Теормин (2008) в ворде (1160133)
Текст из файла
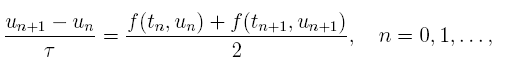
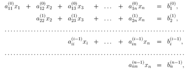
1.Прямой ход Гаусса
2.Обратный ход Гаусса
3.Теорема сущ. и ед. треугольного разложения
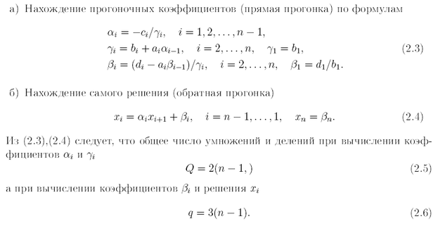
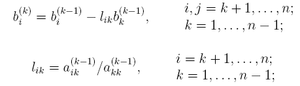
4.Алгоритм метода прогонки для трехдиагональной матрицы
5.Ленточная матрица
6.LU разложение матрицы. см. лемму 2.1., стр. 21.
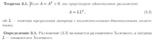
7.Разложение Холецкого (квадратных корней). Теорема и определение.
8.Ленточный вариант Холецкого. п 3.2. стр. 28. №3.
9.Метод блочного исключения. п 3.3. стр. 29. №4.
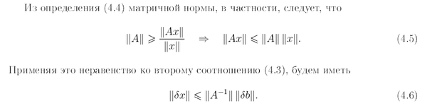
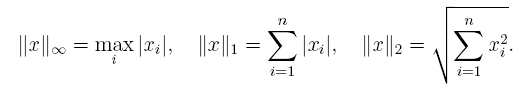
10.Норма матрицы
11.Нормы вектора
12.Матричные нормы
13.Матричные нормы
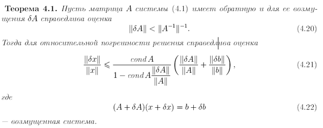
сигма x = xвозмущённое - х; сигма б = бвозмущённое - б.
Чем больше норма обратной матрицы А-1, тем на меньшую точность можно расчитывать.
14.Число обусловленности матрицы
Если cond A большое, то плохо обусловленная матрица. cond A >= 1 всегда.
В системе с хорошо обусловленной матрицей - при небольшом возмущении правой части (b) можно рассчитывать, что решение (x) так же испытает небольшое возмущение. Что есть хорошо.
Такое понятие обусловленности только для невырожденных матриц. Нет прямой связи между det A && cond A.
15.Примеры разной обусловленности
Плохой обусловленности - п. 4.2 , стр. 37
Хорошей обусловленности - п. 4.2 , стр. 39
16.Метод Гаусса в выбором главного элемента. п. 4.4, стр. 42.
17.Как сказывается возмущение 4.18 на решение Ax = b.
Ax = b (4.1)
18.Ортогональная матрица
Ортогональной называют такую квадратную матрицу A, что
A−1 = AT, здесь T — операция транспонирования.
19.Симметричная матрица
Симметричной называют такую квадратную матрицу A, что
A = AT.
Имеет простую структуру.
20.Метод вращений и отражений. п. 5.1, стр. 47, № 5 и 6.
21.Сеточная функция
y(n) = yn , функция от целочисленного аргумента n из Z.
22.Оператор левой конечной разности (назад)
y = yn - yn-1. Степень оператора л. к. р.: k = (k-1).
23.Разностное уравнение
Ф(n, yn, yn-1, yn-2, ... , yn-k) = 0.
24.Разностное уравнение k-го порядка
Если разностное уравнение зависит явно от yn и yn-k .
25.Разностное уравнение линейное
Если разностное уравнение зависит линейно от yn, yn-1, yn-2, ... , yn-k. (т.е. y входят с линейными коэффициентами).
26.Общее решение разностного уравнения
Сеточная функция yn называется общим решением линейного разностного уравнения, если она содержит в себе любое его решение.
