пояснительная записка (1235563)
Текст из файла
СОДЕРЖАНИЕ
ВВЕДЕНИЕ 8
1 ОБЗОР СУЩЕСТВУЮЩИХ МЕТОДОВ РЕГУЛИРОВАНИЯ ПОДАЧИ ВОДЫ 10
2 НАЗНАЧЕНИЕ И ХАРАКТЕРИСТИКИ НАСОСНЫХ СТАНЦИЙ 15
2.1 Назначение насосных станций 15
2.2 Характеристики насосов - подача, напор и рабочая точка 19
2.3 Технологическая схема насосной станции 25
3 РЕГУЛИРОВАНИЕ СКОРОСТИ ВРАЩЕНИЯ АСИНХРОННОГО ДВИГАТЕЛЯ НАСОСА С ПОМОЩЬЮ ПРЕОБРАЗОВАТЕЛЯ ЧАСТОТЫ 26
3.1 Принцип работы преобразователей частоты 26
3.2 Необходимость внедрения преобразователей частоты на насосных станциях 28
3.3 Преимущества метода регулирования частоты вращения рабочего колеса насоса 30
3.4 Скалярное и векторное управление в частотных преобразователях 31
4 ВЫБОР ОБОРУДОВАНИЯ 35
4.1 Выбор насосного оборудования 35
4.2 Расчет и выбор двигателя 36
4.3 Выбор преобразователя частоты и его описание 38
4.4 Выбор средств контроля параметров системы 44
4.4.1 Выбор датчика давления 44
4.4.2 Выбор расходомера 44
4.5 Структурная схема управления 44
4.6 Схема электрическая принципиальная управления 45
4.7 Однолинейная схема РУ 6 кВ 45
ЗАКЛЮЧЕНИЕ 47
СПИСОК ИСПОЛЬЗОВАННЫХ ИСТОЧНИКОВ 48
ВВЕДЕНИЕ
Энергосбережение, точнее рационализация производства, распределения и использования всех видов энергии, стало в последние годы одним из основных приоритетных направлений технической политики во всех развитых странах мира.
Подавляющее большинство электроприводов (более 95 %) нерегулируемые, а обслуживаемые ими технологические процессы, как правило, нуждаются в управлении какими-либо технологическими координатами: скоростью, давлением, расходом, температурой и т.д. Это управление осуществляется энергетически неэффективно и приводит к большим потерям энергии.
Характерным примером может служить повсеместно используемый нерегулируемый асинхронный электропривод насосных станций водоснабжения зданий. В большинстве случаев он создает избыточный, не требуемый в данный момент напор, т.е. подводит к гидравлической системе лишнюю, бесполезную мощность. За впустую истраченную энергию платит потребитель, кроме того, избыточный напор приводит за счет возрастания утечек к большим потерям воды (7...9% на каждую лишнюю атмосферу), гидравлическим ударам при пуске системы, разрывам труб, лишнему шуму.
Использование регулируемого электропривода насосных агрегатов в системах коммунального и промышленного водоснабжения в течение последних 5-7 лет явилось предметом пристального внимания со стороны эксплуатирующих организаций. Стало очевидно, что регулирование скорости рабочего колеса насосов позволяет существенно повысить энергетические показатели установок, получить значительную экономию электроэнергии, и сократить потери воды за счет исключения избытка давления в гидравлической сети.
В большинстве случаев реализация этого технического мероприятия выполняется в порядке модернизации действующих насосных станций: в цепи питания асинхронного двигателя насоса устанавливаются преобразователи частоты, позволяющие регулировать скорость двигателя. При этом используются преобразователи иностранных компаний: Schneider Electric(Франция), Hitachi (Япония), Mitsubishi (Япония), Dan Foss (Дания) и др., а также разработки отечественных фирм: "Триол", "Приводная техника", ЧЭАЗ, МПП "Цикл" и прочих.
В данном дипломном проекте речь пойдет о водопроводно-насосной станции. Внедрение преобразователей частоты в систему водообеспечения обусловлено более высокой экономической эффективностью частотно управляемых электроприводов, по сравнению с системой «электродвигатель - питательный насос - дроссельная задвижка», когда регулирование подачи воды производилось вручную операторами.
