ДЗ_КРД (1237892)
Текст из файла
| Министерство науки и высшего образования Российской Федерации Федеральное государственное бюджетное образовательное учреждение высшего образования «Московский государственный технический университет имени Н.Э. Баумана (национальный исследовательский университет)» (МГТУ им. Н.Э. Баумана) |
ФАКУЛЬТЕТ Энергомашиностроение
КАФЕДРА Э1 — «Ракетные двигатели»
ДОМАШНЕЕ ЗАДАНИЕ
ПО КУРСУ «КРД»
НА ТЕМУ:
«Проектирование и расчет дозвукового ПВРД»
Вариант №12
Студент Э1-101 __________________ К.А. Саркисян
(Группа) (Подпись, дата) (И.О. Фамилия)
Преподаватель __________________ Е.А. Андреев
(Подпись, дата) (И.О. Фамилия)
2020 г.
Оглавление
1 Исходные данные 3
2 Определение начальных данных 4
2.1 Параметры воздуха на высоте полета 4
2.2 Определение условной химической формулы топлива 5
3 Определение оптимальной площади выходного сечения сопла 6
3.1 Параметры потока во втором сечении 6
3.2 Параметры потока в третьем сечении 7
3.3 Параметры потока в четвертом сечении 8
4 Распределение параметров потока по характерным сечениям двигателя 11
5 Профилирование входной кромки диффузора и сопла 14
5.1 Профилирование входной кромки диффузора 14
5.2 Профилирование сопла по соотношению Витощинского 14
Список используемых источников 16
Литература 16
Нормативные документы 16
Сетевые ресурсы 16
Программные продукты 16
Приложение А. Термодинамический расчет 17
-
Исходные данные
Высота полета
;
Коэффициент избытка окислителя
;
Скорость полета
;
Площадь миделя
;
Молярная масса воздуха
;
Массовое содержание углерода в смеси горючего
;
Массовое содержание азота в смеси воздуха [4]
;
Массовое содержание кислорода в смеси воздуха [4]
;
Массовое содержание аргона в смеси воздуха [4]
;
Атомный вес углерода [5]
;
Атомный вес водорода [5]
;
Атомный вес азота [5]
;
Атомный вес кислорода [5]
;
Атомный вес аргона [5]
;
Относительная площадь миделя
;
Коэффициент потерь полного давления в сопле
;
Давление воздуха на уровне моря
;
Температура воздуха на уровне моря
;
Газовая постоянная воздуха
;
Постоянная адиабаты воздуха
;
Условный радиус Земли
.
-
Определение начальных данных
-
Параметры воздуха на высоте полета
-
Геопотенциальная высота [4]
Температура воздуха на высоте
[4]
где
— градиент температуры,
и
— нижняя граница рассматриваемого слоя атмосферы,
соответственно.
Давление воздуха на высоте
[4]
Тогда плотность воздуха
Местная скорость звука
Скорость набегающего потока
Температура торможения набегающего потока
Критическая скорость звука
Приведенная скорость набегающего потока
Полное давление на входе в диффузор
где
— ГДФ давления [1, с. 53].
Плотность заторможенного потока на входе в диффузор
-
Определение условной химической формулы топлива
Массовое содержание водорода в смеси горючего
Число грамм-атомов углерода в молекуле горючего
Число грамм-атомов водорода в молекуле горючего
Таким образом, условная химическая формула горючего
Число грамм-атомов азота в молекуле воздуха
Число грамм-атомов кислорода в молекуле воздуха
Число грамм-атомов аргона в молекуле воздуха
Таким образом, условная химическая формула воздуха
Тогда стехиометрическое соотношение компонентов
где
и
— валентности элементов горючего и воздуха соответственно.
Действительное соотношение компонентов
Полная энтальпия воздуха [7]
Полная энтальпия горючего (принята для керосина T-1) [2, с. 229]
-
Определение оптимальной площади выходного сечения сопла
-
Параметры потока во втором сечении
-
Задаемся рядом значений скорости на выходе из диффузора
Тогда приведенная скорость набегающего потока
т. к.
.
Задаемся углом раскрытия диффузора
Тогда коэффициент смягчения удара (формула И.Е. Идельчика)
Коэффициент сопротивления на входе в диффузор [1, с. 106]
Задаемся коэффициентом трения
Тогда коэффициент потерь на трение в диффузоре
Коэффициент потерь полного давления в диффузоре
Полное давление на выходе из диффузора
где
— ГДФ плотности [1, с. 53].
Статическое давление на выходе из диффузора
Температура на выходе из диффузора
где
— ГДФ температуры [1, с. 53].
