РГЗ №2 - Анализ линейной электрической цепи при гармоническом воздействии - Вариант ХХ (1267108)
Текст из файла
Министерство образования и науки РФ
Новосибирский государственный технический университет
Кафедра Общей Электротехники
Расчётно-графическое задание №2
«АНАЛИЗ ЛИНЕЙНОЙ ЭЛЕКТРИЧЕСКОЙ ЦЕПИ
ПРИ ГАРМОНИЧЕСКОМ ВОЗДЕЙСТВИИ»
Выполнил: Проверил:
Студент: Бадальянц Ю.Н. Преподаватель: Давыденко О.Б.
Группа: РКС 10-71
| ОЦЕНКА | ||
| Выполнение | Защита | Общая |
Новосибирск
2008
| Вычисленные значения | |||||||||||
| Z1 | Z2 | Z3 | U020 | I1 | I2 | I3 | |||||
| Алгебраическая форма | Показательная форма | ||||||||||
| 30.002j | -79.998j | 80-19.998j | 45.564 j138.808 | 1.519 -j131.192 | 1.002 j68.005 | 0.661 j18.914 | |||||
| Баланс мощностей | Показания ваттметров | ||||||||||
| Pген. | Qген. | Pпотр. | Qпотр. | Pw1 | Pw2 | ||||||
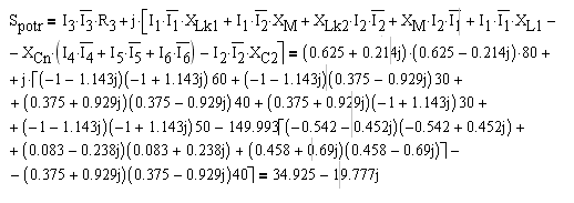
| 34.925 | -19.777j | 34.925 | -19.777j | 15.005 | 19.921 | ||||||
В данной таблице:
-
Z1, Z2, Z3 - комплексы сопротивления ветвей исследуемой цепи после «развязки» магнитных связей;
-
U020 - комплекс разности потенциалов узловых точек рассматриваемой схемы;
-
I1, I2, I3 - комплексы токов в ветвях с сопротивлениями Z1, Z2, Z3;
-
Pген. - активная мощность, генерируемая источниками ЭДС;
-
Qген. - реактивная мощность, , генерируемая источниками ЭДС;
-
Pпотр. - активная мощность, потребляемая в схеме;
-
Qпотр. - реактивная мощность, потребляемая в цепи;
-
Pw1, Pw2 - показания ваттметров;
1. Произвести разметку зажимов индуктивно связанных катушек. Составить системы уравнений по законам Кирхгофа в дифференциальной форме для мгновенных значений и в алгебраической форме для комплексных амплитуд.
2. Рассчитать токи в ветвях методом комплексных амплитуд. Записать мгновенные значения токов.
3. Составить баланс мощностей для ИСХОДНОЙ схемы и определить показания ваттметров.
4. Построить для ИСХОДНОЙ схемы топографическую диаграмму напряжений, совместив её с векторной диаграммой токов.
1.1 Разметка одноимённых зажимов индуктивно связанных катушек.
Задаём направление токов в катушках (направление берём слева направо). По правилу правоходного винта определяется направление магнитных потоков Ф1 и Ф3, обусловленных протеканием токов i1 и i3 в катушках. Полученная после разметки зажимов катушек расчётная схема представлена на рис. 1.2:
1.2 Системы уравнений по законам Кирхгофа.
При расчёте электрической цепи ЭДС само- и взаимоиндукции учитываются в соответствующую часть уравнений Кирхгофа. Так как катушки в схеме включены согласно (токи индуктивно связанных катушек ориентированы одинаково относительно одноимённых зажимов), то напряжение само- и взаимоиндукции в них имеют одинаковые знаки.
Для схемы, представленной на рис. 1.2 уравнения по первому и второму законам Кирхгофа в дифференциальной форме (с учётом согласного включения индуктивно связанных катушек) имеют вид:
Система уравнений для комплексных амплитуд:
Для данных уравнений:
2.1. Расчёт токов методом комплексных амплитуд.
Расчёт рассматриваемой цепи значительно упрощается, если перейти от треугольника к звезде воспользоваться «развязкой» индуктивно связанных элементов. При переходе от треугольника к звезде Zn`=Zn/3.
Правило развязки: две индуктивно-связанные катушки, присоединённые к какому-либо узлу непосредственно, после «развязки» подключается к этому же узлу 1 через промежуточную звезду сопротивлений (+,- jXM12).
Так как одноимённые зажимы магнитно-связанных катушек одинаково ориентированы по отношению к узлу, к которому они подсоединены, то при развязке связей в ветви с индуктивно-связанными катушками включаются реактивные сопротивления (- jXM12), а в общую ветвь, исходящую из узла 1, включается сопротивление (+ jXM12).
В результате развязки магнитных связей и перехода от треугольника к звезде, исходная схема принимает вид:
Объединим в каждой ветви последовательно соединённые сопротивления в одно эквивалентное (рис. 1.4):
Где XCh – сопротивление нагрузки в звезде.
Наиболее просто полученная схема рассчитывается методом узловых потенциалов. Если принять потенциал Ф0 равным нулю, то уравнение узла 1 по методу узловых потенциалов будет иметь вид:
Определив потенциал узла Ф1, можно рассчитать комплексы токов в ветвях схемы, используя закон Ома:
2.2. Расчёт токов в звезде.
Для нахождения токов звезды вернемся к схеме на рис.1.2.
Рассчитаем потенциалы узлов a, b ,c. Учитывая, что потенциал точки (0) равен нулю, можно найти нужные потенциалы, учтя падения напряжения на элементах.
Найдем токи звезды по закону Ома:
Запишем для полученных токов их мгновенные значения.
3.1. Составление баланса мощности для исходной схемы (рис.1.1).
Баланс мощности в комплексной форме представляется в виде:
где Sgen – суммарная комплексная мощность источников ЭДС:
а Spotr – суммарная мощность потребителей:
3.2. Запишем показания ваттметров для исходной схемы (рис.1.1)
Построение векторной диаграммы.
Для построения топографической векторной диаграммы токов и напряжений для исходной схемы (рис. 1.1) расставим на схеме контрольные точки и найдем их потенциалы:
Потенциалы точек первой ветви:
Потенциалы точек второй ветви:
Потенциалы точек третьей ветви:
Показательная форма для напряжений точек:
Показательная форма для токов:
11
Характеристики
Тип файла документ
Документы такого типа открываются такими программами, как Microsoft Office Word на компьютерах Windows, Apple Pages на компьютерах Mac, Open Office - бесплатная альтернатива на различных платформах, в том числе Linux. Наиболее простым и современным решением будут Google документы, так как открываются онлайн без скачивания прямо в браузере на любой платформе. Существуют российские качественные аналоги, например от Яндекса.
Будьте внимательны на мобильных устройствах, так как там используются упрощённый функционал даже в официальном приложении от Microsoft, поэтому для просмотра скачивайте PDF-версию. А если нужно редактировать файл, то используйте оригинальный файл.
Файлы такого типа обычно разбиты на страницы, а текст может быть форматированным (жирный, курсив, выбор шрифта, таблицы и т.п.), а также в него можно добавлять изображения. Формат идеально подходит для рефератов, докладов и РПЗ курсовых проектов, которые необходимо распечатать. Кстати перед печатью также сохраняйте файл в PDF, так как принтер может начудить со шрифтами.















