текст ВКР (1228382)
Текст из файла
ВВЕДЕНИЕ
Середина двадцатых годов XXI века характеризуется резким обострением политической и экономической борьбы между Востоком и Западом.
В связи с этим перед российским народом и государством определилась задача для сохранения своей независимости и укрепления безопасности своего существования.
Экономический кризис 90-х годов минувшего столетия и начала XXI века привёл к разрушению системы хозяйствования России, Дальневосточного региона страны, в том числе и в производстве сельхозпродукции.
В этот период, в дальневосточном регионе по различным причинам были ликвидированы агропромышленные объединения, их основная производственная база.
В регион хлынул поток импортной сельхозпродукции, конкуренцию с которыми зарождающихся сельхозпроизводители и сохранившееся крестьянские и фермерские хозяйства конкуренцию выдержать не смогли.
Создаваемая в 2014-2015 годах Государственная программа "импортозамещения" сельхозпродукции, естественно, столкнулась с огромными трудностями и, прежде всего, в восстановлении производственных мощей, повышении производительности труда и увеличении объема сельхозпродукции.
Современные научно-технические разработки, позволяющие, круглогодично производить сельхозпродукцию, делают реальным строительство экономичных конкурентоспособных тепличных хозяйств во всех регионах Дальнего Востока (Приморье, Приамурье, Сахалин, Камчатка, Магадан и Якутия).
-
ТЕОРЕТИЧЕСКИЕ ОБОСНОВАНИЯ ВЫБОРА АВТОМАТИЧЕСКОЙ СИСТЕМЫ ПОЛИВА
-
Виды, способы полива
Полив по бороздам. Одним из распространенных способов полива является инфильтрационный — полив по бороздам, нарезанным в междурядьях грядки на глубину 15÷25 см, шириной 30÷40 см, на расстоянии 50 см от кустов. Если ширина междурядий 2÷2,5 м, то в них делают две борозды, а при расстоянии между рядами 2,5÷3 м — три. Для этой работы и рыхления через два-три дня после полива используют культиватор-окучник. Полив по затопляемым бороздам длиной 30—80 м применяют на участках с уклоном 0,0005÷0,002° путем быстрого заполнения 2/3 глубины борозд водой с поливной струей 1÷2 литра/с в каждую борозду без сброса воды. Это достигается при норме полива 400÷1000 м³/га. Хорошие результаты полива по бороздам могут быть достигнуты только в том случае, если поверхность орошаемого участка выровнена и вода впитывается в почву под действием гравитационных и капиллярных сил через смачиваемую поверхность поливных борозд.
На участках с уклоном 0,002÷0,015° применяют поливы по проточным бороздам длиной 60÷160 м. Во время полива допускается наполнение борозд до 1/3 их глубины поливной струей 0,3÷0,4 литр/с при тяжелосуглинистых и 0,8÷1,0 литр/с, при супесчаных почвах. Норма полива может составлять 700÷1000 м³/га и обусловливается планировкой участка, влажностью и водопроницаемостью почв.
Наиболее эффективен полив по удлиненным бороздам длиной 180÷350 м на участках с уклоном 0,002÷0,003° на почвах со слабой и средней водопроницаемостью (при залегании уровня грунтовых вод глубже 4÷5 м) поливными струями от 0,8÷1,2 до 1,7÷2,0 л/с. Норму полива при этом увеличивают до 1000—1200 м³/га. Полив продолжают несколько часов, что дает возможность поливальщикам вводить в работу 50 и более поливных борозд и одновременно подготавливать к поливу смежные участки. Производительность их труда при этом увеличивается в два-три раза.
На недостаточно спланированных участках, на почвах со слабой и средней водопроницаемостью применяют также полив по щелям. Их нарезают глубиной 35÷ 40 см с переходом в нижней части в узкую щель шириной 3÷ 4 см. При таком способе полива насыщение почвы влагой происходит равномерно по всей длине ряда. Производительность труда поливальщика увеличивается в 2÷2,5 раза.
В поливные борозды при всех способах полива воду подают из временных оросителей и выводных борозд, нарезаемых канавокопателями, которые агрегируют с тракторами. Распределение воды в поливные борозды из выводной борозды и временного оросителя осуществляется трубами (резиновые, гончарные и др.) и сифонами. Трубы устанавливают против каждой борозды до полива. Временные оросители и выводные борозды могут быть заменены разборными и гибкими трубопроводами.
Дождевание. В основном используют для проведения влагозарядковых поливов на маломощных легких почвах, а также в холмистых районах, где невозможна капитальная планировка участков. Вода подается на растение в виде искусственного дождя.
Подпочвенное орошение. Вода подается увлажнителям из керамических пористых или полиэтиленовых перфорированных труб непосредственно в корнеобитаемый слой почвы, а поверхностные горизонты увлажняются за счет восходящего капиллярного передвижения влаги. Увлажнители укладывают до посадки растения на глубину 50÷70 см от поверхности почвы, используя экскаватор-дреноукладчик. При таких уклонах обеспечивается равномерная подача воды на расстояние до 100÷200 м в зависимости от вида труб. В увлажнители вода подается из распределительных асбоцементных трубопроводов диаметром 100÷150 мм, а из магистральных в распределительные трубопроводы — через колодцы — регуляторы напора или гидранты. Техника подпочвенного орошения позволяет полностью автоматизировать процесс полива.