1 ОБЗОР СУЩЕСТВУЮЩИХ МЕТОДОВ РЕГУЛИРОВАНИЯ ПОДАЧИ ВОДЫ
Тема использования регулируемого электропривода насосных станций в системах коммунального и промышленного водоснабжения в последнее время является предметом пристального внимания со стороны многих эксплуатирующих организаций. В насосных станциях часто используются насосы, которые напрямую подключены к питающей сети и эксплуатируются с постоянной частотой вращения. При этом функции энергосбережения и ресурсосбережения (экономии электроэнергии, перекачиваемой жидкости или воды) невозможно реализовать в принципе, т.к. регулировка подачи жидкости осуществляется следующими способами:
-дросселированием в напорной магистрали;
-перепуском части потока жидкости из выходного патрубка насоса во входной;
-изменением числа работающих агрегатов;
-изменением угла наклона лопаток рабочего колеса;
Наиболее простым в реализации является способ регулирования подачи при помощи дросселирования, путем введения в нагнетающую магистраль различных заслонок. Этот механический способ основан на изменении результирующего сопротивления магистрали. При неизменной скорости рабочая точка механизма перемещается по Q — Н - характеристике в сторону снижения подачи до точки пересечения с новой характеристикой магистрали, рисунок 1.1. При этом часть напора
теряется на регулирующем устройстве. КПД при таком механическом способе регулирования снижается примерно квадратично от диапазона регулирования подачи
. Следовательно, при малом статическом напоре и больших требуемых диапазонах изменения подачи данный способ регулирования оказывается весьма неэкономичным. Это ограничивает область его практического применения главным образом маломощными установками с относительно небольшим требуемым диапазоном регулирования.
Рисунок1.1 - Q-H характеристики при регулировании производительности задвижкой
Перечисленные выше недостатки имеет и второй способ. Регулирование напора перепуском заключается на отведении части потока жидкости с выхода насоса на его вход через отвод с помощью задвижки, так достигается управление напором. А энергия, затрачиваемая на циркуляцию жидкости по холостому кругу, не создает полезной работы, что приводит к снижению КПД. Подача насосной станции (НС) регулируется только в сторону уменьшения. Перепуск жидкости во всасывающий трубопровод улучшает кавитационные качества насоса, но наличие циркуляции снижает КПД системы, требует устройства циркуляционного трубопровода и установки дополнительной арматуры, что усложняет коммуникации трубопроводов в помещении насосной станции. Вот почему данный способ не получил распространения в практике городского водоснабжения.[1]
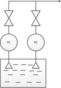
На насосных станциях, где несколько механизмов параллельно работают на общую магистраль, имеется возможность ступенчатого регулирования подачи отключением отдельных механизмов, рисунок 1.2.
Рисунок 1.2 - Схема при параллельной работе насосов
При параллельной работе насосов Н1 и Н2 их совместная подача определяется суммарной Q-H-характеристикой и характеристикой магистрали (кривые 1 и 2 на рисунке 1.3). Предположим, что каждый из насосов работает в номинальном режиме с Qном и Нном, так что суммарная производительность насосов составляет 2Qном. При отключении одного из насосов режим оставшегося в работе насоса изменяется в соответствии с его Q-H-характеристикой 3 (от точки «α» до точки Р или Р’ ). При этом его подача, определяемая точкой пересечения характеристики одного насоса с характеристикой гидравлической сети, уменьшится от Qном до Qр. Таким образом, при отключении одного насоса подача снижается менее чем в 2 раза. Чем меньше статический напор Нст, тем в меньшей степени снижается подача, тем менее эффективен данный способ регулирования (характеристика магистрали 4 на рисунке1.3). Следует обратить внимание на то, что оставшийся в работе двигатель оказывается перегруженным по сравнению с его номинальным режимом при совместной работе. Мощность на валу двигателя возрастает в отношении
. Поэтому при использовании данного способа регулирования необходимо предусматривать определенный запас по мощности двигателей. Достоинством данного способа является экономичность, поскольку отсутствуют дополнительные потери при регулировании подачи, а недостатком – невозможность плавного регулирования подачи. [2]
Рисунок 1.3 Характеристики при параллельной работе насосов
Управление осевыми насосами можно осуществлять путем изменения угла наклона лопаток рабочего колеса. Такой способ управления насосами обеспечивает возможность изменения расхода в пределах 3-5% от номинала. Управление насосами в данном случае можно осуществлять как с остановом, так и без. В случае управления насосами без останова они должны быть оснащены гидравлическими или электрическими приводами для изменения угла наклона лопаток. Данный способ управления насосами экономически целесообразен только для насосов с большой производительностью.
