ДИПЛОМ ВЕСЬ (1226343), страница 2
Текст из файла (страница 2)
- 2ЭС5К – 698,1 тыс.км (2014 г. – 758,68 тыс.км) снижение на 7,9 %;
- 3ЭС5К – 758,7 тыс.км (2014 г. – 783,13 тыс.км) рост на 3,1 %.
Рисунок 1.4 – Ресурс бандажа за 12 месяцев 2015 года
На снижение ресурса бандажа и увеличение интенсивности износа гребня бандажей колесных пар в 2015 году повлияло:
- Укладка термоупрочненных рельс повышенной износостойкости категории ДТ350 изготовителя ОАО «ЕВРАЗ ЗСМК» на участке Смоляниново – Партизанск – Находка Восточная. (Ответ главного инженера дистанции пути Партизанск Г.Л. Гончаренко №29 от 18.12.15г.);
- Неэффективное использование локомотивов рельсосмазывателей ВЛ60. От общего плана 1086 поездок локомотивов рельсосмазывателей в 2015 году, выполнено 76 % – 821 поездка, из которых 70 % поездок выполнено на неполное плечо.
За декабрь 2015 г. обточено 139 колесных пар (2014 г – 168) снижение на 17,3 % из них по причинам, приведенных на рисунке 1.5:
- по износу гребня 109 (31 – 2014 г.) рост на 71,6 %;
- по прокату 12 (20 – 2014 г.) снижение на 40 %;
- по ползунам 4 (3 – 2014 г.) рост на 25 %;
- по разности диаметров 0 (5 – 2014 г.) снижение на 100 %;
- по остроконечному 4 (63 – 2014 г.) снижение на 93,7 %;
- прочие причины 10 (46 – 2014 г.) снижение на 78,3 %.
Рисунок 1.5 – Причины обточек колесных пар за декабрь 2015 года
За 12 месяцев 2015 г. обточено 1957 колесных пар (2014 г – 2117) снижение на 7,6 % из них по причинам [1]:
- по износу гребня 802 (373 – 2014 г.) рост на 53,5 %;
- по прокату 454 (561 – 2014 г) снижение на 19,1 %;
- по ползунам 24 (25 – 2014 г.) снижение на 4 %;
- по разности диаметров 16 (68 – 2014 г) снижение на 76,5 %;
- по остроконечному 345 (567 – 2014 г) снижение на 39,2 %;
- прочие причины 316 (523 – 2014 г) снижение на 39,6 %.
1.2 Анализ показателей работы сервисного локомотивного депо Приморское за 2016 год
За 8 месяцев 2016 г. обточено 1272 колесных пар (2015 г – 1330) снижение на 4,4 % из них по причинам [2]:
- по износу гребня 673 (402 – 2015 г.) увеличение на 40,3 %;
- по прокату 242 (381 – 2015 г.) снижение на 36,5 %;
- по ползунам 18 (16 – 2015 г.) увеличение на 11,1 %;
- по остроконечному 138 (255 – 2015 г.) снижение на 45,9 %;
- прочие причины 201 (260 – 2015 г.) снижение на 22,7 %.
За май 2016 года допущен рост обточек бандажей колесных пар электровозов приписки ТЧЭ Смоляниново на 33,8 % (2015 – 121 кп; 2016 – 183 кп).
Интенсивный рост обточек бандажей колесных пар локомотивов, представленный на рисунке 1.6, в мае 2016 года на локомотивах серии 3ЭС5К (2015 – 30 кп, 2016 – 89 кп).
Рисунок 1.6 – Обточка бандажей за май 2016 года
При рассмотрении причин обточек выявлено, что наибольшее количество обточек допущено по износу гребня на электровозах серии 2ЭС5К и износу бандажа по кругу катания (прокату) на электровозах серии 3ЭС5К, приведено на рисунках 1.7–1.8.