Капельное орошение. При этом способе полива расход воды равен 2÷4 литр/ч. В районах, где дефицит воды особенно ощутим и площади склоновых земель значительны, капельное орошение находит широкое применение. Оно в отличие от традиционных способов полива позволяет на протяжении всего вегетационного периода поддерживать влажность почвы близкой к оптимальной, ежесуточно восполнять дефицит влаги в почве, а при совмещении полива с подкормкой — локализовать питательные элементы непосредственно в зоне расположения активной массы корней. Такой способ полива обеспечивает более рациональное использование воды и минеральных удобрений, создает лучшие условия для роста и развития растений.
Аэрозольное (мелкодисперсное) орошение. Применяют в теплицах в наиболее жаркие дни с интервалом 1 ч и расходом воды при разовом поливе 100÷500 литр/га. Периодическое смачивание листовой поверхности мелко диспергированной водой активизирует физиологические процессы в растении, улучшает ассимиляционную активность листьев. Мелкодисперсное дождевание, осуществляемое передвижными аэрозольными машинами и опрыскивателями, резко снижает оросительную норму (расход воды 100÷180 м³/га за сезон) и применяется в богарных условиях.
Вегетационные поливы. Проводят в теплицах, в период вегетации для пополнения запасов почвенной влаги в связи с ее интенсивным потреблением растениями. Кроме того, вегетационные поливы облегчают внесение удобрений на нужную глубину и способствуют более равномерному их распределению в почве. Оптимальная влажность почв в корнеобитаемом слое должна быть 75-80% НВ. Это запас влаги, который остается в почве после ее обильного увлажнения и свободного просачивания воды вниз. При ППВ ниже этого уровня необходимо проводить поливы, число которых зависит от наличия влаги в почве и выпадения осадков, биологических особенностей сорта культуры и использования полученной продукции. Норму полива определяют по разнице фактической влажности почвы и оптимальной для конкретной фазы вегетации. Почвы, плохо удерживающие воду, орошают чаще, но норма полива должна быть меньше. Тяжелые, плотные и глинистые почвы поливают реже, но нормы полива больше 800÷1200 м³/га. Молодые посадки в засушливых районах за период вегетации орошают в зависимости от условий года 6÷10 раз.
Влагозарядковые поливы. Проводят для создания запасов воды в почве в период покоя. Полив осуществляют ранней весной или поздней осенью, после сбора урожая, чтобы создать запас усвояемой влаги в корнеобитаемом, и более глубоких слоях почвы и улучшить условия для перезимовки кустов. При влагозарядковых поливах используют воду оросительных систем в период, когда она не нужна для других культур, что снижает потребность в поливах в течение вегетации. Разница между фактической и оптимальной влажностью почвы для данного периода вегетации позволяет установить норму полива (. Норму полива (м3/га) определяют по формуле:
N=VH(P — B)100,
где V — объемная масса почвы, г/см³;
Н — глубина промачивания корнеобитаемого слоя почвы, м;
Р — наименьшая влагоемкость для данного слоя, % от массы абсолютно сухой почвы;
В — влажность почвы перед полином, % от массы абсолютно сухой почвы.
Плотность почвы, глубина увлажняемого слоя, наименьшая влагоемкость относительно постоянные величины, которые и устанавливают заблаговременно для каждой почвенной разности и орошаемого участка теплицы. Влажность почвы перед поливом — переменный показатель, который определяют в каждом конкретном случае и только после этого вычисляют норму полива. Полученную норму полива увеличивают на 10÷15% с учетом расхода воды на утечку, испарение и фильтрацию.
В каждом регионе нормы полива рассчитывают для метрового слоя почв с учетом фактической влажности почвы и нижней границы оптимального порога увлажнения для определенного периода вегетации. Нормы вегетационных поливов колеблются от 500 до 1200 м³/га, а влагозарядковых определяют как разность между наименьшей влагоемкостью промачиваемого слоя и запасами влаги в этом слое почвы перед поливом с учетом планируемой урожайности, сорта, почвы и метеорологических условий года. Влагозарядковые поливы нормой 800÷1200 м³/га обеспечивают хорошее увлажнение почвы в весенний период, что способствует дружному распусканию почек, росту, развитию и плодоношению растения.
Полив бывает:
-
ручной;
-
автоматический;
-
полуавтоматический.
-
Автоматическая система полива
Автоматическая система полива как общее понятие, - это составная часть важнейших элементов народно-хозяйственного комплекса, повышения плодородия земель сельхоз назначения, увеличения урожайности сельхозкультур, снижения зависимости от отрицательных факторов суровых климатических и погодных условий ДВ региона Российской Федерации.