27.Линейные разностные уравнения 1 порядка
a0(n) yn + a1(n) yn-1 = f(n)
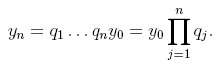
28.Решение однородного линейного уравнения
qn = a1(n) / a0(n); y0 = a;
29.Общее решение неоднородного линейного уравнения
30.Разностная задача на собственные значения
Постановка
Собственные значения
Собственные функции
Ортонормированные собственные функции
31.Весовая функция p(x) на интервале (-1; 1)
p(x) не равна тождественно 0, неотрицательна, интегрируема на этом интервале.
32.Ортогональные многочлены Pm, Pn с весом p(x)
Последовательность ортогональна, если все многочлены между собой ортогональны.
33.Лемма о положительном коэффициенте для p(x)
34.Лемма о нулях ортогонального многочлена
Все нули Pn(x) действительны, различны и расположены на (-1; 1).
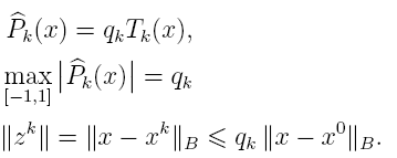
35.Многочлены Чебышева 1 рода
|x| < 1, n=0,1,2,...
Tn(x) = [ cos(n arccosx) ]
Весовая функция, при которых они ортогональны: p(x) = (1 - x2) -1/2
Так же эти многочлены относят к наиболее отклоняющимся от нуля, благодаря св-ву 5
Свойства многочленов Чебышева 1 рода
1) При четном n - Tn(x) четная. При нечетном - нечетная.
2) Для n>=1 коэффициент при старшей степени многочлена = 2^(n-1).
3) Нули многочлена расположены в точках - xk = -cos (2k - 1)pi / 2n; k = 1; 2; ... ; n:
4)
5)
6)
Если x>1,
Tn(x) = ch (n Arch x), Arch x = ln (1 + sqrt(x^2 - 1))
36.Многочлены Лежандра
Многочлены, которые ортогональны друг другу с весом p(x) тождественно равным 1.
37.Методы решения СЛАУ
Для квадратных и невырожденных матриц СЛАУ
1) Метод Гаусса
2) Метод Гаусса с выбором ведущего элемента
3) LU разложение
4) Треугольное разложение
5) Метод Холецкого, в случае симметрично положительно определённой матрицы
6) Метод Вращений
7) Метод Отражений.
8) Итерационные методы...
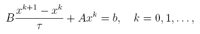
38.Каноническая форма одношагового итерационного метода
B - некоторая матрица, тау - итерационный параметр. Может быть записана для метода верхний релаксаций, Якоби, Гаусса-Зейделя...
39.Сходимость одношагового итерационного метода
(см. № 38).
A = AT > 0; B = BT>0
Если (Bx ; x ) > tau/2 (Ax ; x) для любого вектора х, то итерационный метод сходится.
Если матрица А плохо обусловленная (т.е. cond A >> 1), то итерационный метод будет сходиться очень медленно.
40.Неявный итерационный метод. п. 8.2. стр. 81.
(см. № 38). Подбирается особым образом матрица B.
41.Квадратный корень из матрицы B. Построение.
B^(1/2) = [ B^(1/2) ] T > 0, B^(1/2) * B^(1/2) = B
42.Нестационарный итерационный метод. п.8.3. стр.83.
(см. № 38). Тот, где для каждой итерации используется своё тау_(к+1). + Неявный итерационный метод.
Устойчивость плохая при использовании произвольных итерационных параметров.
Оценка сходимости:
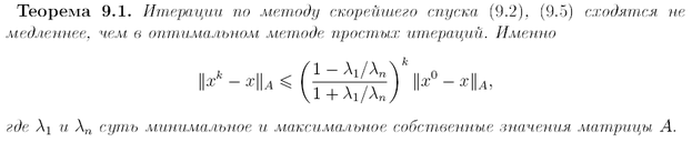
43.Метод скорейшего спуска. п.9.1. стр.89.