Рисунок 1.7 – Причины обточек колесных пар электровозов серии 2ЭС5К
Рисунок 1.8 – Причины обточек колесных пар электровозов серии 3ЭС5К
Главными причинами неисправности колесных пар (износ гребня и износ бандажа по кругу катания) является трение колеса об рельс. Исходя из этого, возможными факторами, влияющими на образование неисправностей колесных пар, являются [2]:
- Дислокация локомотива. Как показала практика, электровозы серии 2ЭС5К в основном эксплуатируются на полигоне Дальневосточной железной дороги, так же на участке Смоляниново – Находка сложный профиль (кривые, затяжные подъёмы и спуски), до 14 электровозов ежесуточно задействованы в подталкивании поездов, что в свою очередь неблагоприятно отражается на ресурсе бандажа, в связи с чем на электровозах серии 2ЭС5К прослеживается интенсивный износ гребня бандажа колесных пар. Электровозы серии 3ЭС5К, на которых прослеживается сверхнормативный износ бандажа по кругу катания (прокат), напротив, все чаще стали эксплуатироваться на полигоне Забайкальской железной дороги, что затрудняет проследить факторы, влияющие на износ колесной пары;
- Смена рельс на термоупрочненные в 2015 году на участке Смоляниново – Партизанск – Находка Восточная. В 2015 году произведена укладка термоупрочненных рельс повышенной износостойкости категории ДТ350 изготовителя ОАО «ЕВРАЗ ЗСМК» на участке Смоляниново – Партизанск – Находка Восточная. В 2015 года после модернизации пути наблюдалась устойчивая тенденция роста обточек колесных пар локомотивов серии 2ЭС5К. Так же за период с 26.04.16 по 27.05.16 г. произведена смена рельсов на участках Тигровый – Фридман, Анисимовка – Тигровый, Красноармейский – Партизанск и на станции Лозовый смена рельс новыми (упорной нитью);
- Неэффективное использование средств лубрикации в кривых участках пути. Электровоз-рельсосмазыватель ВЛ60пк №2463 приписки ТЧЭ-8 Смоляниново. с 13.12.2015 г. в соответствии ТУ НЗ1 №15444 от 20.11.2015 г. организована работа ежесуточно на участках Партизанск – Смоляниново – Н.Восточная – Партизанск (ночь), Партизанск – Смоляниново – М.Астафьева – Партизанск (день).
За 5 месяцев 2016 года выполнено 237 оборотов. На неполное плечо количество поездок допущено – 75 ед., что составляет 31,6 % от выполненных оборотов.
1.3 Анализ интенсивности износа бандажей колесных пар на Дальневосточной железной дороге
По итогам работы за 12 месяцев 2016 года в системе колесо-рельс по филиалу Дальневосточный количество обточек на 1 млн. км, представленных на рисунке 1.9, распределилось следующим образом [3]:
Рисунок 1.9 – Общее количество обточек бандажей колесных пар локомотивов на 1 млн. км. по филиалу «Дальневосточный»
- по грузовым тепловозам в 2016 году 232,1 обточки против 160,37 обточек в 2015 году, увеличение на 71,73 обточку или на 45 %;
- по пассажирским тепловозам в 2016 году 133,7 обточки против 89,67 обточки в 2015 году, увеличение на 44,03 обточки или на 33 %;
- по маневровым тепловозам: в 2016 году 131,65 обточек; против 138,51 обточек в 2015 году, снижение на 6,86 или на 5 %;
- по грузовым электровозам: в 2016 году 55,43 обточек; против 60,27 обточек в 2015 году, снижение на 4,84 обточки или на 8 %.
Таким образом, отрицательная динамика имеется по грузовым и пассажирским тепловозам. Основные депо, имеющие низкие показатели – СЛД Сибирцево и СЛД Тында – Северная.
При анализе итоговых данных по филиалу по сериям локомотивов имеющих отрицательную динамику по показателю «количество обточек», представленных на рисунке 1.10 (грузовые и пассажирские тепловозы) установлено, что основной причиной роста обточек послужили обточки по причине «по разности диаметров». Причина – истощение ремонтного фонда депо, из-за не согласования Дальневосточной дирекцией тяги установки при неплановых ремонтах «дорогих» колесных пар после заводского ремонта при наличии «дешевых» колес после ремонта на СО «Вяземская» или находящихся в депо после обыкновенного освидетельствования. Данное положение дел не позволяет сформировать переход не полнобандажных колесных пар для их последующего использования и снижения количества обточек [3].