Пуск осевого насоса следует производить при открытой задвижке, а регулирование осуществлять устройствами, которые сохраняют высокое значение КПД на всех рабочих режимах, отличных от наилучшего. Регулирование осевых насосов осуществляется при помощи:
-гидромуфт, которые позволяют изменять число оборотов насоса при неизменном числе оборотов двигателя;
-рабочих колес с поворотными лопатками, у которых изменение угла наклона лопаток дает возможность осевым насосам работать е высоким к. п. д. на всех режимах.
Наиболее универсальным является электрический способ регулирования подачи, при котором с помощью регулируемого электропривода изменяется угловая скорость механизма. При этом одновременно с уменьшением подачи снижается и напор, КПД насоса практически не изменяется. Электрический способ регулирования оказывается более экономичным по сравнению с регулированием с помощью задвижки. Но данный способ требует больших затрат на регулирующее оборудование, особенно для установок с большими мощностями, и приводит к ухудшению электромагнитной совместимости с питающей сетью. Электрический способ создает широкие возможности автоматизации процесса регулирования подачи механизмов центробежного типа и позволяет исключить механические регулирующие устройства и тем самым повысить надежность работы установки и упростить конструкцию. Снижающаяся стоимость регулируемых электроприводов делает данный способ самым перспективным.[3]
2 НАЗНАЧЕНИЕ И ХАРАКТЕРИСТИКИ НАСОСНЫХ СТАНЦИЙ
2.1 Назначение насосных станций
Тип и число основных и вспомогательных насосов, состав помещений и набор вспомогательного оборудования, конструктивные особенности и предъявляемые к насосной станции технологические требования зависят от ее назначения. В зависимости от перекачиваемой жидкости насосные станции подразделяются на водопроводные и станции систем водоотведения (канализационные).
По своему назначению и расположению в общей схеме водоснабжения водопроводные насосные станции подразделяются на станции первого подъема, второго и последующих подъемов, повысительные и циркуляционные рисунок 2.1, а, б, в, г.
Насосные станции первого подъема забирают воду из источника и подают ее на очистные сооружения или, если не требуется очистка воды, в аккумулирующие емкости (резервуары чистой воды, водонапорные башни, гидропневматинеские баки), а в некоторых случаях непосредственно в распределительную сеть. Характерной особенностью насосных станций первого подъема является более или менее равномерная подача в течение суток.
Насосные станции второго подъема подают воду потребителям из резервуаров чистой воды, которые позволяют регулировать подачу. Подача насосных станций второго подъема в течение суток неравномерна. Ее по возможности приближают к графику водопотребления.
Повысительные насосные станции (станции подкачки) предназначены для повышения напора на участке сети или в водоводе. Они забирают воду из резервуара и повышают давление воды до нужного уровня.
Циркуляционные насосные станции входят в замкнутые системы технического водоснабжения промышленных предприятий и тепловых электростанций.
Насосные станции систем водоотведения, рисунок 2.1 д, предназначены для подачи сточных вод на очистные сооружения.
Особый вид насосных станций представляют станции для перекачивания атмосферных вод (на сети ливневой канализации), осадков и ила (на канализационных и водопроводных очистных сооружениях), агрессивных промышленных сточных вод.[4]
Характеристики
Тип файла документ
Документы такого типа открываются такими программами, как Microsoft Office Word на компьютерах Windows, Apple Pages на компьютерах Mac, Open Office - бесплатная альтернатива на различных платформах, в том числе Linux. Наиболее простым и современным решением будут Google документы, так как открываются онлайн без скачивания прямо в браузере на любой платформе. Существуют российские качественные аналоги, например от Яндекса.
Будьте внимательны на мобильных устройствах, так как там используются упрощённый функционал даже в официальном приложении от Microsoft, поэтому для просмотра скачивайте PDF-версию. А если нужно редактировать файл, то используйте оригинальный файл.
Файлы такого типа обычно разбиты на страницы, а текст может быть форматированным (жирный, курсив, выбор шрифта, таблицы и т.п.), а также в него можно добавлять изображения. Формат идеально подходит для рефератов, докладов и РПЗ курсовых проектов, которые необходимо распечатать. Кстати перед печатью также сохраняйте файл в PDF, так как принтер может начудить со шрифтами.
















