. 27 – 34, 121 – 123.
Ковалев В.В. Финансовый анализ. – М.: Финансы и статистика, 1997, стр. 201 – 216, 303 – 306.
Макконелл Кэмпбелл Р., Брю Стэнли Л. Экономикс (т. 2). – М.: Республика, 1992, стр. 45 – 64.
Райан Б. Стратегический учет для руководителя. – М.: Аудит, ЮНИТИ, 1998, стр. 52 – 128.
4. Финансовые рынки
4.1. Сущность и виды финансовых рынков
Ориентация на альтернативные издержки в ходе обоснования финансовых решений превращает предприятие в открытую финансовую систему. Эффективность его деятельности определяется не только состоянием производственного потенциала или квалификацией рабочих, но и такими внешними факторами как уровень процентной ставки, темпы инфляции, общее состояние экономики страны, а также состояние мировой экономики. В своей повседневной деятельности предприятию постоянно приходится ощущать присутствие еще одного экономического субъекта помимо своих покупателей, поставщиков, органов госрегулирования и т.п.. Этим субъектом является рынок, оказывающий решающее воздействие на все аспекты работы предприятия: снабжение, производство, сбыт, в том числе и на его финансы. Спрос на продукцию предприятия находит отражение в ценах, по которым она может быть продана. Рыночная цена является ориентиром при формировании производственной программы предприятия – продавать продукцию по цене ниже рыночной означает увеличение его альтернативных издержек, пытаться продать ее дороже бесполезно. Аналогичным образом обстоит ситуация со всеми факторами производства: материальными ресурсами, оборудованием, рабочей силой. Для каждого из них существует соответствующий рынок, на котором концентрируется информация о спросе и предложении на данный ресурс и формируется его цена.
Финансовые ресурсы или капитал является таким же производственным фактором как сырье или основные фонды. Для достижения своей основной цели – увеличения богатства владельцев – предприятию постоянно приходится изыскивать новые возможности доходного вложения своих активов. Очень часто принимаемые предприятием инвестиционные проекты требуют привлечения дополнительного капитала. В случае недостаточности внутренних ресурсов (чистой прибыли и амортизации) предприятие может приобрести недостающий ему капитал на финансовом рынке. Ценой привлекаемого капитала будет являться доход, выплачиваемый предприятием инвестору (банковский процент, купонная ставка по облигациям, дивиденды по акциям и т.п.). Предприятие может выступать на финансовом рынке не только как покупатель, но и как продавец. В случае, если у него имеется избыточный собственный оборотный капитал и отсутствуют инвестиционные возможности, способные принести ему приемлемую ставку дохода, предприятие может осуществить финансовые вложения – приобрести ценные бумаги или разместить свободные средства на банковском депозите. Тем самым оно попытается хотя бы частично возместить альтернативные издержки владения денежными средствами. Покупая ценные бумаги других эмитентов, предприятие продает им свой временно свободный капитал. Его ценой в этом случае опять-таки выступает ставка дохода, выплачиваемая по приобретаемым финансовым вложениям.
Финансовые рынки осуществляют практически все те же функции, что и их товарно-сырьевые аналоги – они обеспечивают участников всей необходимой информацией о спросе и предложении на ресурсы и формируют рыночные цены этих ресурсов. Реализация этих функций позволяет финансовым рынкам создавать возможности выбора для потребителей, способствовать управлению рисками, воздействовать на управление компаниями. Вследствие большого разнообразия видов и форм различных финансовых инструментов, а также способов торговли ими, существуют различные финансовые рынки. Их можно классифицировать по нескольким признакам. В зависимости от длительности предоставляемых ресурсов различают рынки долгосрочного и краткосрочного капиталов. В последнем случае обычно говорят о денежных рынках, на них заключаются сделки сроком до 1 года. Денежные рынки подразделяются на кредитные и валютные рынки. На кредитных рынках предприятия и банки могут получить краткосрочные ссуды. Предприятия обычно кредитуются в коммерческих банках. Сами банки привлекают краткосрочный капитал на рынке межбанковского кредита. Общепризнанным в мире ориентиром цены на такого рода кредиты служит ставка предложения на Лондонском межбанковском рынке (LIBOR). Например, на 23 марта 2000 года ставка LIBOR на кредиты, номинированные в долларах США, колебалась от 6,124% годовых по 1-дневным (overnight) ссудам, до 6,845% по кредитам длительностью в 1 год. Аналогичная ставка (MIBOR) устанавливается на московском межбанковском кредитном рынке. На эту же дату размах ее колебаний по рублевым кредитам составлял от 9,8% overnight до 23% по 3-месячным ссудам. Ставка рефинансирования ЦБ РФ на эту дату была равна 33% годовых. Как правило данная ставка служит отправной точкой при определении цены кредита, получаемого предприятием в коммерческом банке. На московском рынке котируются также межбанковские ставки привлечения (спроса) на кредитные ресурсы (MIBID) и фактические ставки предоставления кредитов (MIACR).
К денежным рынкам могут быть отнесены также операции по покупке и продаже краткосрочных финансовых инструментов – векселей, казначейских обязательств и облигаций и подобных им ценных бумаг. Как правило таким образом привлекают капитал правительства и крупные банки, для предприятий они служат инструментом краткосрочных финансовых вложений. Наиболее известным инструментом такого рода являются 3-х и 6-месячные векселя Казначейства США. 23 марта 2000 года ставка выплачиваемого по ним дохода составила соответственно 5,9% и 6,1% годовых. Российским аналогом этих ценных бумаг были печально знаменитые ГКО-ОФЗ, уровень доходности которых порой зашкаливал за 200%. Крах рынка ГКО стал отправным пунктом серьезных перемен в экономической политике государства. В результате, уже в феврале 2000 года Правительство РФ эмитировало новый выпуск ГКО, уровень дохода по которым составил около 20%, т.е. был значительно ниже ставки рефинансирования.
















