Лекций основы финансового менеджмента (555590), страница 19
Текст из файла (страница 19)
Денежные средства должны вкладываться в проекты, приносящие максимальную NPV.
Вкладывать средства в проект следует до тех пор, пока IRR проекта превышает альтернативную стоимость инвестируемых денег.
Неудивительно, что показатели внутренней нормы доходности и чистой приведенной стоимости нашли широкое применение в практике оценки инвестиционных проектов. Однако данной сферой не исчерпываются области использования этих важнейших финансовых параметров. Практически любое долгосрочное финансовое решение может (и должно) быть обосновано с позиции двух вышеприведенных правил. Соблюдая эти правила, финансист способствует достижению своей основной цели – максимизации стоимости предприятия, т.е. увеличения капитала владельцев этого предприятия.
Концепция альтернативных издержек обогащает финансовую теорию, делает ее более обоснованной. Она позволяет понять природу взаимосвязей между отдельными экономическими субъектами – населением, государством, предприятиями. Использование данной концепции позволяет объяснить, почему рост цены нефти на мировых рынках обусловил удорожание бензина в России, экспортирующей, а не ввозящей нефть. Без применения этой концепции невозможно понять, почему повышение процентной ставки невыгодно держателем облигаций с фиксированным доходом, почему инвесторы требуют более высокой доходности по долгосрочным облигациям в сравнении с краткосрочными, почему фирмы не хранят на своих счетах больших остатков денег...
Вместе с тем, она отнюдь не облегчает жизнь финансистов-практиков, которые отчетливо ощущают дистанцию между теоретическим решением задачи и ее практической реализацией. Понимая, что результаты деятельности предприятия зависят не только от внутренних. но и от большого числа внешних факторов, финансовые менеджеры хотят получить в руки надежные инструменты измерения силы влияния этих факторов и способы правильного реагирования на их воздействие. Практическая работа ежедневно ставит перед финансистом большое число вопросов, для ответа на которые необходимо рассчитывать и анализировать альтернативные издержки. Вот только часть таких вопросов: как правильно выбрать безрисковую ставку; каким образом спрогнозировать темпы будущей инфляции; как измерить риск и отождествить его уровень с величиной конкретной ставки дисконтирования? На самом деле вопросов значительно больше, и далеко не на все из них уже получены однозначные ответы. В последующих главах настоящего пособия будет показано дальнейшее развитие рассмотренных концепций и пути их практического использования.
3.4. Оценка основных финансовых активов
Главным свойством активов является их способность приносить доход. Предприятие не будет инвестировать свои ресурсы в приобретение имущества, которое не обладает таким свойством. Сумма будущих чистых денежных притоков (NPV), которые актив способен обеспечить предприятию, называется его внутренней (справедливой или экономической) стоимостью. Определение внутренней стоимости активов, предназначенных для производственного использования, производится в ходе инвестиционного проектирования. На этой стадии предприятие сопоставляет расходы по приобретению и переработке активов с прогнозируемой величиной будущих доходов (чистых денежных притоков), которые могут быть получены от использования этих активов. Для дисконтирования будущих денежных притоков используется процентная ставка, отражающая альтернативную стоимость привлекаемого предприятием капитала. Очевидно, что способность производственных активов приносить доход определяется прежде всего их потребительскими (физическими) свойствами – качеством материалов, производительностью оборудования и т.п. Успех любого инвестиционного проекта в большой мере зависит от того, насколько верно инженерно-технические службы предприятия оценили именно эти свойства активов, а производственные и коммерческие подразделения смогли их полностью реализовать.
Вместе с тем предприятие может располагать активами, не обладающими никакими потребительскими свойствами, кроме одного – способности приносить доход. Речь идет о финансовых активах – вложениях в ценные бумаги, банковские депозиты и других инвестициях, целью которых является получение текущего дохода (проценты, дивиденды, купоны) или увеличение их первоначальной стоимости. Внутренняя стоимость этих актиов определяется таким же образом, как и любых других: путем расчета их NPV. Различие состоит в том, что для определения внутренней стоимости финансовых активов не требуется предварительное выполнение каких-то специальных инженерно-технических обоснований, учитывающих их потребительские или физические свойства. Единственное, что нужно знать для оценки такого актива это величину и временную структуру обеспечиваемых им денежных потоков. Выполнив дисконтирование этих потоков по ставке, отражающей альтернативные издержки предприятия по привлекаемому им капиталу, можно определить внутреннюю стоимость (NPV) данного актива.
Финансовые активы отражают инвестиции предприятия в собственные и заемные капиталы других компаний. Однако и само предприятие может выпустить (эмитировать) и продать соответствующие ценные бумаги. В этом случае они уже не будут являться для него финансовыми активами, а станут частью собственного (акции) или заемного (облигации) капитала. Зато для покупателей этих ценных бумаг они будут финансовыми активами. Предприятие-эмитент само определяет размер и временную структуру выплат дохода по выпускаемым им ценным бумагам. При этом оно пользуется теми же самыми правилами расчета их внутренней стоимости, что и при покупке. Оно понимает, что именно по этим правилам будет оценивать эмитируемые бумаги рынок. Поэтому условия размещаемых ценных бумаг должны быть такими, чтобы заинтересовать потенциальных инвесторов. в то же время предприятие должно исходить из своих реальных финансовых возможностей, так как выплата чрезмерно высоких доходов может стать для него непосильным бременем.
