Для студентов МГТУ им. Н.Э.Баумана по предмету Кратные интегралы и рядыЧисловые рядыЧисловые ряды
5,0051
2021-01-112021-01-11СтудИзба
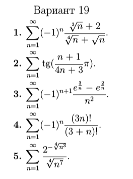
ДЗ 3.1: Числовые ряды вариант 19
Описание

Характеристики домашнего задания
Предмет
Учебное заведение
Семестр
Номер задания
Вариант
Просмотров
28
Качество
Скан рукописных листов
Размер
3,39 Mb
Список файлов
ДЗ№3.1_ряды.pdf