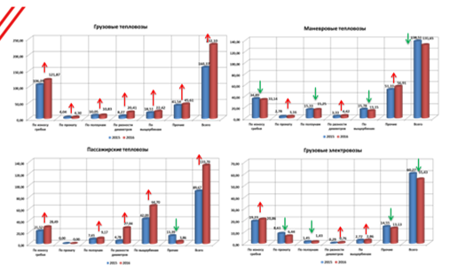
Рисунок 1.10 – Распределение обточек бандажа колесных пар локомотивов (кп на 1 млн.км.) по причинам
По итогам работы за 12 месяцев 2016 года в системе колесо-рельс по филиалу Дальневосточный средний ресурс бандажа колесной пары, отбракованной по предельной толщине бандажа, представленный на рисунке 1.11, за 12 месяцев 2016 года составил:
Рисунок 1.11 – Средний ресурс бандажа (тыс.км./ сут.) по филиалу Дальневосточный
- по грузовым тепловозам ресурс составил 504,801 т.км. в 2016 году, против 509,887 т.км. в 2015 году, снижение на 5,086 или на 1 %;
- по пассажирским тепловозам ресурс составил 581,614 т.км. в 2016 году, против 527,399 т.км. в 2015 году, увеличение на 54,215 или на 10 %;
- по маневровым тепловозам ресурс составил 4138,239 сут. 2016 года, против 4809,943 сут. 2015 года, снижение на 671,704 или на 13,66 %;
- по грузовым электровозам ресурс составил 805,996 т.км. в 2016 году, против 751,567 т.км. в 2015 году, увеличение на 54,429 или на 7,24 %.
По итогам работы за 12 месяцев 2016 года в системе колесо-рельс по филиалу Дальневосточный интенсивность износа гребней бандажей колесных пар локомотивов за 12 месяцев 2016 года, представленная на рисунке 1.12, составила:
Рисунок 1.12 – Интенсивность износа гребней бандажей локомотивов на 10 тыс. км.(мм) по филиалу «Дальневосточный»
- по грузовым тепловозам интенсивность износа гребней составила 0,317 мм на 10 тыс.км. в 2016 году, против 0,286 мм в 2015 году, увеличение на 0,031 или на 11 %;
- по пассажирским тепловозам интенсивность износа гребней составила 0,222 мм на 10 тыс.км. в 2016 году, против 0,224 мм в 2015 году, снижение на 0,002 или на 1 %;
- по маневровым тепловозам интенсивность износа гребней составила 0,098 мм на 10 тыс.км. 2016 года, против 0,064 мм 2015 года, увеличение на 0,034 или на 53 %;
- по грузовым электровозам интенсивность износа гребней составила 0,201 мм на 10 тыс.км. в 2016 году, против 0,204 мм в 2015 году, снижение на 0,001 или на 1 %.
За 12 месяцев 2016 года обточено 15964 колесных пары (2015 г – 14124 кол.пар) увеличение к прошлому году составило 1840 обточек (+13 %) [3]:
- по электровозам (ЭС5К) обточено 2796 к.п. (2015 г – 2743 к.п.) увеличение на 2 %;
- по грузовым тепловозам (2,3ТЭ10, 2ТЭ25) обточено 11695 к.п. (2015г. – 10086 к.п.) увеличение на 16 %;
- по пассажирским тепловозам (ТЭП-70) обточено 276 к.п. (2015 г. – 187 к.п.) увеличение на 48 %;
- по маневровым тепловозам обточено 1197 к.п. (2015 г. – 1108 к.п.) увеличение на 8 %.
Вывод: За 12 месяцев 2016 года произошло увеличение обточек колесных пар:
- по электровозам – увеличение на 2 %
- по грузовым тепловозам – увеличение на 16 %
- по пассажирским тепловозам – увеличение на 48 %
- по маневровым тепловозам – увеличение на 8 %
1.4 Магнитоплазменное упрочнение
В сервисных локомотивных депо находиться 4 установки магнитоплазмен-ного упрочнения гребней колесных пар локомотивов и только две установки в СЛД «Дальневосточное» и СЛД «Амурское» технически исправны.
Плазменное упрочнение гребней колесных пар в СЛД Приморское не производится, по причине того, что плазменная установка находится в нерабочем состоянии. ТЧЭ Смоляниново выдано предписание №732 от 22.10.15г. о запрете эксплуатации данной установки.
Данная установка подана на списание эксплуатационным локомотивным депо Смоляниново.
За 12 месяцев 2016 года упрочнено 1310 к.п. (108 %) (2015 г. – 1214 к.п.), что составляет 8,2 % от общего количества обточенных колесных пар (15964 к.п.) [2].
В 2016 году упрочнено:
- Колесных пар электровозов 914 против 868 в 2015 году;
- Колесных пар тепловозов 396 против 346 в 2015 году.