Рассмотрим методику оценки рынком основных финансовых активов: акций и облигаций. Обычно считается, что оценка финансовых инструментов – это прежде всего сфера деятельности спекулянтов на фондовых биржах, имеющая мало общего с деятельностью коммерческих предприятий нефинансового характера. Подтверждением такого мнения служат большое число видов различных ценных бумаг, специфика торговли ими, наличие специального биржевого законодательства. Не вступая в дискуссию по поводу данной точки зрения, отметим, что значительная часть обращающихся на фондовом рынке бумаг – это свидетельства о праве их владельцев на долю собственности в конкретных предприятиях или подтверждения займов, предоставленных предприятиям. Иными словами на фондовом рынке покупаются и продаются элементы правой части баланса предприятий – собственного капитала и пассивов. То, что для держателя ценной бумаги является финансовым активом, для эмитировавшего эту бумагу предприятия означает обязательство возврата долга или выплаты дивидендов. Очевидно, что эмитент заинтересован в росте рыночной стоимости своих ценных бумаг: при их первичном размещении он получит больше денег в свое распоряжение; в процессе вторичных торгов увеличение рыночной стоимости его капитала и долгосрочных обязательств является свидетельством хорошей работы предприятия и роста стоимости его активов. Инвестор заинтересован в приобретении бумаг с высокой внутренней стоимостью, однако заплатить за них он хотел бы поменьше. В общем виде его задача сводится к поиску инструментов, неверно (с его точки зрения) оцененных рынком. Если инструмент недооценен рынком (рыночная цена ниже внутренний стоимости), инвестор захочет его купить. В противном случае (завышенной рыночной оценки) владелец постарается продать переоцененный рынком инструмент.
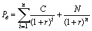
Важнейшим вопросом при оценке любого финансового инструмента является правильное определение порождаемых им денежных потоков. Для долговых инструментов, к числу которых относятся облигации, такими потоками являются периодически выплачиваемые проценты (купонный доход) и сумма долга (номинал облигации), которая обычно возвращается в конце срока облигации, хотя возможны и другие варианты ее погашения. Если выплата процентов не предусмотрена, то доход реализуется в форме разницы в ценах продажи и выкупа облигации (в виде дисконта). Широко распространенный и наиболее удобный для анализа вид долговых ценных бумаг – срочные безотзывные купонные облигации, предполагающие равномерную выплату фиксированного купонного дохода. Общий денежный поток от владения этими инструментами складывается из двух компонентов – сумма купонного дохода и величина номинала, погашаемая по окончании срока долга. Соответственно, общая формула определения внутренней стоимости такой облигации (Рв) будет иметь вид:
, (1)
где PVC – приведенная стоимость купонных выплат,
PVN – приведенная стоимость суммы погашения долга
или
, (2)
где С – ежегодный купонный доход,
N – номинал облигации;
r – ставка сравнения (желаемая инвестором норма доходности),
n – срок до погашения облигации,
i – номер года, за который выплачивается купонный доход.
Равномерные выплаты купонного дохода представляют собой аннуитет, приведенная стоимость которого суммируется с приведенной стоимостью разовой выплаты нарицательной стоимости облигации в конце срока. Принципиально важную роль в этом расчете имеет ставка сравнения r, которая представляет собой альтернативную стоимость денежных средств для инвестора (см. § 3.3). В случае неизменной величины купонного дохода и процентной ставки r, первое слагаемое формулы (2) может быть представлено в более удобном для использования виде (формула 4 из § 2.3):
, (3)
Такое представление позволяет избежать громоздкой процедуры многократного дисконтирования годового дохода и последующего суммирования полученных результатов. Еще одним важным преимуществом такой формы представления является возможность использования финансовых таблиц, в которых приводятся значения множителей дисконтирования (второй сомножитель в формуле 3). При выплате купонного дохода два раза в год (что является общепринятой практикой), формула (2) несколько изменится:
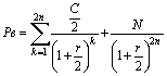
, (4)
где k – номер полугодия, в котором производится выплата.
Применив формулу 13 из § 2.3, можно преобразовать выражение (3):
(5)
В этом случае ставка сравнения r становится номинальной процентной ставкой, поэтому при выплате дохода чаще, чем два раза в год можно легко преобразовывать базовую формулу, используя правила дисконтирования p-срочных аннуитетов с m = p (см. §. 2.3).
Аналогичные преобразования можно производить и с базовыми формулами (2) и (4). При этом годовую сумму купонного дохода (С) следует делить на число его выплат в течение года; точно так же надо поступать и со ставкой сравнения (r); срок до погашения облигации (n), наоборот, следует увеличить в такое же число раз. Большим преимуществом использования менее удобных формул (2) и (4) является возможность подстановки в них изменяющихся во времени значений купонного дохода С и ставки сравнения r. Условия облигационного займа могут предусматривать выплату переменного, а не постоянного купона. Величина ставки сравнения зависит от многих факторов, прежде всего – от уровня ставки рефинансирования Центрального банка. Поэтому в соответствующие формулы можно ввести не постоянные величины C и r, а переменные – Ck и rk.
Рассмотрим пример: номинал облигации 10 тыс. рублей, срок – 3 года, купонная ставка – 20%, выплата купона 1 раз в год (в конце года). Найти ее внутреннюю стоимость, если приемлемая для инвестора ставка сравнения составляет 25% годовых. Ожидаемый денежный поток от владения облигации можно представить следующим образом:
тыс. руб.
| Виды выплат | 1 год | 2 год | 3 год |
| Купонный доход | 2 | 2 | 2 |
| Возврат суммы долга | – | – | 10 |
| Итого | 2 | 2 | 12 |
По формуле (2) получим:
Для инвестора имеет смысл приобретение облигации по цене не дороже 9, 024 тыс. рублей. Точно такой же результат будет получен с использованием формул (1) и (3):
