Местная скорость звука на выходе из диффузора
Число Маха на выходе из диффузора
Плотность воздуха на выходе из диффузора
Плотность заторможенного потока на выходе из диффузора
Расход воздуха через диффузор
-
Параметры потока в третьем сечении
Термодинамическим расчетом [6] получены следующие параметры:
-
температура торможения
-
показатель адиабаты ПС
-
газовая постоянная ПС
Распечатка результатов расчета приведена в Прил. А.
Тогда
Относительный подогрев составил
Функция, зависящая от
[1, с. 285]
Из уравнения ГДФ в форме Киселева
получим
С помощью математической системы Mathcad 15® для ряда значений
определены значения приведенной скорости после сгорания
.
Тогда температура на выходе из КС
Местная скорость звука на выходе из КС
Критическая скорость звука
Скорость на выходе из КС
Число Маха на выходе из КС
Статическое давление на выходе из КС
Полное давление на выходе из КС
Плотность ПС на выходе из КС
Плотность заторможенного потока на выходе из КС
-
Параметры потока в четвертом сечении
Статическое давление на срезе
Полное давление на срезе
Приведенная скорость вытекающей струи [1, с. 289]
Температура торможения
Статическая температура на срезе
Местная скорость звука на срезе
Плотность ПС на выходе из сопла
Плотность заторможенного потока на выходе из сопла
Относительная площадь среза [1, с. 286]
Скорость истечения
т. к.
.
Число Маха на срезе
Тяга двигателя
Удельный импульс (экономичность) двигателя
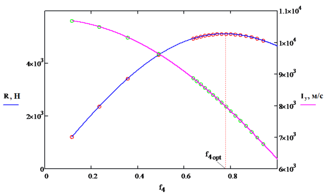
Зависимость тяги
и удельного импульса
от относительной площади среза
представлена на рис. 1.
Максимальная тяга двигателя составила
при
и
Рис. 1. Зависимость
и
от
-
Распределение параметров потока по характерным сечениям двигателя
Параметры потока при максимальной тяге представлены на рис. 2—6 и табл. 1.
Рис. 2. Распределение
,
и
по сечениям двигателя
Рис. 3. Распределение
и
по сечениям двигателя
Рис. 4. Распределение
и
по сечениям двигателя
Рис. 5. Распределение
и
по сечениям двигателя
Рис. 6. Распределение
и
по сечениям двигателя
Таблица 1. Параметры потока в характерных сечениях двигателя
|
|
|
|
|
|
|
|
|
|
|
| |
| 1 | 266,69 | 311,91 | 304,84 | 0,87 | 0,86 | 65345,16 | 40531,75 | 277,44 | 242,05 | 0,82 | 0,58 |
| 2 | 58 | 332,93 | 304,84 | 0,19 | 0,17 | 65074,23 | 63710,42 | 277,44 | 275,77 | 0,82 | 0,8 |
| 3 | 351,41 | 713,06 | 653 | 0,54 | 0,49 | 58559,51 | 49564,19 | 1313,07 | 1263,66 | 0,16 | 0,14 |
| 4 | 473,1 | 701,64 | 653 | 0,72 | 0,67 | 55104,5 | 40531,75 | 1313,07 | 1223,52 | 0,15 | 0,12 |
-
Профилирование входной кромки диффузора и сопла
-
Профилирование входной кромки диффузора
-
Определим площадь входа в диффузор:
Тогда диаметр входа в диффузор
Характеристики
Тип файла документ
Документы такого типа открываются такими программами, как Microsoft Office Word на компьютерах Windows, Apple Pages на компьютерах Mac, Open Office - бесплатная альтернатива на различных платформах, в том числе Linux. Наиболее простым и современным решением будут Google документы, так как открываются онлайн без скачивания прямо в браузере на любой платформе. Существуют российские качественные аналоги, например от Яндекса.
Будьте внимательны на мобильных устройствах, так как там используются упрощённый функционал даже в официальном приложении от Microsoft, поэтому для просмотра скачивайте PDF-версию. А если нужно редактировать файл, то используйте оригинальный файл.
Файлы такого типа обычно разбиты на страницы, а текст может быть форматированным (жирный, курсив, выбор шрифта, таблицы и т.п.), а также в него можно добавлять изображения. Формат идеально подходит для рефератов, докладов и РПЗ курсовых проектов, которые необходимо распечатать. Кстати перед печатью также сохраняйте файл в PDF, так как принтер может начудить со шрифтами.
















