Для студентов МГТУ им. Н.Э.Баумана по предмету Кратные интегралы и рядыЧисловые рядыЧисловые ряды
5,0051
2020-12-262020-12-26СтудИзба
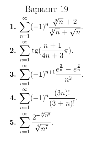
ДЗ 3.1: Числовые ряды вариант 19
Описание

Характеристики домашнего задания
Предмет
Учебное заведение
Семестр
Номер задания
Вариант
Просмотров
36
Размер
2,71 Mb
Список файлов
ряды 1 часть.pdf
Комментарии
Нет комментариев
Стань первым, кто что-нибудь напишет!
МГТУ им. Н.Э.Баумана
Danushka

















