курсач (1113599), страница 3
Текст из файла (страница 3)
Голубая окраска, характерная для окисленного дифениламина, образующегося в растворе концентрированной серной кислоты, используется для определения NO3- с чувствительностью 0,05 мкг/мл. Необходим тщательный контроль условий анализа, т.к. окраска зависит от температуры, времени, количества хлорида и серной кислоты.
Такие же трудности и в методе с дифенилсульфоновой кислотой и дифенилбензидином.
При использовании полярографического метода определения для нейтральных и щелочных растворов на ртутном катоде не наблюдается волны восстановления нитрата, однако если в растворе присутствуют некоторые высокозаряженные ионы – лантана, уранила, молибдата, церия, - то потенциал восстановления нитрата смещается в более положительную область. Также используют каталитическое действие нитрата, вызывающее увеличение высоты второй волны при восстановлении ионов молибдена.
3. Экспериментальная часть
3.1 Аппаратура
-
Колориметр “Спектрон”
-
Аналитические весы “ВЛР-200П”
-
Вибросмеситель “Экрос”
-
Перистальтический насос “PP 304”
3.2 Реагенты
-
Раствор K2Cr2O7 (0,01М) приготовленный по точной навеске.
-
Раствор антимонил тартрата калия (1 мг/мл)
-
Раствор гидрофосфата натрия (с конц. по фосфору 1г/л) приготовленный по точной навеске
-
Раствор серной кислоты (4,2М)
-
Раствор молибдата аммония (10%)
-
Раствор аскорбиновой кислоты (10%)
-
Раствор -СМКК (10-2M) приготовленный по точной навеске..
-
Растворы HCl (1М; 0,1M), фиксанал
-
Раствор NaNO3 (10-4M) приготовленный по точной навеске.
-
Раствор KMnO4 (10-2М) приготовленный по точной навеске
-
Спиртовой раствор три-н-октиламина (5∙10-3М)
-
Раствор парафина в толуоле (2,5%)
-
Пенополиуретан (ППУ, торг. марка 5-30)
-
Целлюлозные фильтры (d=25мм)
3.3 Сорбция восстановленной формы молибденокремниевой кислоты на пенополиуретане
Ранее было показано, что сорбция ГПК на пенополиуретане максимальна в интервале pH 2,5-5М HCl.
В колбы на 25 мл вносили 5 мл 0.92·10-4 М раствора -СМКК, 10 мл HCl 0,1M и доводили до метки водой. Сорбцию проводили в статическом режиме. Для этого сосуд с исследуемым раствором помещали таблетку ППУ (диаметр 16 мм, высота 4 мм, масса 0,03 – 0,08 г), прожимали ее стеклянной палочкой для удаления пузырьков воздуха и встряхивали сосуд на вибросмесителе до установления сорбционного равновесия (30 мин.). Таблетки ППУ высушивали между листами фильтровальной бумаги и измеряли значения коэффициентов диффузного отражения (=720нм).
3.4 Сорбция восстановленной формы молибденокремниевой кислоты на парафинизированных целлюлозных фильтрах
В колбы на 25 мл вносили растворы -СМКК для получения 2·10-5 М, 12,5 мл HCl 0,1M, добавляли 0,4 мл 5·10-3 М раствора три-н-октиламина и доводили до метки водой. Сорбцию проводили в динамическом режиме. Для этого раствор пропускали с помощью перестальтического насоса со скоростью 2 мл/мин через ячейку с фильтрами, обработанными 2,5 % раствором парафина в толуоле. Фильтры высушивали на воздухе и измеряли значения коэффициентов диффузного отражения (=720нм).
3.5 Сорбция восстановленной формы молибдофосфорной кислоты на целлюлозных фильтрах
В мерные колбы на 25 мл вносили по 0,2 мл стандартного раствора гидрофосфата натрия с концентрацией фосфора 1 г/л, 1,2 мл раствора серной кислоты, 1,5 мл 10%-ого раствора молибдата аммония, 0,9 мл раствора 4,2 М серной кислоты, 1 мл аскорбиновой кислоты, 0,2 мл раствора АМТ, 0,4 мл спиртового раствора три-н-октиламина и доводили объем водной фазы бидистиллированной водой до 25 мл. Растворы с помощью перистальтического насоса пропускали через ячейку с мембранным фильтром, со скоростью 2 мл/мин. Фильтры высушивали на воздухе и измеряли значения коэффициентов диффузного отражения (=720нм).
