Лекция - Ряды Фурье (1275515)
Текст из файла
Р
яд Фурье, его формы, свойства спектров.
Б
азис полон для пространства .
Равенство Парсеваля:
Базисные функции: при t
Б
азисные функции: при t
периодичны.
T
представляет собой наименьшее общее кратное их периодов.
Ряд Фурье представляет сигнал на конечном интервале и его периодическое продолжение на всей оси
При этом спектральные коэффициенты находятся по тем же формулам!
К
омплексный ряд Фурье.
В
общем случае комплексные
А
мплитудный спектр Фазовый спектр
Комплексный ряд Фурье вещественного сигнала.
амплитудный спектр (чётный)
Сигнал вещественный фазовый спектр (нечётный)
= Ck*
Тригонометрические формы ряда Фурье.
Тогда ряд Фурье можно записать в тригонометрической форме:
О
тсюда следуют связи:
Сигнал четный – все синусоидальные компоненты равны 0; сигнал нечетный – все косинусоидальные компоненты равны нулю (при этом равна нулю и постоянная составляющая).
П
ример.
Ч
астота появления импульсов:
С
кважность импульсной последовательности:
Огибающая впервые пересекает ось
абсцисс.
Дискреты отстоят друг от друга
численное значение скважности во сколько раз полуширина главного лепестка огибающей спектра больше шага следования спектральных составляющих по оси частот.
Аппроксимация сигнала конечной суммой ряда Фурье.
Связь ряда и преобразования Фурье.
Р
ассмотрим импульс (финитный сигнал): х(t) со спектральной плотностью X(t).
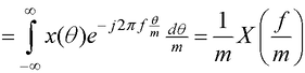
С
пектр периодического сигнала:
С
войства преобразования Фурье.
1. Линейность:
2. Дуальность (частотно-временная симметрия):
3
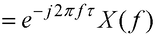
. Теорема сдвига (запаздывания):
4. Теорема масштаба:
5
. Теорема дифференцирования:
6
. Теорема интегрирования:
8
. Теорема свёртки:
9
. Теорема умножения:
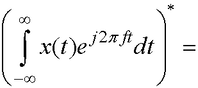
1
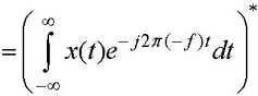
0. Теорема сопряжения:
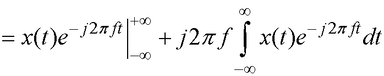
1
1. Теорема обращения:
Сигнал вещественный:
и
ли
Т
о же следует из теоремы сопряжения:
С
игнал вещественный:
и
ли
С
игнал вещественный чётный:
С
игнал вещественный нечётный:
С
пектральные плотности гармонических сигналов.
-
с
пектральная плотность в обычном смысле не существует
Б
алансно-модулированное колебание.
Спектральные плотности периодических сигналов.
П
ериодический сигнал:
С
пектральная плотность:
К
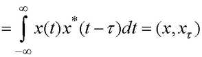
орреляционно-спектральные характеристики детерминированных сигналов.
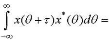
взаимная спектральная плотность
энергетический спектр сигнала
(спектральная плотность энергии)
О
братное преобразование Фурье взаимной спектральной плотности:
теорема сдвига
автокорреляционная функция
С
войства автокорреляционной функции.
Достигает максимума при нуле:
О
бладает свойством сопряжённости:
=
В частности, для вещественного сигнала АКФ - чётная функция.
С
инхронизация систем связи.
П
ример. АКФ прямоугольного импульса.
Максимальное значение равно:
П
ример. АКФ пилообразного импульса.
П
ример. Сигнал Баркера.
Уровень главного лепестка:
Уровни боковых лепестков в N
раз меньше главного
Д
ля m-последовательностей длина в принципе не ограниченна, но уровень боковых лепестков .
6
Характеристики
Тип файла документ
Документы такого типа открываются такими программами, как Microsoft Office Word на компьютерах Windows, Apple Pages на компьютерах Mac, Open Office - бесплатная альтернатива на различных платформах, в том числе Linux. Наиболее простым и современным решением будут Google документы, так как открываются онлайн без скачивания прямо в браузере на любой платформе. Существуют российские качественные аналоги, например от Яндекса.
Будьте внимательны на мобильных устройствах, так как там используются упрощённый функционал даже в официальном приложении от Microsoft, поэтому для просмотра скачивайте PDF-версию. А если нужно редактировать файл, то используйте оригинальный файл.
Файлы такого типа обычно разбиты на страницы, а текст может быть форматированным (жирный, курсив, выбор шрифта, таблицы и т.п.), а также в него можно добавлять изображения. Формат идеально подходит для рефератов, докладов и РПЗ курсовых проектов, которые необходимо распечатать. Кстати перед печатью также сохраняйте файл в PDF, так как принтер может начудить со шрифтами.
росуммируем пару:
ложим пару функций:
. Теорема модуляции:
самом деле:
пектральная плотность в обычном смысле не существует
налогично:
