44.Оценка сходимости метода скорейшего спуска
45.Подобные матрицы А и Б
А и Б подобны, если существует такая С, что А = С-1 Б С
46.Матрица простой структуры, свойства матриц. п.11.1. стр.106.
47.Проблемы собственных значений, ...
Проблемы собственных значений, м. итераций. п.11. билет 15-16.
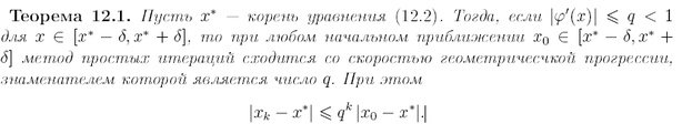
48.Метод простых итераций
f(x) = 0
x = s(x)
s(x) = x + tau(x) f (x). tau - произвольная, непрер., знакоопред. функция.
xk+1 = s(xk)
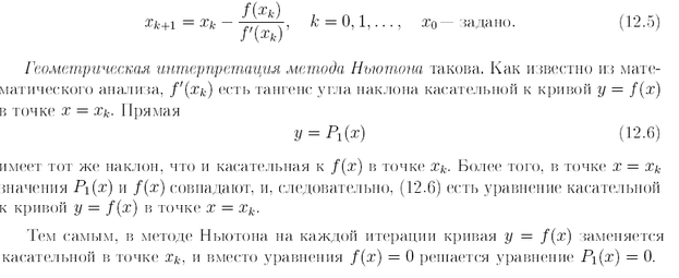
49.Метод Ньютона
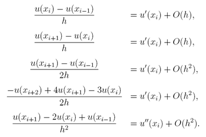
50.Простейшая формула численного дифференцирования
погрешность О(h^2) (delta x = h)
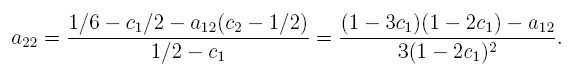
51.Метод неопределенных коэффициентов
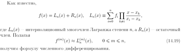
52.Интерполяционные формулы
Оценка:
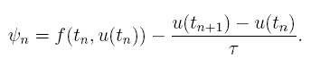
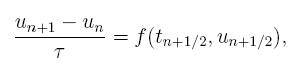
53.Метод численного дифференцирования Эйлера (явный)
Погрешность аппроксимации:
54.Метод численного дифференцирования Эйлера (неявный)
Наиболее устойчив. Но требуется решение нелинейных уравнений.
55.Метод численного дифференцирования Рунге
56.Метод численного дифференцирования Трапеций
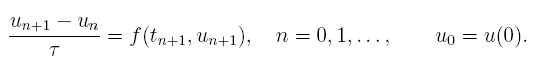
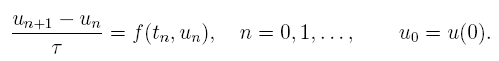
u0 = u(0)
57.Определение погрешности решения
zn = un - u(tn) , n = 1, 2, ...
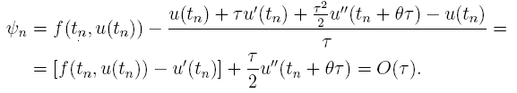
58.Погрешность аппроксимации дифференциального уравнения
Сеточная функция Ksi_n называется погрешностью аппроксимацией дифференциального уравнения [ du/dt = f(t, u), t>0, u(0)=u0 ] уравнением м.Эйлера (№ 53).
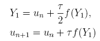
59.s-этапный метод Рунге-Кутты
60.Явный s-этапный метод Рунге-Кутты
Если коэффициенты таблицы Бутчера a_ij = 0 для всех j >= i.
61.Неявный s-этапный метод Рунге-Кутты
Если коэффициенты таблицы Бутчера a_ij = 0 для всех j > i, и хотя бы один a_ii != 0.
Этот вид и все остальные, исключающие явный вид м. Рунге-Кутты, называют неявными.
62.Неявный одно-этапный метод Рунге-Кутты
Имеет второй порядок аппроксимации.