3.6 Взаимодействие восстановленной формы молибденокремниевой кислоты, иммобилизованной на пенополиуретане, с перманганатом
В колбы на 25 мл вносили различные объемы раствора KMnO4 (получали концентрации 1∙10-6 M, 3∙10-6 M, 6∙10-6 M, 12∙10-6 M), 12,5 мл 1M HCl и доводили до метки водой. В конические колбы помещали полученные растворы и таблетки ППУ. Прожимали таблетки стеклянной палочкой для удаления пузырьков воздуха и встряхивали колбы на вибросмесителе до установления сорбционного равновесия (30 мин.). Таблетки ППУ высушивали между листами фильтровальной бумаги и измеряли значения коэффициентов диффузионного отражения (=720нм).
3.7 Установление времени сорбционного взаимодействия
Для этого в колбы на 25 мл вносили 1,25 мл 1∙10-3 M раствора K2Cr2O7, 12,5 мл 1M HCl и доводили до метки водой. В конические колбы помещали полученные растворы и фильтры с сорбированной МФК. Встряхивали колбы на вибросмесителе в течении различного времени. Фильтры высушивали на воздухе и измеряли значения коэффициентов диффузионного отражения (=720нм).
3.8 Взаимодействие восстановленной формы молибденокремниевой кислоты, иммобилизованной на парафинизированных целлюлозных фильтрах с нитратом
В колбы на 25 мл вносили различные объемы раствора NaNO3 (получали концентрации 1∙10-4 M, 5∙10-3 M), 12,5 мл 1M HCl и доводили до метки водой. В конические колбы помещали полученные растворы и фильтры с сорбированной МКК. Встряхивали колбы на вибросмесителе до установления сорбционного равновесия (30 мин.). Фильтры высушивали на воздухе и измеряли значения коэффициентов диффузионного отражения (=720нм).
3.9 Взаимодействие восстановленной формы молибденофосфорной кислоты, иммобилизованной на целлюлозных фильтрах с бихроматом
В колбы на 25 мл вносили различные объемы раствора K2Cr2O7 (получали концентрации 5∙10-6 M, 1∙10-5 М, 5∙10-5M, 10∙10-5 М), 12,5 мл 1M HCl и доводили до метки водой. В конические колбы помещали полученные растворы и фильтры с сорбированной МФК. Встряхивали колбы на вибросмесителе до установления сорбционного равновесия (30 мин.). Фильтры высушивали на воздухе и измеряли значения коэффициентов диффузионного отражения (=720нм).
4. Обсуждение результатов
Рассчитывалась разница F между значениями F, полученными после окисления ГПК и начальными значениями F. По полученным данным строили график зависимости F от концентрации окислителя.
4.1 Изучение взаимодействия чувствительного датчика, на основе молибденокремниевой кислоты, с перманганат и нитрат анионами
Н
ами было изучено влияние концентрации перманганата на аналитический сигнал – значения F720 (рис.6). Зависимость прямолинейна в диапазоне концентраций перманганата от 1∙10-6 М до 6∙10-6 М. После чего зависимость выходит на плато, что свидетельствует о количественном окислении иммобилизованной молибденокремниевой кислоты.
Рисунок 6. Зависимость F720 от концентрации перманганата калия
(носитель ППУ, V=25 мл, cМКК=2·10-5, cH+=1M (HCl))
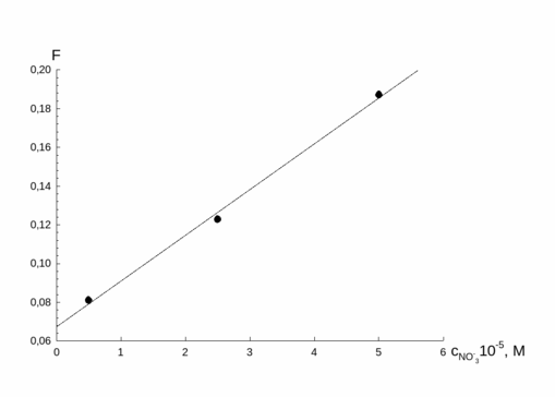
Таким же образом было изучено влияние концентрации нитрата на аналитический сигнал – значения F720 (рис.7). Зависимость прямолинейна в диапазоне концентраций нитрата от 0,5∙10-5 до 5∙10-5 М.
Р
исунок 7. Зависимость F720 от концентрации нитрата натрия
(носитель ППУ, V=25 мл, cМКК=2·10-5, cH+=1M (HCl))
4.2 Изучение взаимодействия чувствительного датчика на основе молибденофосфорной кислоты, иммобилизованной на фильтре, с бихроматом
Было установлено, что время взаимодействия чувствительного элемента на основе молибденофосфорной кислоты с раствором бихромата не превышает 30 минут (рис. 8).
