Лабораторная работа №1 (1267362)
Текст из файла
1.Техническое задание.
-
Алфавит источника сообщений с априорными вероятностями символов:
| к | р | з | о | а | т |
| 0.3 | 0.3 | 0.12 | 0.11 | 0.09 | 0.08 |
-
Код для сокращения избыточности (сжатия) – код Хафмана.
-
Канальное кодирование выполняется (7,4) – кодом Хемминга.
-
Вид модуляции – фазовая модуляция.
-
Форма посылки – прямоугольный радиоимпульс.
2. Структурная схема системы связи.
Рис. 1. Простейшая схема структуры дискретной системы связи.
Система связи (рис. 1) представляет собой сложную совокупность устройств, выполняющих преобразования сообщений и сигналов с целью наиболее эффективной передачи информации. К показателям эффективности относятся достоверность и скорость передачи информации, а также некоторые другие величины.
Источник сообщений порождает сообщение а, которое кодируется кодером в последовательность кодовых символов и в виде цифрового сигнала b(t) поступает в модулятор. Модулированный сигнал U(t) поступает в линию связи, где сигнал подвергается воздействию помех ξ(t). Далее сигнал Z(t) поступает на вход демодулятора, образуя сигнал
, отличающийся от первичного сигнала b(t). На последнем этапе выполняется декодирование сигнала
в сообщение
.
3. Построение эффективного кода.
Информационная последовательность символов, представляющая собой сообщение, может быть заменена другой, кодовой последовательностью, состоящей из символов кодового алфавита.
Цель кодирования:
-
более полное использование канала связи (экономное кодирование), т.е. максимально быстрая передача.
-
повышение верности передачи (помехоустойчивое кодирование).
Алгоритм кодирования источника по методу Хаффмана.
-
Все символы алфавита записываются в порядке убывания вероятностей.
-
Два нижних символа объединяются скобкой, из них нижнему приписывается символ 1, верхнему - 0 (или наоборот).
-
Вычисляется сумма вероятностей, соответствующих этим символам алфавита.
-
Все символы алфавита снова записываются в порядке убывания вероятностей, при этом только что рассмотренные символы “склеиваются”, т.е. учитываются как единый символ с суммарной вероятностью.
-
Повторяются шаги 2-4 до тех пор, пока не останется ни одного символа алфавита, не охваченного скобкой.
Скобки в совокупности образуют дерево (рис. 2).
Рис. 2. Дерево декодирования для кода Хаффмана.
Таким образом, символы алфавита представляются следующими кодовыми комбинациями:
| К | Р | З | О | А | Т |
| 11 | 10 | 011 | 010 | 001 | 000 |
После кодирования у нас получилось две команды:
«ОТКР» 0100001110
«ЗАКР» 0110011110
Теперь представим математические модели этих сигналов в виде линейной комбинации функций Хевисайда, построим временные графики.
Функция Хевисайда:
Представим сигнал «ОТКР» в виде линейной комбинации функций Хевисайда.
Представим сигнал в виде:
и построим график:
Представим сигнал «ЗАКР» в виде линейной комбинации функций Хевисайда.
Представим сигнал в виде:
и построим график:
После кодера мы усилим сигнал, чтобы его уровень был выше уровня шума.
4.Сигнал на модуляторе.
В таком виде сигнал поступает на модулятор, перемножается с несущим колебанием генератора на частоте 433 МГц и модулируется. В нашем случае используется фазовая модуляция.
Несущий сигнал генератора с частотой 433 МГц:
Передаем сигнал «ОТКР», чтобы открыть замок машины:
Построим график сигнала:
Передаем сигнал «ОТКР», чтобы открыть замок машины:
Построим график сигнала:
5.Линия связи. Сигнал+шум.
Сигнал «ЗАКР» или «ОТКР», который нужен нам, в зависимости от ситуации, передается по линии связи. В линии связи обязательно будет присутствовать аддитивный белый шум, который мы сможем учесть, прибавив его к нашим сигналам.
Зададим набор значений с гауссовским распределением, нулевым математическим ожиданием и единичной дисперсией, это и будет на шум.
Представим шум на графике:
С
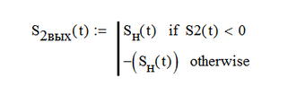
ложим с шумом сигнал «ЗАКР»:
6. Демодулятор.
Такие сигналы после линии связи поступают на вход демодулятора.
Ожидаемый сигнал, генерируемый генератором ожидаемых колебаний:
Чтобы восстановить сигнал, посчитаем корреляционный интеграл для каждого периода времени импульса.
Для сигнала «ОТКР»:
Запишем всё одной функцией:
Построим график:
Для сигнала «ЗАКР»:
Запишем всё одной функцией:
Построим график:
6. Декодер.
Теперь сигнал поступает на декодер.
П
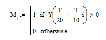
олучим код, используя цикл. Для сигнала «ОТКР»
Построим результат на графике:
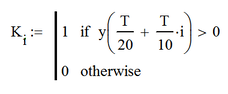
Д
ля сигнала «ЗАКР»:
Содержание:
12
Характеристики
Тип файла документ
Документы такого типа открываются такими программами, как Microsoft Office Word на компьютерах Windows, Apple Pages на компьютерах Mac, Open Office - бесплатная альтернатива на различных платформах, в том числе Linux. Наиболее простым и современным решением будут Google документы, так как открываются онлайн без скачивания прямо в браузере на любой платформе. Существуют российские качественные аналоги, например от Яндекса.
Будьте внимательны на мобильных устройствах, так как там используются упрощённый функционал даже в официальном приложении от Microsoft, поэтому для просмотра скачивайте PDF-версию. А если нужно редактировать файл, то используйте оригинальный файл.
Файлы такого типа обычно разбиты на страницы, а текст может быть форматированным (жирный, курсив, выбор шрифта, таблицы и т.п.), а также в него можно добавлять изображения. Формат идеально подходит для рефератов, докладов и РПЗ курсовых проектов, которые необходимо распечатать. Кстати перед печатью также сохраняйте файл в PDF, так как принтер может начудить со шрифтами.
















