Для студентов МГТУ им. Н.Э.Баумана по предмету Линейная алгебра и аналитическая геометрияКривые и поверхности второго порядкаКривые и поверхности второго порядка
5,0051
2022-04-282025-05-22СтудИзба
ДЗ 1.2: Кривые и поверхности второго порядка вариант 20
-66%
Описание
2022г Вариант 20 - ДЗ №2 - Кривые и поверхности второго порядка
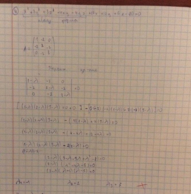
В задаче 4: Привести уравнение поверхности второго порядка ортогональным преобразованием и параллельным переносом к каноническому виду, указав преобразования перехода от исходной прямоугольной системы координат Oxyz к полученной системе O′x ′ y ′ z ′ . Построить поверхность в полученной системе координат O′x ′ y ′ z ′ , используя метод сечений. Во всех задачах собственные числа матрицы A квадратичной формы расположить в порядке возрастания, а матрицу ортогонального преобразования T построить так, чтобы detT = +1.
![]()
Зачтено на максимальный балл
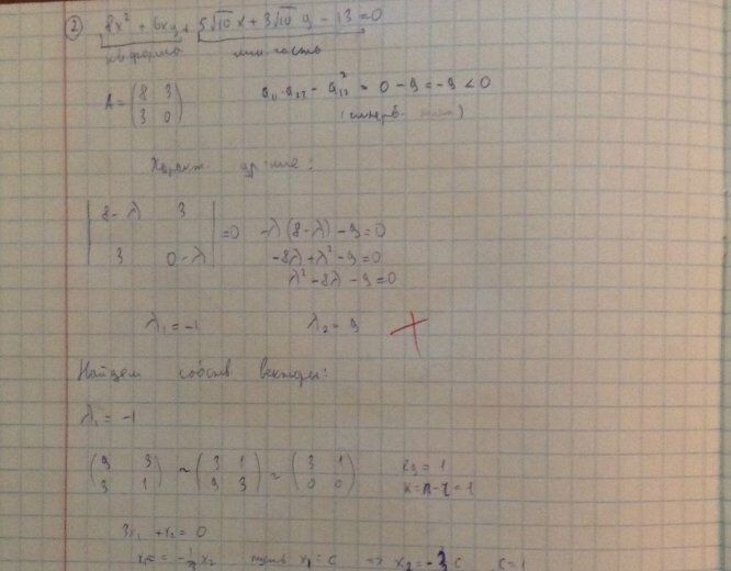
В задачах 1, 2, 3: Привести уравнение кривой второго порядка ортогональным преобразованием и параллельным переносом к каноническому виду, указав преобразования перехода от исходной прямоугольной системы координат Oxy к полученной системе O′x ′ y ′ . Начертить кривую на плоскости xOy, изобразив на чертеже систему O′x ′ y ′ .В задаче 4: Привести уравнение поверхности второго порядка ортогональным преобразованием и параллельным переносом к каноническому виду, указав преобразования перехода от исходной прямоугольной системы координат Oxyz к полученной системе O′x ′ y ′ z ′ . Построить поверхность в полученной системе координат O′x ′ y ′ z ′ , используя метод сечений. Во всех задачах собственные числа матрицы A квадратичной формы расположить в порядке возрастания, а матрицу ортогонального преобразования T построить так, чтобы detT = +1.






Характеристики домашнего задания
Учебное заведение
Семестр
Номер задания
Вариант
Просмотров
1067
Качество
Фото рукописных листов
Размер
14,52 Mb
Список файлов
Вариант 20 - ДЗ №2 - Кривые и поверхности второго порядка
1.JPG
2.JPG
3.jpg
4.jpg
5.jpg
6.jpg
7.jpg
8.jpg
9.jpg
10.jpg
11.jpg
12.jpg
13.jpg
14.jpg
15.jpg
16.jpg
17.jpg
18.jpg
19.jpg
20.jpg
Линал 2 семестр ДЗ Квадратичные формы.pdf

Друзья, спасибо за доверие! Если вам понравилась работа – поставьте 5⭐ и напишите отзыв. Это поможет другим студентам, а мне даст силы делать ещё больше качественных материалов для вас 🔥