Таблица интегралов (DOC) (1109607)
Текст из файла
Таблица интегралов
(a, b, m, n – постоянные)
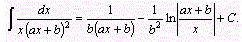
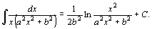
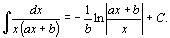
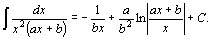
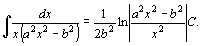
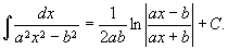
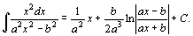
I. Интегралы от рациональных функций
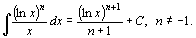
-
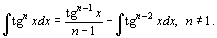
n - целое число, не равное 1. -
-
-
-
-
-
-
-
-
-
-
-
-
-
-
-
-
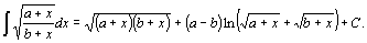
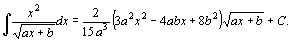
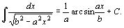
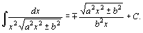
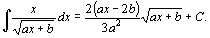
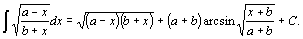
II. Интегралы от иррациональных функций
В формулах 28 – 47 считается, что a > 0, b > 0.
Примечание:1)Правой части можно придать вид на основании тождества
40’.
44'.
-
-
-
-
-
-
-
-
-
-
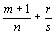
где m, n, r, s – целые числа, s > 1. Применяется подстановка
, если
- число целое, и подстановка
, если
- число целое. В других случаях интеграл не выражается элементарной функцией.
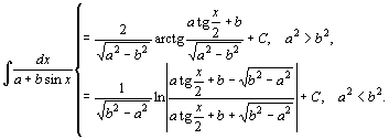
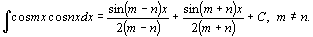
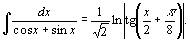
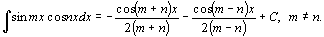
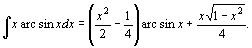
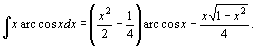
III. Интегралы от трансцендентных функций
-
n – целое положительное число. -
n – целое положительное число. -
-
-
-
-
-
-
-
-
-
-
-
-
-
-
-
-
-
-
-
-
-
В частности,
Характеристики
Тип файла документ
Документы такого типа открываются такими программами, как Microsoft Office Word на компьютерах Windows, Apple Pages на компьютерах Mac, Open Office - бесплатная альтернатива на различных платформах, в том числе Linux. Наиболее простым и современным решением будут Google документы, так как открываются онлайн без скачивания прямо в браузере на любой платформе. Существуют российские качественные аналоги, например от Яндекса.
Будьте внимательны на мобильных устройствах, так как там используются упрощённый функционал даже в официальном приложении от Microsoft, поэтому для просмотра скачивайте PDF-версию. А если нужно редактировать файл, то используйте оригинальный файл.
Файлы такого типа обычно разбиты на страницы, а текст может быть форматированным (жирный, курсив, выбор шрифта, таблицы и т.п.), а также в него можно добавлять изображения. Формат идеально подходит для рефератов, докладов и РПЗ курсовых проектов, которые необходимо распечатать. Кстати перед печатью также сохраняйте файл в PDF, так как принтер может начудить со шрифтами.