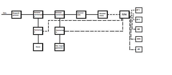
Автоматическая система полива (АСП) как инженерное сооружение -это система механического, электрического оборудования, иных технических средств и специалистов, обеспечивающих достаточную своевременную и бесперебойную подачу воды на орошаемые земляные площади (участки) для обеспечения стабильного и высокого урожая. Структурная схема представлена на рисунке 1.1.
Рисунок 1.1 – Структурная схема АСП
Элементы АСП:
-
источник забора воды (естественный водоём: река, озеро, терминальный источник, пруд, резервуар для охлаждения воды электростанций);
-
сантехническое оборудование (водоразборная ёмкость, водяной насос, водяные рукава, шланги, фильтры);
-
электромеханическое оборудование (насос поддержания давления, электромагнитные клапаны для распределения потоков воды);
-
электронное оборудование (промышленный логический контроллер), датчики (уровня, температуры, давления, влажности, времени, расхода), панель ввода/вывода информации;
-
обслуживающий персонал.
-
Гидравлическая подсистема
Гидравлическая подсистема включает:
-
водозабор, состоящий из погружных водяных насосов, фильтров, и
трубопровода;
-
водоразбор представляет собой емкость для отфильтрованной
воды с датчиком уровня для поддержания необходимого количества воды;
-
водопровод к месту полива;
-
разбрызгиватели, капельницы.
Поливинилхлорид или ПВХ — это синтетический термопластичный полимер, химическое соединение углерода, водорода и хлора, состоящего на 43% из этилена и 57% из связанного хлора. При изготовлении конструкций в него добавляют стабилизаторы, различные добавки для придания прочности и устойчивости к перепадам температур и другим факторам. Поливинилхлорид является экологически чистым продуктом, который в случае пожара не выделяет токсичных веществ и практически не подвержен тлению. К тому же ПВХ может перерабатываться без потери эксплуатационных качеств до 5 раз.
Классификация поливинилхлоридных труб
По показателям диаметра:
-
малый диаметр (10−50 мм);
-
средний диаметр (50−225 мм);
-
большой диаметр (свыше 225 мм).
По радиусу изгиба:
-
жёсткие;
-
гибкие;
-
сверх гибкие.
По рабочему давлению:
-
напорные;
-
безнапорные;
-
для разряженных сред.
По типу укладки:
-
внешние (подземные, наземные, надземные):
-
внутренние.
Характеристика водопроводных труб ПВХ
Достоинства:
-
устойчивость к агрессивным веществам (азотная, соляная, серная
кислоты) и ультрафиолету;
-
благодаря гладкой внутренней поверхности, на таких стенках труб
не образуются наросты, засоры и другие отложения;
-
возможность создавать различные конфигурации трубопроводов
поливинилхлорид устойчив к коррозии и гниению;
-
срок эксплуатации труб достигает 50 лет; трубы ПВХ легко гнуть
и резать, они имеют небольшой вес;
-
поливинилхлорид имеет низкий коэффициент горючести;
-
внутри водопровода не размножаются и не развиваются бактерии
(на 1 см2 в ПВХ трубе бактерий в 12 раз меньше, чем на аналогичном участке полиэтиленовой трубы, и в 9 раз меньше, чем на полипропиленовой трубе такого же размера);
-
благодаря герметичности соединения, ПВХ-трубы можно
эксплуатировать в сейсмоопасных зонах и на подвижных грунтах.
Недостатки:
-
в связи с высокой теплопроводностью ПВХ-трубы,
транспортирующие жидкость выше 150С, необходимо утеплять;
-
при понижении температуры ниже 00С уменьшается пластичность
труб;
-
нельзя утилизировать методом сжигания при высоком давлении, т.
к. начинает выделяться ядовитый хлор;
-
при соединении к металлическим трубам нельзя использовать
резьбу из-за низкой устойчивости поливинилхлорида к механическим воздействиям.
-
Электромеханическая подсистема
Электромеханическая подсистема включает:
- водяные насосы, для перекачивания воды в емкость и поддержания нужного давления в водопроводе для полива;
Характеристики
Тип файла документ
Документы такого типа открываются такими программами, как Microsoft Office Word на компьютерах Windows, Apple Pages на компьютерах Mac, Open Office - бесплатная альтернатива на различных платформах, в том числе Linux. Наиболее простым и современным решением будут Google документы, так как открываются онлайн без скачивания прямо в браузере на любой платформе. Существуют российские качественные аналоги, например от Яндекса.
Будьте внимательны на мобильных устройствах, так как там используются упрощённый функционал даже в официальном приложении от Microsoft, поэтому для просмотра скачивайте PDF-версию. А если нужно редактировать файл, то используйте оригинальный файл.
Файлы такого типа обычно разбиты на страницы, а текст может быть форматированным (жирный, курсив, выбор шрифта, таблицы и т.п.), а также в него можно добавлять изображения. Формат идеально подходит для рефератов, докладов и РПЗ курсовых проектов, которые необходимо распечатать. Кстати перед печатью также сохраняйте файл в PDF, так как принтер может начудить со шрифтами.















