Borisov - the BEST (544794), страница 4
Текст из файла (страница 4)
Рисунок 3.1.1
График изменения температур сетевой воды, идущей на горячее водоснабжение и отопление.
Рисунок 3.2.2
График изменения суммарного расхода сетевой воды, идущей на горячее водоснабжение и отопление.
4. Гидравлический расчет водяной тепловой сети.
4.1 По принципиальной схеме водяной тепловой сети определяется наиболее удаленный потребитель от источника теплоснабжения:
Будем считать, что головная магистраль проходит от источника теплоснабжения до второго жилого микрорайона, тогда:
1, 2 и 4 участки – это участки головной магистрали;
3 и 5 участки – это участки ответвлений от головной магистрали.
Определение расчетных расходов сетевой воды на всех участках тепловой сети:
Так как система теплоснабжения водяная закрытая с тепловой нагрузкой менее 100 МВт,
то k3 = 1,2
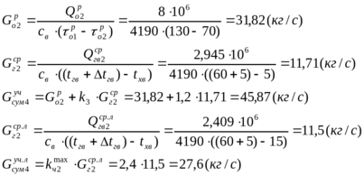
Пятый участок:
Четвертый участок:
Третий участок:
Второй участок:
Первый участок:
4.2 По справочным данным определяются физические свойства сетевой воды в подающем и обратном трубопроводах тепловой сети.
Для расчетного режима:
Для летнего режима:
4.3 Вычисляется среднее значение для плотности и кинематической вязкости сетевой воды.
Для расчетного режима:
Для летнего режима:
4.4 Выполняется гидравлический расчет трубопровода каждого участка головной магистрали.
Головная магистраль: котельная - 3-й участок.
4.4.1 Задаются скоростью движения сетевой воды в трубопроводе:
4.4.2 Вычисляется внутренний диаметр трубопровода на участке тепловой сети.
4.4.3 По справочным данным принимается ближайшее значение внутреннего диаметра которое соответствует ГоСТу.
4.4.4 По принятому значению
уточняется скорость движения сетевой воды.
Для расчетного режима:
Для летнего режима:
4.4.5 Определяется режим и зона течения сетевой воды в трубопроводе, для этого вычисляется безразмерный параметр называемый критерием Re.
Для расчетного режима:
Для летнего режима:
4.4.6 Рассчитываются предельные значения критерия Re.
4.4.7 Вычисляется коэффициент гидравлического трения на участках тепловой сети.
Для расчетного режима и летнего режима:
4.4.8 По формуле Дарси- Вейсбаха определяются потери напора на трение по длине трубопровода на всех участках тепловой сети.
Для расчетного режима:
Для летнего режима:
4.4.9 Вычисляются потери напора в местных сопротивлениях на участках тепловой сети.
Для расчетного режима:
1-й участок: задвижка.
+ тройник
2-й участок: задвижка.
+ тройник
4-й участок: задвижка + 1 поворот (гнутый гладкий на
):
3-й участок: задвижка + 2 поворота (гнутые гладкие на
):
Эквивалентная длина местных сопротивлений на участке тепловой сети:
Удельное линейное падение давления в трубопроводе:
Коэффициент потерь в местных сопротивлениях трубопровода на участке тепловой сети:
Полные потери напора на участке ответвления от головной магистрали:
Потери напора на местных сопротивлениях:
5-й участок: задвижка + поворот (гнутый гладкий на
):
Эквивалентная длина местных сопротивлений на участке тепловой сети:
Удельное линейное падение давления в трубопроводе:
Коэффициент потерь в местных сопротивлениях трубопровода на участке тепловой сети:
Полные потери напора на участке ответвления от головной магистрали:
Потери напора на местных сопротивлениях:
Для летнего режима:
1-й участок: задвижка.
+ тройник
2-й участок: задвижка.
+ тройник
4-й участок: задвижка + 1 поворот (гнутый гладкий на
):
3-й участок: задвижка + 2 поворот (гнутые гладкие на
):
Эквивалентная длина местных сопротивлений на участке тепловой сети:
Удельное линейное падение давления в трубопроводе:
Коэффициент потерь в местных сопротивлениях трубопровода на участке тепловой сети:
Полные потери напора на участке ответвления от головной магистрали:
Потери напора на местных сопротивлениях:
5-й участок: задвижка + поворот (гнутый гладкий на
):
Эквивалентная длина местных сопротивлений на участке тепловой сети:
Удельное линейное падение давления в трубопроводе:
Коэффициент потерь в местных сопротивлениях трубопровода на участке тепловой сети:
Полные потери напора на участке ответвления от головной магистрали:
Потери напора на местных сопротивлениях:
4.4.10 Определяются полные потери напора на 1, 2, 4 участках тепловой сети.
Для расчетного режима:
Для летнего режима:
Результаты расчетов приведены в таблице 4.1.
Таблица 4.1 – Сводных значений для гидравлического расчета тепловой сети.
| Номер участка | режим | L, м | |||||||
| 1 | расчетный | 1200 | 166,68 | 0,359 | 1,723 | 12,14 | 1,5 | 0,22 | 12,36 |
| летний | 93,02 | 0,359 | 0,934 | 3,56 | 0,067 | 3,627 | |||
| 2 | расчетный | 2000 | 91,37 | 0,259 | 1,814 | 33,67 | 1,5 | 0,25 | 33,92 |
| летний | 38,85 | 0,259 | 0,75 | 5,75 | 0,043 | 5,793 | |||
| 3 | расчетный | 800 | 45,5 | 0,184 | 1,79 | 19,29 | 1,3 | 1,3 | 20,59 |
| летний | 11,25 | 0,184 | 0,5 | 1,14 | 0,44 | 1,58 | |||
| 4 | расчетный | 900 | 45,87 | 0,184 | 1,805 | 23,55 | 1,3 | 0,216 | 23,77 |
| летний | 27,6 | 0,184 | 1,055 | 8,04 | 0,073 | 8,114 | |||
| 5 | расчетный | 900 | 75,318 | 0,259 | 1,496 | 10,3 | 1,3 | 0,16 | 10,46 |
| летний | 54,17 | 0,259 | 1,045 | 5,02 | 0,12 | 5,14 |
5. Выбор сетевых и подпиточных насосов. Определение суммарных и удельных затрат электроэнергии на передачу (транспортировку) тепловой энергии.
Выбор сетевых насосов:
Определение объемной производительности сетевых насосов:
Определение рабочего напора сетевых насосов:
По найденным значениям объемной производительности и рабочего напора выбираем сетевые насосы СЭ – 2000 – 140 в количестве трех штук, один из которых резервный.
Мощность электродвигателя:
Годовое потребление электроэнергии сетевыми насосами:
Выбор подпиточных насосов:
Определение объемной производительности подпиточных насосов:
Рабочий напор подпиточных насосов:
По найденным значениям объемной производительности и рабочего напора выбираем подпиточные насосы СЭ – 1250 – 70 – 16 в количестве девяти штук.
