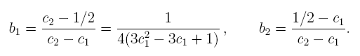
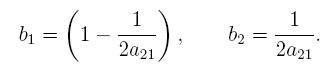
63.Двухпараметрическое семейство неявных двухэтапных методов Рунге-Кутты
64.Двухэтапный метод четвертого порядка
65.Куча бесполезных теорем (Общее)
Сходимость метода Рунге-Кутты:
66.Методы Адамса.
Предположим, что U(t) известна в k узлах сетки
:
Для явного метода интерполяционный многочлен:
Весовые функции:
Для неявного метода интерполяционный многочлен:
67.Формулы дифференцирования назад.
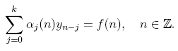
68.Общие линейные многошаговые методы. Погрешность аппроксимации.
69.Производящие многочлены.
70.Удовлетворение корневому условию. Нуль- устойчивость.
71.Первый барьер Далквиста.
72.Жесткие задачи.
73.Абсолютная устойчивость. А устойчивость. A(alfa) устойчивость.
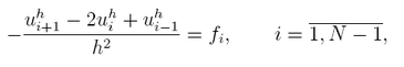
74. Простейшие аппроксимации первой и второй производных.
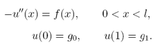
75.Краевая задача для ОДУ.
Сетка на отрезке [0,l]:
76.
77.Теория разностных схем.
78.Определения погрешности аппроксимаций.
79.Теоремы разрешимости и сходимости.
80.Теорема о монотонности. Определение монотонной матрицы. Принцип сравнения.
81.Метод баланса.
Пусть
.
Где
82.Аппроксимация граничных условий и погрешность аппроксимации.
Аппроксимация простейшая:
Граничное условие:
аппроксимируется:
83.Уравнение конвекции-диффузии.
положим
Аппроксимация:
если
, то погрешность аппроксимации:
84.Сингулярно возмущенные уравнения.
Простейший пример :
85.Четырехточечная схема.
аппроксимируется:
86.Негладкие решения. Использование неравномерной сетки.
имеет решение вида
имеет неограниченную 1ую производную ->плохо для сходимости.
Строим неравномерную сетку:
Пусть
Для метода баланса аппроксимация:
87.Нестационарное уравнение теплопроводности и разностные схемы для него.
Г. У.
Н.У.
, т.к.
Сетка:
Вид:
.
Обозначения:
Вид:
Решение:
Сигма= 0 – метод Эйлера, сигма=1 – неявный метод Эйлера, сигма = ½ - метод трапеций.
Аппроксимация:
Обозначим:
88.Устойчивость по начальным данным.
89.Устойчивость по правой части.
90. Устойчивость в смысле максимума модуля.
91.Сеточное преобразование Фурье. Теорема об устойчивости разностной схемы для уравнения теплопроводности. Равенство Парсеваля.
Равенство Парсеваля:
92.Разностные схемы для уравнения колебания струны. Аппроксимация. Погрешность аппроксимации. Устойчивость.
Аппроксимация по х:
Аппроксимация по t:
Замена:
Имеем:
28
Характеристики
Тип файла документ
Документы такого типа открываются такими программами, как Microsoft Office Word на компьютерах Windows, Apple Pages на компьютерах Mac, Open Office - бесплатная альтернатива на различных платформах, в том числе Linux. Наиболее простым и современным решением будут Google документы, так как открываются онлайн без скачивания прямо в браузере на любой платформе. Существуют российские качественные аналоги, например от Яндекса.
Будьте внимательны на мобильных устройствах, так как там используются упрощённый функционал даже в официальном приложении от Microsoft, поэтому для просмотра скачивайте PDF-версию. А если нужно редактировать файл, то используйте оригинальный файл.
Файлы такого типа обычно разбиты на страницы, а текст может быть форматированным (жирный, курсив, выбор шрифта, таблицы и т.п.), а также в него можно добавлять изображения. Формат идеально подходит для рефератов, докладов и РПЗ курсовых проектов, которые необходимо распечатать. Кстати перед печатью также сохраняйте файл в PDF, так как принтер может начудить со шрифтами.
















