Пояснительная записка (ПЗ) (1206673), страница 5
Текст из файла (страница 5)
Рисунок 4.2 – Главная страница сайта
На рисунке 4.3 показан раздел «Компания». На этой странице отображена вся информация о компании. Помимо этого, справа от основной информации расположена панель навигации по самым важным элементам, это заявка на перевозку и услуги.
Рисунок 4.3 – Раздел «Компания»
На рисунке 4.4 показан раздел «Услуги». На данной странице отображаются все услуги, предоставляемые компанией. Это, разного вида перевозки, а также информация о них. При нажатии на одну из ссылок, открывается новая html – страница, более подробно рассказывающая об данной услуге. Все спроектировано с применением каскадного стиля, для удобства пользователю.
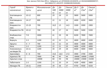
Если нажать на «Тарифы» (рисунок 4.5), пользователь перейдет на страницу, где будет располагаться информация тарифах на грузоперевозки. На рисунке 4.6 можно увидеть, как выглядит один из таких тарифов. Это PDF – файл, открывается в отдельном окне если установлен плагин в браузере, либо скачивается на устройство пользователя.
Рисунок 4.4 – Раздел «Услуги»
Рисунок 4.5 – Раздел «Тарифы»
Рисунок 4.6 – PDF-файл «Тариф»
Рисунок 4.7 – Раздел «Контакты»
Последняя вкладка в ленте «Контакты» (рисунок 4.7) показывает информацию о том, как можно связаться с компанией, также на этой странице расположена Yandex – карта, которая показывает местоположение офиса компании в городе Владивостоке.
Теперь перейдем к вкладке «Заполнение заявки» (рисунок 4.8). На эту страницу пользователь может перейти, нажав на SVG – рисунок заявки на панели справа, либо на ленте в самом низу страницы. Ему представится возможность заполнить форму заявки, указав пункты отправки, назначения, характеристики груза, свои контактные данные и код для подтверждения. После чего он нажмет на кнопку «Отправить» и форма с данными придёт на почту фирме. Далее администратор просмотрит данные на форме и свяжется с потенциальным клиентом для уточнения заявки.
Рисунок 4.8 – Раздел «Заполнение заявки»
-
Руководство администратора
Добавление, редактированием, обновление и сохранением всей информации на сайте занимается администратор. Что бы подтвердить роль администратора необходимо добавить в URL строке браузера к адресу /manager, после чего откроется окно с запросом на вход. После входа станет доступна главная панель администрирования в MODX. Сверху будет отображена лента. На ленте указаны разделы такие как «содержание», «медиа», «приложение», «управление». Так же есть доступ к настройкам админ-панели, они отображаются шестеренкой в правом верхнем углу. Что позволяет панель администратора в MODX? Она позволяет полное управление сайтом, создание новых страниц, редактирование информации, управление ролями пользователями, создание отчетов, экспорт и импорт ресурсов. Так же для удобства работы с HTML – страницами, есть возможность установить некоторые плагины. Просмотреть их можно, нажав на вкладку «Элементы».
На рисунке 4.9 отображена начальная страница панели администратора, на ней можно увидеть последние действия пользователей.
Рисунок 4.9 – Панель администратора
В MODX для удобства все страницы разбиваются на шаблоны, чанки, сниппеты, для того что бы отдельный элемент задействовать на нескольких ресурсах и не прописывать их в каждом из них. Для того что бы отредактировать один из этих элементов, достаточно зайти во вкладку «Элементы» и найти нужный нам элемент. На рисунке 4.10 изображено редактирование чанка. Рисунок 4.11 показывает пример удобства использования чанка. Достаточно вызвать его простой командой.
Рисунок 4.10 – Редактирование чанка
Рисунок 4.11 – Редактирование шаблона
Настройки производятся в окне «Системные настройки и события». Чтобы открыть окно настроек, следует подвести курсор мыши к значку шестеренки в правом верхнем углу админ-панели и выбрать первый же пункт «Системные настройки» (рисунок 4.12)
Основные параметры системы, которые обычно редактируются непосредственно после установки MODX
Раздел «Сайт»:
-
название сайта: нужное нам наименование проекта, произвольная форма;
-
сообщение о недоступности сайта: текст, который будет отображаться в режиме отключенного (неопубликованного) сайта, произвольная форма;
-
публиковать по умолчанию: будет ли новый документ доступен для просмотра посетителями сразу после создания и сохранения, на ваш выбор;
Раздел «Система и сервер»:
-
отображение RSS-канала «Новости MODX»;
-
отображение RSS-канала «Уведомления безопасности MODX.»
Раздел «Панель управления»:
-
показывать текст подсказки рядом с полем;
-
формат даты в панели управления;
-
первый день недели;
Раздел «Дружественные URL»:
-
транслитерация псевдонимов;
-
суффикс контейнера;
-
использовать дружественные URL;
-
строгий режим дружественных URL;
-
проверять на дублирование URI во всех контекстах.
Рисунок 4.12 – Системные настройки
На рисунке 4.13 отображено расположение системных файлов. В них хранятся файлы css, javascript, jquery. Так же с них сохраняется кэш, и все плагины, что ставятся через установщик MODXa. Все что связанно со стилями и графическими элементами сайта храниться в FileSystems.
Рисунок 4.13 – Системные файлы
Заключение
В данной выпускной квалификационной работе была поставлена задача разработки Web-приложения для транспортно-логистической компании.
Было проведено исследование предметной области, полностью раскрыта тема поставленной задачи.
Разработаны и построены функциональная, информационная, поведенческая и компонентная модели проекта Web-приложения для решения поставленной задачи.
С учетом построенных моделей разработано и размещено на хостинге Web-приложение для транспортно-логистической компании.
Разработанное приложение послужит хорошей визитной карточкой для предприятия, обеспечит комфортный серфинг по сайту, а также частично автоматизирует процесс обслуживания заявок на перевозку.
Список используемых источников
1. Анисимов, В. В. Проектирование информационных систем: курс лекций [Текст]: в 2 ч. / В.В. Анисимов. – Хабаровск: Изд-во ДВГУПС, 2006. – Ч. 1; Структурный подход. – 2006. – 112 с.
2. Анисимов, В. В. Проектирование информационных систем: курс лекций [Текст]: в 2 ч. / В. В. Анисимов. – Хабаровск: Изд-во ДВГУПС, 2007. – Ч. 2; Обектно-ориентированный подход. – 2007. – 100 с.
3. Википедия. Свободная энциклопедия [Электронный ресурс]. – Режим доступа: https://ru.wikipedia.org/
4. METANIT.COM сайт о программировании [Электронный ресурс]. – Режим доступа: http://metanit.com/
5. MODX [Электронный ресурс]: Сеть разработчиков MODX – Электрон. журн. – М.: Модкс, 2014 – Режим доступа: https://www.modx.com/ru/
6. Проза.ру [Электронный ресурс]. – Режим доступа: https://www.proza.ru/
7. ДаниЭль – разработка интернет проектов [Электронный ресурс]. – Режим доступа: http://www.daniel-spb.ru/