Рисунок 8. Зависимость ΔF от времени взаимодействия МКК с раствором бихромата
Рассмотрено влияние различных концентраций бихромата на аналитический сигнал. Полученные данные представлены в таблице 4.
Таблица 4
Сравнение изменения значений функции Гуревича-Кобелки-Мунка (ΔF) при использовании различных носителей.
| cCr2O7, М | ∆F на мембранных фильтрах | ∆F на ППУ |
| 5∙10-6 | 0.98 | 1.70 |
| 1∙10-5 | 0.07 | 1.97 |
| 5∙10-5 | 1.02 | 2.63 |
| 1∙10-4 | 0.17 | 4.00 |
Из полученных данных можно сделать вывод, что пенополиуретан с иммобилизованной МКК является наиболее чувствительным датчиком для бихромата, чем сорбированная на целлюлозных фильтрах МФК.
Сопоставляя полученные результаты можно выявить взаимосвязь между значениями стандартных потенциалов окислителей (таб. 5) и их минимально определяемой концентрации. Так, например, можно определять 1∙10-6 М перманганата, 0,3∙10-5 М бихромата и 0,5∙10-5 М нитрата.
Таблица 5
Значения стандартных электродных потенциалов для полуреакций восстановления изученных окислителей.
Окислитель | MnO4- | Cr2O72- | NO3- |
Eº, В | +1,40 | +1,33 | +0,96 |
5. Выводы
1. Изучено взаимодействие чувствительных датчиков, на основе молибденокремниевой кислоты и молибденофосфорной кислоты с окислителями.
2. Определена область линейности градуировочного графика для перманганата (от 1∙10-6 М до 6∙10-6 М) и нитрата (от 0,5∙10-5 до 5∙10-5 М).
3. Предложен эффективный датчик для определения бихромата (градуировочный график линеен в области концентраций бихромата от 0,5·10-5 до 15·10-5 М).
4. На примере ряда окислителей показано, что чувствительность определения связана со стандартным электродным потенциалом.
5. Установленно, что пенополиуретан с иммобилизованной молибденокремниевой кислотой более эффективный чувствительный элемент для определения окислителей, чем фильтры с иммобилизованной молибденокремниевой и молибденофосфорной кислот в виде ионного ассоциата ГПК с три-н-октиламином.
6. Список литературы
1. Копытов В.В. // Гетерополисоединения и их взаимодействие с d- и f-переходными элементами: обзор по отечественным и зарубежным источникам 1955-1987 гг. М.: ЦНИИатоминформ. 1988. 55с.
2. Пушкарев В.В., Никифоров А.Ф. // Сорбция радионуклидов солями гетерополикислот. М.: Энергоатомиздат. 1982 г. 112 с.
3. Спицын В.И., Торченкова Е.А., Казанский Л.П. // Итоги науки и техники. 1984 г. Т. 10, 65 с.
4. Никитина Е.А. // Гетерополисоединения. М.: Госхимиздат. 1962 г. 424 с.
5. Поп М.С. // Гетерополи- и изополикислоты. Пер. с англ. // под ред. Э.Н. Юрченко. Новосибирск: Наука. 1990. 232 с.
6. Кожевников И.В. // Успехи химии. 1987. Т. 56. №9. 1417 с.
7. Дорохова Е.Н. // Химико-аналитическое изучение условий образования и восстановления кремнемолибденовой кислоты. Дисс. канд. хим. наук. М.: МГУ 1965. 132с.
8. Максимов Г.М. // Успехи химии. 1995. Т.4. №4. 480 с.
9. Камбурова М. // Журн. аналит. химии. 1991. Т. 46. №8. 1538 с.
10. Арстамян Ж.М., Каринян Р.С. // Арм. хим. журн. 1990. Т. 43. №7. 442 с.
11. Божевольнов Е.А. // Люминисцентный анализ неорганических веществ. М.: Химия. 1966. 415с.
12. Wen-bin Qi, Zi-Zhong Zhu // Talanta. 1986. V. 33, №8, Р. 694
13. Дмитриенко С.Г., Гончарова Л.В., Рунов В.К. // Сорбционно-фотометрическое определение аскорбиновой кислоты с помощью гетерополикислот, иммобилизованных на пенополиуретане / Журн. аналит. химии. 1998. Т.53. №9. 914 с.
14. Волынец В.Ф., Волынец М.П. // Аналитическая химия азота. М.: Наука, 1977. С. 99-101, 112, 118-120, 227.
28
















